购买
下载掌阅APP,畅读海量书库
立即打开
畅读海量书库
扫码下载掌阅APP

2.3 稀释法制备氧化镍

2.3.1 氧化镍的制备

以2.2节所述制备的氢氧化镍样品为基础,用管式炉在氮气(N 2 )保护下300℃加热3h,得到氧化镍,然后将样品研细待用。

2.3.2 电极制备和性能测试

将氧化镍和石墨按照9:1质量比例混合,用玛瑙研钵研磨30min,使其充分混合,加入足够的无水乙醇调成浆状,用超声波振荡30min使其进一步混合均匀,加入适量的聚四氟乙烯作为黏合剂。用辊轧机压成厚度为0.5mm的薄片,在80℃下烘干至恒重。将电极用12MPa的压力压制到泡沫镍网集流体上,然后切割成1cm×1cm的电极片作为工作电极,电解质采用3mol/L的氢氧化钾(KOH)溶液,饱和甘汞电极(SCE)为参比电极,铂片(Pt)为辅助电极(对电极)组成三电极体系,物理和电化学性能测试方法与2.2.2节一致。

2.3.3 实验结果与讨论

图2-7所示为氧化镍的扫描电镜图。由图可知,NiO是由薄片堆积而成的花球状,直径为500nm左右。这种结构有利于材料与电解液的接触,可提高电极材料的比表面积,使其能够与电解液充分地浸润。

图2-7 氧化镍的扫描电镜图

图2-8所示为氧化镍的XRD图谱,由图可见无杂质峰出现,仅在37.3°、43.3°和62.9°处出现衍射峰[对应(111),(200)和(220)],而且由62.9°峰较宽和花球状形貌可推测此晶体为44~1159。除了在2 θ =37.3°处有一强峰外,其余的衍射峰强度均较小,半峰宽较大,表明晶化程度较小,有研究表明结晶程度小的材料更适用于超级电容器电极材料。

图2-8 氧化镍的XRD图谱

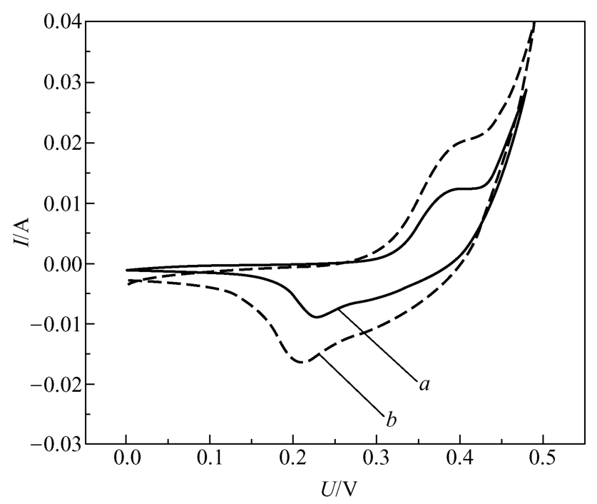
设定工作区间为0~0.45V(与SCE相比),扫描速度分别为1mV/s和2mV/s,将氧化镍在3mol/L的氢氧化钾(KOH)电解液中进行循环伏安测试,循环伏安曲线如图2-9所示。由图可知,循环伏安曲线没有呈现规则的矩形特征,存在明显的氧化还原峰。其中氧化峰相对Ni 2+ 氧化为Ni 3+ ,还原峰对应其可逆过程,在0.22V和0.35V处存在较明显的氧化还原峰,表明此电位附近伴随有赝电容产生。由公式 C m I ·Δ t /(Δ U · m )可得当扫描速度为1mV/s和2mV/s时,电极材料的最高比容量分别为608F/g和580F/g。

图2-9 氧化镍电极的循环伏安曲线( a =1mV/s; b =2mV/s)

图2-10所示为氧化镍电极的恒流放电曲线,电压范围为0~0.37V。经计算在放电电流为5mA、10mA和20mA时,电极材料的比容量分别为405F/g、392F/g和300F/g。

图2-10 氧化镍电极的恒流放电曲线( A =5mA; B =10mA; C =20mA)

分别在5mA和10mA的恒定电流下进行连续循环充放电实验,氧化镍电极的循环性能如图2-11所示。可知当充放电电流为5mA时,初次循环比容量高达405F/g,达到200次循环后比容量稳定于365F/g(容量保持在90%以上);在充放电电流为10mA时,初次循环比容量为392F/g,达到200次循环后比容量稳定于355F/g(容量保持在91%以上)。这可能是在循环初期,电流流动引起球状表面破坏,从而造成了比表面积减小。由此可得,随着电流的增大,比容量有所减小,但容量保持率基本不变。

图2-11 氧化镍电极的循环性能( A =5mA; B =10mA) 69R4r2J9HW5du5jWY5OZen0zr/JijwSG9XuTWYyoRe4Fmk1ON/8LAGUYuRbLxL6H

点击中间区域
呼出菜单
上一章
目录
下一章
×