



著名的物理学家A.B.辛格尔在讲述自己关于列夫·托尔斯泰的回忆时,提到下面这道伟大的作家托尔斯泰很喜欢的题:
一个刈草劳动组有两片草地需要刈掉,一片草地的面积是另一片的两倍。一组人用一上午刈那片大草地。下午一组平均分成了两队:一队留在大的草地,并且在天黑前把它割完;另一队去割小草地,天黑前小草地还剩下一小块儿没刈完,第二天一个人花一天的时间把它割完了。
图6
刈草组里一共有多少个人?
这道题里除了主要的未知数——刈草组的人数外,为了方便还可以引入一个辅助的未知数——那一块一个人一天刈完的草地面积,设刈草组总人数为x,一个人一天刈草面积为y。尽管题目并没有要求确定小草地的值,但它能简化我们求主要未知数的过程。
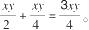
用x和y来表示大草地的面积。上午有x个刈草工人刈大草地;他们刈了
。
下午只有组合一半的人刈大草地,也就是
个刈草工人,他们刈了
。
因为整块大草地在天黑前刈完,那么它的面积等于:
现在用x和y来表示小草地的面积。
个人一下午割了
。加上没刈完的部分,也就是y(一个人刈一天草的面积),就得到小草地的面积:
剩下就只需把“一片草地的面积是另一片的两倍”转换成代数的语言,列出方程式:
把等式左边的分数约去y,于是把辅助的未知数排除,等式变成:
解得x=8。
刈草劳动组中有8个人。
《趣味代数学》第一版出版后,A.B.辛格尔教授给我发来一封有趣的信,信里详细地讲述了这道题的故事。他认为,题目的主要意义在于“它完全不是一道代数题,而是一道非常简单的算术题,难的只是它非模板化的形式。”
“这道题的由来是这样的,”A.B.辛格尔教授接着说道,“我的父亲和叔叔H.H.拉耶夫斯基在莫斯科大学数学系读书的时候,有一个类似于教育学的科目。这个科目要求学生到指定的城市人民中学,向那些有经验的中学教师学习授课。我的父亲和叔叔H.H.拉耶夫斯基的同学里有一个叫彼得罗夫的学生,据说他非常有天赋和独创性。这个彼得罗夫(好像很年轻的时候死于肺结核)认为,这些算术课毁了学生,使他们习惯于公式化的题目和公式化的解题方法。为了证明自己的想法,他出了几道题,这些新颖的题难倒了那些‘有经验的中学教师’,但却被一些更有天赋的、思维尚未固化的学生解了出来。这道关于刈草劳动组的题目就是其中的一道。当然,有经验的老师借助方程式能够很轻易地解出这道题,但是他们完全没有想到简单的算术解法。而且这道题太简单了,根本用不着代数的方法。”
图7
如果大草地花了整个组合半天的时间、半个组合半天的时间,那么半个组合半天就刈了
草地。所以小草地剩下没刈的那块为
。如果一个人一天刈
草地,那么一天刈的草地总共有
,刈草劳动组共有8个人。
托尔斯泰一直都很喜爱设置精妙但又不刁难的题目。这道题我父亲很年轻时就接触到了。当我有机会和年老的托尔斯泰谈论这道题时,他格外赞叹的是,这道题假如用最原始的示意图来表示会变得清晰明了很多。(图7)
接下来我们还会遇到几道题,只要稍动脑筋,用算术而不是代数来求解,这些题会变得简单很多。