



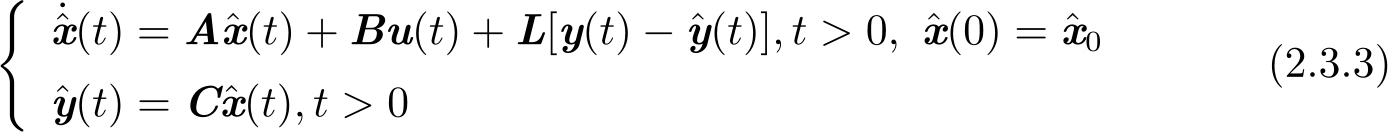
考虑如下形式的有限维线性系统:
式中, x ( t )∈ℜ n 和 u ( t )∈ℜ m 分别为系统状态和控制输入; A ∈ℜ n × n 和 B ∈ℜ n × m 分别为系统矩阵和控制输入矩阵; x 0 为系统初值。在全状态信息 x ( t )完全可用于反馈的假设下,状态反馈控制 u ( t )= Kx ( t )( K ∈ℜ m × n 是控制增益)是系统(2.3.1)的最佳选择。然而,在许多实际控制系统中,通常仅有测量输出信息 y ( t )∈ℜ p 可用于反馈, y ( t )= Cx ( t ),其中 C ∈ℜ p × n 为测量输出矩阵。由于静态输出反馈控制的能力有限,如下形式的基于观测器的输出反馈控制更有实际意义:
式中,
K
∈ℜ
m
×
n
为控制增益;估计状态
受限于如下观测器方程
[125]
:
这里
和
分别为观测器状态和输出;
L
∈ℜ
n
×
p
为观测器增益。
为输出校正项。
为观测器初值。显然,式(2.3.2)和式(2.3.3)给出了一种在线估计状态的动态输出反馈控制律。
基于观测器的输出反馈控制律(2.3.2)和(2.3.3)是通过分离原理构建的。在基于观测器的输出反馈控制设计中,观测器设计是重点。常用的观测器是龙伯格观测器[见式(2.3.3)],它是以保证观测器误差
稳定或渐近/指数/有限时间稳定为出发点进行设计的。尽管经典的基于龙伯格观测器的输出反馈控制律(2.3.2)和(2.3.3)是针对有限维系统(2.3.1)提出的,但此类控制器也已被推广到DPS,用于解决其反馈控制问题
[33,40,66,69,70,73]
。不同于现有大部分研究工作引入该类基于观测器的输出反馈控制,目的是解决仅有测量输出信息可用于反馈情形的控制设计,本书将应用基于观测器的输出反馈控制,以克服由执行器与传感器非同位导致的DPS控制设计困难。与有限维龙伯格观测器不同,在无限维龙伯格观测器中,输出校正项可添加到PDE模型及其边界条件。
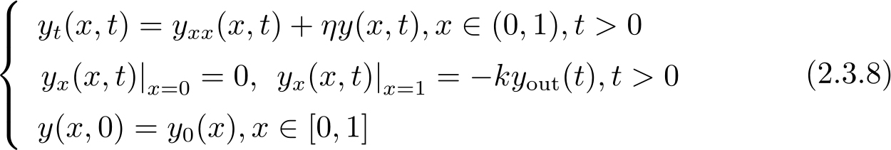
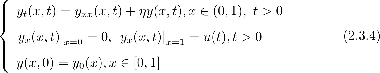
考虑如下线性抛物型标量PDE模型:
式中, y (·, t )∈ H ([0, L ])、 η ∈ℜ和 u ( t )∈ℜ分别为PDE模型的状态、反应系数和控制输入。在PDE模型(2.3.4)中,控制驱动作用在空间域[0,1]的边界 x =1上。针对上述线性标量PDE模型,分别选择如下两种边界测量输出 y out ( t )∈ℜ。
情形I:同位边界测量
测量传感器的布放位置与执行器相同(边界 x =1),显然控制驱动和传感测量是同位的。
情形II:非同位边界测量
测量传感器的布放位置在[0,1]的另一个边界 x =0上,显然控制驱动和传感测量是非同位的。
在静态输出反馈控制框架下,可设计如下形式的静态输出反馈控制律:
式中, k ∈ℜ是控制增益。在控制律(2.3.7)的作用下,相应闭环PDE系统为
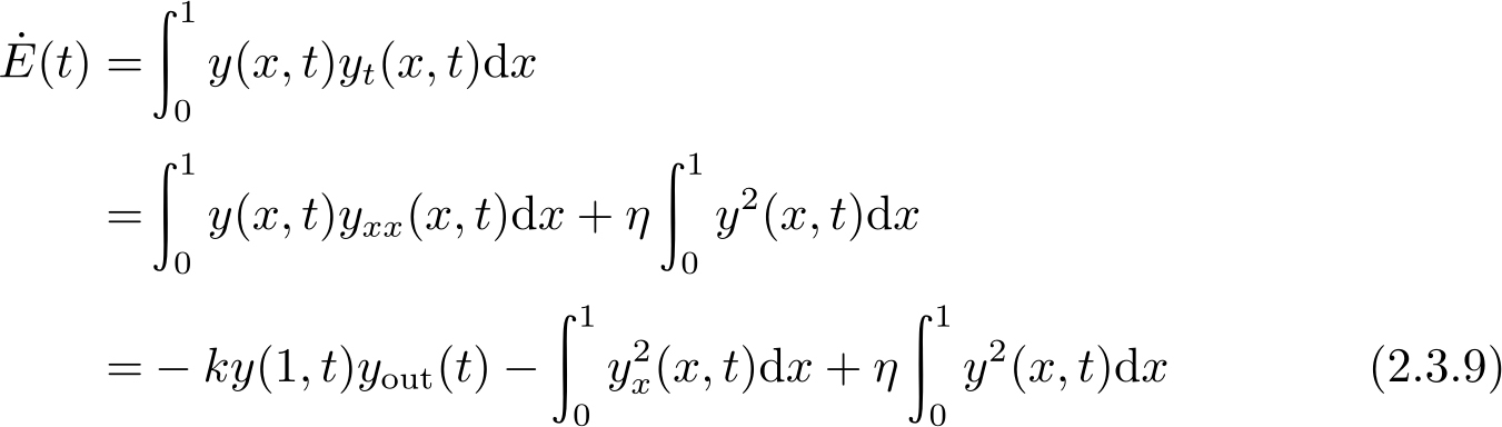
在能量函数
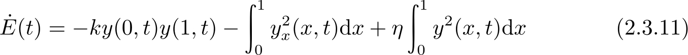
的作用下,闭环PDE系统的能量变化为
第二个等式推导用到了如下事实:
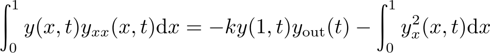
这是利用分部积分技术并考虑闭环PDE系统(2.3.8)的边界条件得到的。观察式(2.3.9)可以发现,针对同位边界测量(2.3.5),式(2.3.9)可改写为
由于存在二次型
-ky
2
(1,
t
),因此相应闭环PDE系统的能量变化是耗散的(理论上存在充分大的控制增益
k
,使得
)。但是针对非同位边界测量(2.3.6),式(2.3.9)可改写为
由于存在非二次型 -ky (0, t ) y (1, t ),因此相应闭环PDE系统的能量变化是非耗散的。通常非耗散系统性能分析是具有一定难度的。
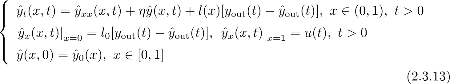
为解决具有非同位边界测量(2.3.6)的PDE模型(2.3.4)控制设计问题,在基于观测器的输出反馈控制框架下,构建如下基于PDE观测器的反馈控制律:
式中,
k
∈ℜ是控制增益;
是估计状态
在边界
x
=1处的取值,其时空演化动态受限于如下PDE观测器:
式中,
l
(
x
)和
l
0
是观测增益参数;观测器输出
。
此外,反馈控制律(2.3.12)也可替换为如下形式:
式中,估计状态
受限于PDE观测器(2.3.13)。第5章结合T-S模糊控制技术,针对一类非线性抛物型DPS提出了基于模糊观测器的模糊输出反馈控制策略。
注2.1 针对同位边界测量(2.3.5),文献[126]指出了相对于静态输出的反馈控制策略,基于观测器的输出反馈控制策略对测量干扰具有更好的鲁棒性,这是因为观测器环节的存在隔绝了测量干扰对控制信号的直接影响。