



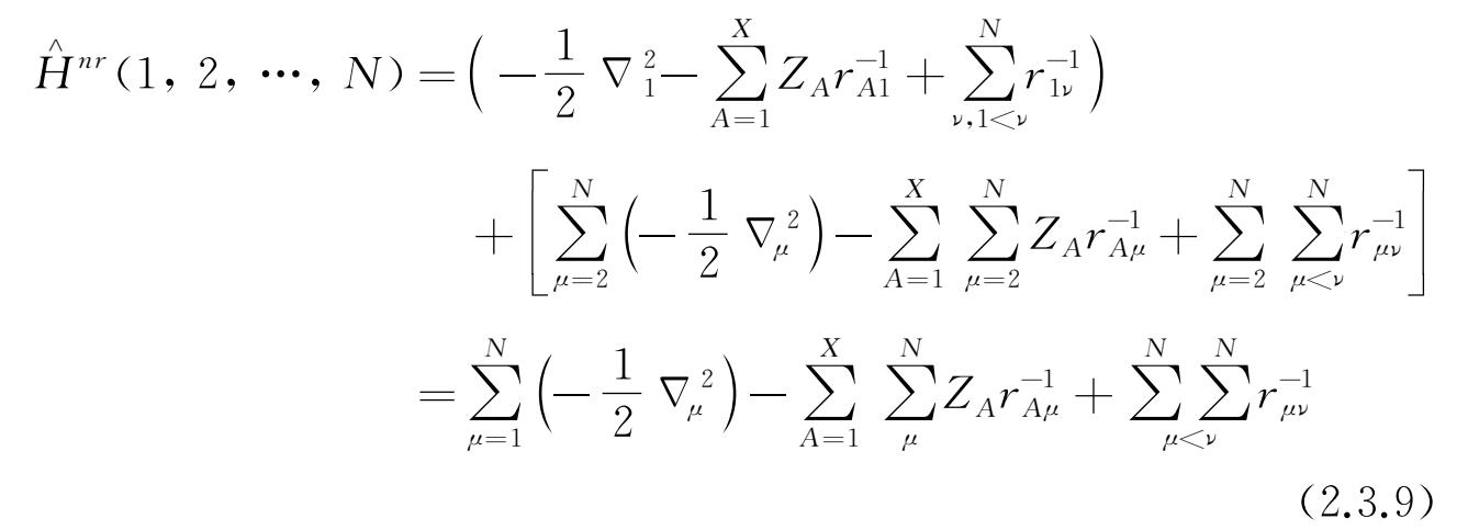
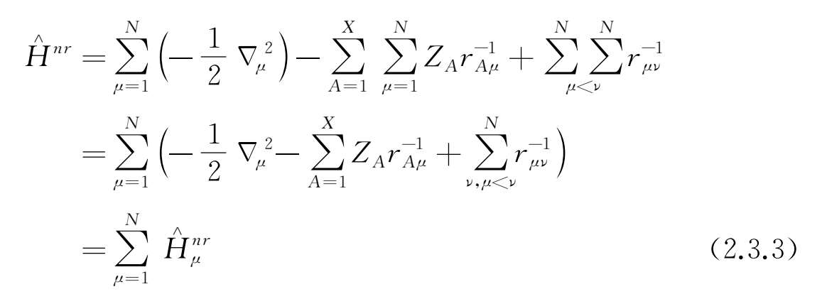
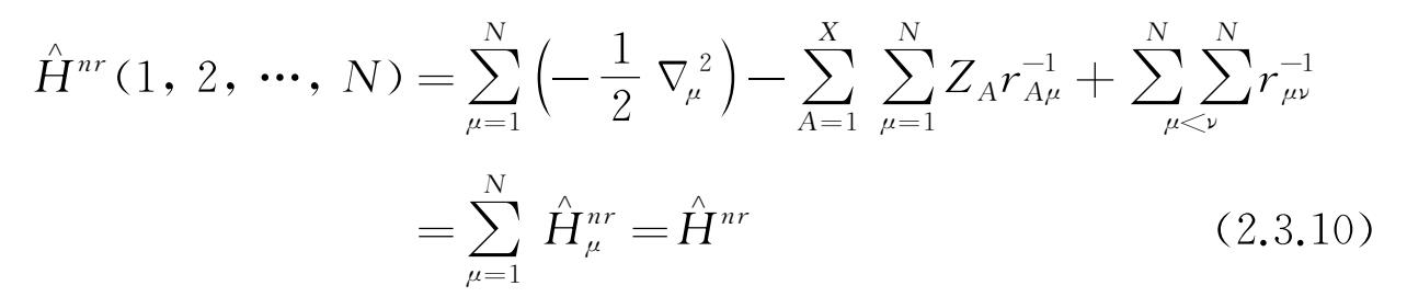
N 电子原子、分子的非相对论电子哈密顿算符(原子单位)为
既然用最弱受约束电子名字为电子重新命名,体系的哈密顿算符不变,那么,把 N 电子原子、分子体系中的 N 个电子当作 N 个最弱受约束电子处理时,体系的非相对论哈密顿算符仍为(2.3.1)式。
现在从动态电离角度审视(2.3.1)式。根据动态电离观点重新组合(2.3.1)式右边各项,则该式变为
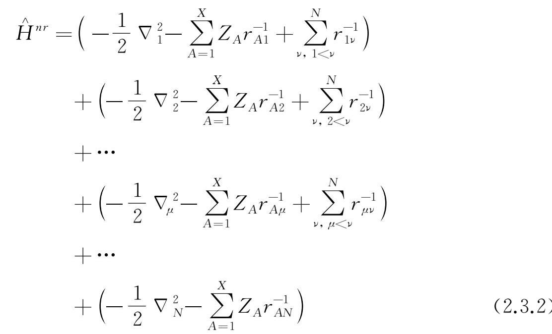
在第一级电离中,当电子1被当作WBE 1 移走后,(2.3.2)式右边的第一个括号中的所有项都消失了,因为这些项是和电子1,也即和被移走的WBE 1 相联系的。随后,在第二级电离中,电子2被当作WBE 2 移走,相应地(2.3.2)式右边的第二个括号中的所有项都消失,因为这些项是和电子2,也即和被移走的WBE 2 相关联的。依此类推,直至第 N 级电离。在第 N 级电离中,最后一个电子,即电子 N 被当作WBE N 移走,(2.3.2)式右边的最后一个括号中的所有项消失了。此时体系所处的状态就是前面描述过的量子化学电子能量的零点状态。由此可见, N 电子体系的非相对论哈密顿算符在WBE理论下可以写成 N 个最弱受约束电子的单电子非相对论哈密顿算符之和,即
于是有
式中,
就是WBE
μ
的单电子非相对论哈密顿算符.其中,
代表WBE
μ
的动能算符及WBE
μ
和体系中所有核之间的吸引势算符之和,
求和项代表子系统
A
μ
中WBE
μ
和非最弱受约束电子
ν
(
μ
<
ν
)之间的排斥势算符之和.
现在,再从逐级电离过程的逆过程,即类奥夫保加入电子的过程,审视哈密顿算符随电子的加入引起的变化。
从零点状态出发,把处在无限远处并静止的一个电子(任意标记它为电子 N )移入裸核或裸核骨架的原子离子或分子离子环境中来,便可构造出带有一个电子的基态原子离子或分子离子。此离子的哈密顿算符是
对于这个离子来说,显然,移入的电子 N 恰恰是构造出来的体系中的最弱受约束电子,用和前面逐级电离过程相同的标记,这个正( N -1)价离子就是子系统A N 。那个唯一的电子也就是WBE N ,所以有
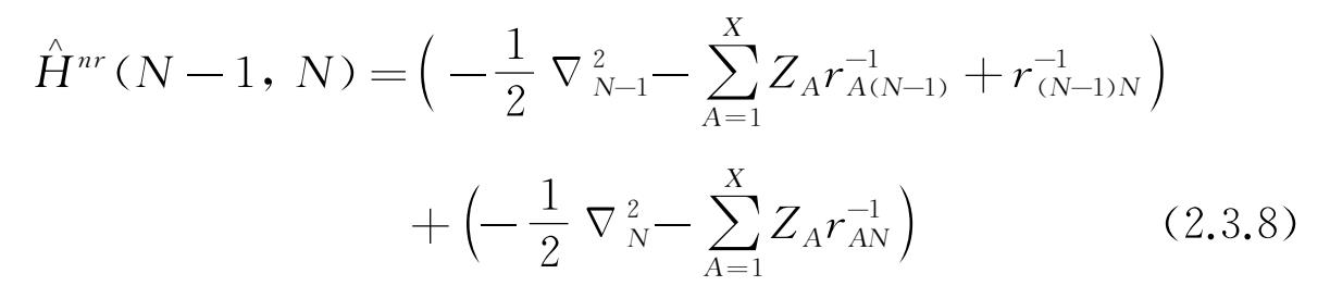
随后,再把处在无限远处并静止的一个电子[任意标记它为电子( N -1)]移入正( N -1)价离子的环境中来,便可构造出有两个电子的基态原子离子或分子离子。此体系的哈密顿算符是
对比(2.3.8)式和(2.3.6)式,可知(2.3.8)式右边增添了三个项,即电子( N -1)的动能算符,电子( N -1)和所有核之间的吸引势算符,以及电子( N -1)和电子 N 之间的排斥势。如此继续下去,直到把最后一个处在无限远处并静止的电子(任意标记它为电子1)移入正一价原子离子或分子离子中来,构造出基态的中性的 N 电子原子或分子,即原体系A。于是,体系的哈密顿算符是
此式和(2.3.1)式相同。从能量零点状态出发,相继加入电子,最终有
以上表明,移走和加入电子过程,得到的结果是相同的。即重新命名,体系的哈密顿量不变;且 N 电子体系的非相对论哈密顿算符可以写成 N 个最弱受约束电子的单电子非相对论哈密顿算符之和。
在量子力学和量子化学中,都希望把多电子哈密顿算符写成单电子算符之和。但由于
项的存在,变量无法分离,所以设想了多种近似处理方案。例如,在独立粒子近似中,通过忽略
项,把多电子哈密顿算符写成单电子哈密顿算符之和。在自洽场轨道近似中,通过重复计算
项,把单电子势函数视为核和其余(
N
-1)个电子产生的平场势场,从而把一个修改过的多电子哈密顿算符写成“有效”单电子哈密顿算符之和。这样修改过的多电子哈密顿算符毕竟和体系原来的哈密顿算符不同,所以新定义了一个轨道能的概念
[10-13]
。众所周知,量子力学中单电子的氢原子问题是可以精确求解的。氢原子的薛定谔方程可写为
式中, ψ 0 是电子的波函数,又称轨道; ε 0 是轨道上的电子的能量。轨道和电子能量是相关联的。而在自洽场轨道近似中,单电子算符的本征函数称为轨道,和轨道相对应的本征值称为轨道能,而不是轨道上的电子的能量。换句话说,和轨道相关联的是轨道能,不再是轨道上电子的能量。轨道能和电子能量只在库普曼(Koopmans)近似下才近似相等 [4-5] ,而且体系的总电子能量不等于轨道能之和。当把最弱受约束电子概念和逐级电离观点引入到量子力学中来之后,多电子非相对论哈密顿算符便可以不带任何近似地写成 N 个最弱受约束电子的非相对论单电子哈密顿算符之和。
原子、分子中的各种效应主要和电磁相互作用有关。
[14]
体系的非相对论性哈密顿算符,包含电子和核、电子和电子之间的库仑(Coulomb)相互作用,但不包括各种磁相互作用。以原子体系为例,除了库仑相互作用及电子和核之间的磁相互作用之外,和电子有关的磁相互作用有单个电子自身的自旋轨道耦合作用,及双电子
μ
和
ν
之间的磁耦合作用(包括电子
μ
的自旋和电子
ν
的自旋耦合,电子
μ
的自旋和电子
ν
的轨道耦合,电子
μ
的轨道和电子
ν
的轨道耦合,电子
μ
的轨道和电子
ν
的自旋耦合)。体系完全的哈密顿算符应当把这些耦合作用包括进去。在最弱受约束电子概念和逐级电离观点之下,同样可以准确地为这些电子间的磁相互作用找到归属。单个电子的自旋轨道耦合算符
,不必说自然应归属于各个最弱受约束电子的单电子哈密顿算符名下。而各种双电子之间的磁耦合算符,完全可以像上一小节中处理
一样来划分它们的归属。以电子μ的自旋和其他电子ν的轨道耦合算符
为例,被当作WBE
1
处理的电子1的自旋和电子2、电子3、……、电子
N
的轨道耦合算符均应划归WBE
1
的单电子哈密顿算符名下;类似地,被当作WBE
2
处理的电子2的自旋和电子3、电子4、……、电子
N
的轨道耦合算符应划归WBE
2
的单电子哈密顿算符名下。照此处置,各种双电子之间的磁耦合算符都可以找到归宿。
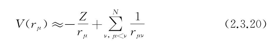
考虑最弱受约束电子 μ 。当忽略电子和原子核之间的磁相互作用以及在子系统A μ 中最弱受约束电子 μ 和( N - μ )个非最弱受约束电子的各种双电子间的电、磁相互作用,那么最弱受约束电子 μ 的相对论性哈密顿算符应该取成狄拉克(Dirac)单电子哈密顿算符 H D ( μ )形式。在此基础上,若考虑最弱受约束电子 μ 和非最弱受约束电子 ν 之间的库仑排斥作用,那么一个新项,即
应当加入进来。上式中, r μν 是最弱受约束电子 μ 和非最弱受约束电子 ν 之间的距离。若再考虑最弱受约束电子 μ 和非最弱受约束电子 ν 之间的相对论性相互作用,包括WBE μ 的自旋— N WBE ν 的自旋、WBE μ 的自旋— N WBE ν 的轨道、WBE μ 的轨道— N WBE ν 的自旋、WBE μ 的轨道— N WBE ν 的轨道之间的耦合以及延迟效应(retardation effect),那么,称为Breit算符的新项应该被加进来。于是,在忽略电子和原子核之间的磁相互作用之下,最弱受约束电子μ的相对论性哈密顿算符可以表示为(原子单位)
式中,
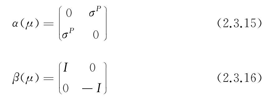
(2.3.14)式中的 A ( r μ )和 φ ( r μ )分别代表作用在最弱受约束电子 μ 上的电磁场的矢势和标势,在Pauli-Dirac表象中 α ( μ )和 β ( μ )的矩阵表示如下 [21,24-25] :
此处, σ P 是三个2×2的泡利(Pauli)矩阵, I 是2×2的单位矩阵。
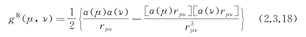
(2.3.13)式中的Breit算符传统上已经被处理成如下两项之和,即磁相互作用
和retardation项
将(2.3.14)式代入(2.3.13)式,在忽略Breit相互作用项和中心场近似的条件下[此时
A
(
r
μ
)=0,
φ
(
r
μ
)=
Z
/
r
μ
],最弱受约束电子
μ
的相对论性哈密顿算符
可写成
式中,
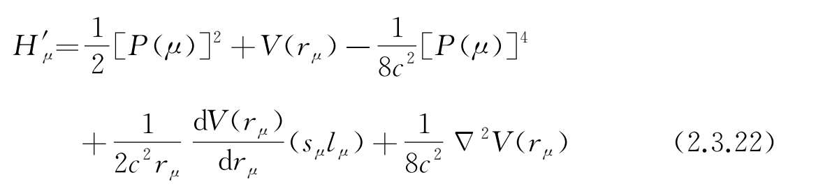
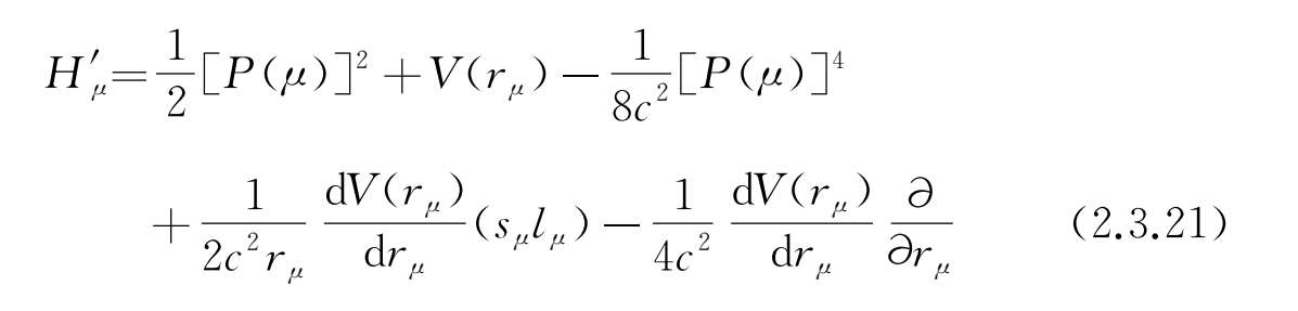
通过和文献[24-25]相似的处理,(2.3.19)式可进一步写成
或
(2.3.21)式或(2.3.22)式中的前两项实际上就是中心场下最弱受约束电子μ的非相对论哈密顿算符
,第三项是质-速项,记为Δ
,第四项是最弱受约束电子
μ
自身自旋和轨道耦合项,记为Δ
,最后一项代表达尔文(Darwin)项,记为Δ
。
由本节可以看出,在WBE理论下, N 电子原子、分子体系的相对论或非相对论哈密顿算符等于 N 个最弱受约束电子的单电子的相对论或非相对论哈密顿算符之和,即具有加和性。