



有一次著名的物理学家爱因斯坦生病了,他的朋友莫什科夫斯基想给他解解闷,就给他出了下面这道题(图9)。
图9
“设想12点时表针的位置。”莫什科夫斯基说,“如果时针和分针的位置对调,显示的时间还是正确的。但是另一些时候——例如,6点钟的时候,要是调换时针跟分针,结果就是荒谬的,那样的表针位置不会出现在正常的表上。问题是:什么时候和每隔多久时针和分针的位置及时对调以后,显示的时间依然可能出现在正常的钟表上?”
“好,”爱因斯坦回答道,“这道题很适合一个卧病在床的人:足够有趣而且不简单。我只是担心这个乐趣持续不了多久:我已经有解题的思路了。”
他从床上微微欠起身子,轻轻地勾了几笔,在纸上画出了表示条件的草图,他解题用去的时间并不比我陈述题目的时间长……
这道题究竟怎么解呢?
把圆周分成60等份,每份算作一刻度,以分针和时针距离数字12的刻度数来表示它们的位置。
时针的位置记为时针距离数字12的刻度x刻度,分针记为y刻度。因为时针12小时走过60个刻度,那么,即每小时走5个刻度,走x刻度则需
小时。换句话说,就是显示12点过后走了
小时。分针y分钟走了y刻度,即走了
小时。也就是说,
小时前分针走过了数字12的刻度,或者说从时针和分针同时指向12,到这个时候,已经过了
小时。这个数是整数(从0到11),因为它显示12点以后过了多少个完整的小时。
如果对调时针和分针的位置,时针和分针显示的时间表示从12点算起过了
小时。这个数也是整数(从0到11)。
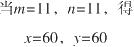
得到方程组
m和n都是0到11之间的整数。解方程组得:
把从0到11的各个数代入m和n,我们就可以确定符合要求的分针和时针的位置。因为m的12个值可以与n的12个值组合,好像有12×12=144个解。但实际上应该是143个,因为当m=0,n=0和m=11,n=11时表针的位置是一样的。
即钟表显示12点,与m=0,n=0时的情况相同。
我们不会列举所有可能的组合,只举两个例子:
第一个例子:
也就是说当表显示1小时
分时;这个时刻时针跟分针是重合的,那当然可以换位置了(分针和时针重合的其他时刻也一样,即使对调了位置也没关系)。
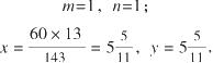
第二个例子:
相应的时刻是8小时28.53分和5小时42.38分。
我们知道一共有143个解。要找到表盘上所有符合表针位置要求的点,就要把表盘圆周分成143等份:得到143个所求的点。在其他的点上,表针位置对调是不可能的。