



“你明天下午来我家坐坐。”老医生跟自己的朋友说。
“谢谢你。我明天下午3点出门。你要是也想散步的话,那就也在那时出门,我们能在半路碰上。”
“你忘了我是个老头儿,一小时只能走3千米,而你这个年轻人一小时能走完4千米。让我少走些路总可以吧。”
“有道理。既然我每小时比你多走1千米,要让我们齐平的话,我就让你1千米,也就是说,我提前一刻钟出门。这样满意了吗?”
“你真是太贴心了。”老医生连忙答应。
年轻人也就这么做了,他2点45分出门,走路的速度保持每小时4千米。医生3点整出门,一小时走3千米。当他们相遇的时候,医生就转身和年轻人一同回家。
当年轻人回到自己家的时候,他才意识到,他让给医生的一刻钟不是让医生比他少走一倍的路,而是少走3倍!
医生家距离年轻人家多远?
设他们家距离x(km)。
年轻人总共走了2x,而医生走的路程是他的四分之一,也就是
。相遇时,医生走了他的总路程的一半,也就是
,而年轻人走了两家之间距离剩余的路程,也就是说
。相遇时医生走了
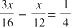
小时,而年轻人走了
小时,而且我们还知道,年轻人比医生多走了
小时。
得出方程式
解得x=2.4(km)。
年轻人家距离医生家2.4千米。