



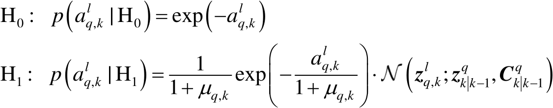
通常,我们需要对跟踪波门内每个分辨单元的回波进行检测。假设H
1
表示目标在第
l
个分辨单元(位于
),这时接收数据是目标的回波和噪声的叠加;反之,用H
0
表示目标不在第
l
个分辨单元。参考2.3节的检测过程,第
l
个分辨单元在两种假设下的观测信号模型为
(3-19)
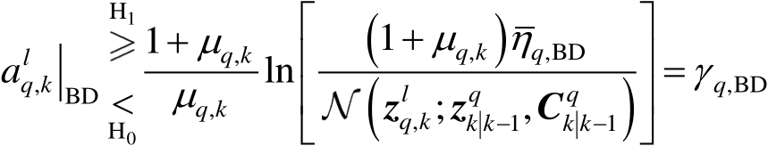
直观上理解式(3-19),相当于直接将反馈目标位置的概率分布乘到了H 1 条件下回波幅度的概率密度函数上,化简得判决表达式为
(3-20)
由式(2-24)可知,
越靠近
,
越大,
γ
q
,BD
越小。
仿照2.4.3节,跟踪波门内的平均检测概率可写为
(3-21)
式中,
n
z
表示观测
的维数;
ς
为
ς =(1+ μ q , k )/ μ q , k
(3-22)
波门内的平均虚警概率为
(3-23)
由式(3-23)可知,在给定
P
fa
的情况下,可以确定
,进而求得各个分辨单元的检测门限
γ
q
,BD
和平均检测概率
。