



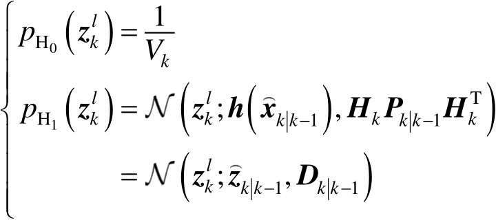
假设在
k
-1 时刻,跟踪器提供的反馈信息为量测的预测分布
和
。这里,
和
的表达式可写为
(2-20)
式中, N ( b ; a , B )表示以 a 为均值, B 为协方差矩阵的高斯分布在 b 点处的概率值。
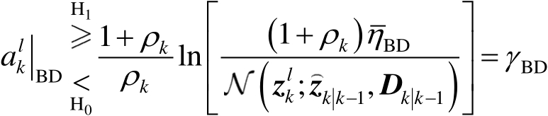
根据贝叶斯最小平均错误概率准则 [113] ,似然比检验式可写为
(2-21)
由于式(2-21)不满足恒虚警性质,因此这里进行一定的变换,并引入参数 η BD ,即
(2-22)
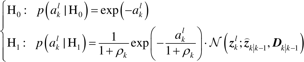
这时,第 l 个分辨单元在两种假设下的观测信号模型为
(2-23)
直观上理解式(2-23),相当于直接将反馈的目标位置分布乘到了H 1 条件下回波幅度的概率密度函数上,化简得判决表达式为
(2-24)
由式(2-24)可知,
越靠近
,
越大,检测门限
γ
BD
越低。