



本章涉及的制图规范将严格按照国家标准(GB)有关规定执行。
在进行室内设计工作的过程中,施工图的绘制是表达设计师设计意图的重要手段之一,是设计师与各相关专业人员之间交流的标准化语言,是控制施工现场能否充分、正确理解并实施设计理念的重要环节,是衡量设计团队的设计管理水平是否专业的重要标准。专业化、标准化的施工图操作流程规范,不但可以帮助设计师深化设计内容,完善构思想法,同时面对大型公共设计项目及大量的设计订单,行之有效的施工图规范与管理,也可以帮助设计团队在保持设计品质及提高工作效率方面起到积极有效的作用。
如图2-1所示为常见的室内设计平面图。
图2-1 室内设计平面图
图纸幅面是指图纸本身的规格尺寸,也就是我们常说的“图签”,为了合理使用并便于图纸管理装订,室内设计制图的图纸幅面规格尺寸延用了建筑制图的国家标准,如表2-1所示。
表2-1 图纸幅面及图框尺寸(mm)
标题栏的主要内容包括:设计单位名称、工程名称、图纸名称、图纸编号、项目负责人、设计人、绘图人、审核人等项目内容。如有备注说明或图例简表也可视其内容放置其中。标题栏的长宽与具体内容可根据具体工程项目进行调整。
室内设计中的设计图纸一般需要审定,水、电、消防等相关专业负责人要会签,此时可以在图纸装订一侧设置会签栏,不需要会签的图纸可不设会签栏。
以下以A2图幅为例,常见的标题栏布局形式如图2-2所示。
图2-2 图框标题栏及会签栏
室内设计图中的图形与其实物相应要素的线性尺寸之比称为“比例”。比值为1的比例,即1:1称为“原值比例”,比例大于1的比例称为“放大比例”,比例小于1的比例则称为“缩小比例”。绘制图样时,采用如表2-2所示的国标规定比例。
表2-2 国标规定的比例
图线分为粗线、中粗线、细线三类。画图时,根据图形的大小和复杂程度,图线宽度
d
可在0.13、0.18、0.25、0.35、0.5、0.7、1、1.4、2(mm)数系(该数系的公比为
)中选取。粗线、中粗线、细线的宽度比率为4:2:1。由于图样复制中所存在的困难,应尽量避免采用0.18以下的图线宽度。
室内设计图中常用图线的名称、型式及用途如表2-3所示。
表2-3 图线及用途
注意:上表中的b为所绘制的本张图纸上可见轮廓线设定的宽度, b =0.4~0.8mm。
在绘制图样时,往往需要将形体进行剖切,应用相应的剖面符号表示其断面,如图2-3所示。
图2-3 剖面符号
在室内设计图纸中,除图形外还需用汉字、英文、数字等来标注尺寸和说明使用材料、施工要求、用途等。
(1)汉字字体。
图中汉字、字符和数字应做到排列整齐、清楚正确、尺寸协调一致。汉字、字符和数字并列书写时,汉字字高略高于字符和数字的字高。
文字的字高应为3.5、5.0、7.0、10、14、20mm。如需书写更大的字,其高度应按比值递增。在不影响出图质量的情况下,文字的高度不小于2.5mm。
除单位名称、工程名称、地形图等及特殊情况外,字体均应采用AutoCAD的SHX字体,汉字采用SHX长仿宋体。图纸中的字型尽量不使用Windows的TureType字体,以加快图形的显示速度。同一图形文件内字体不超过4种。
(2)数字。
尺寸数字分直体和斜体两种,斜体字向右倾斜与垂直线夹角约为15°。
(3)英文字体。
英文字体也分成直体和斜体两种,斜体也与垂直线夹角约为15°。英文字母分大写和小写,大写显得庄重稳健,小写显得秀丽活泼,应根据场合和要求选用。
在用文字注释图纸时,引出线应采用细直线,不能用曲线。引出线同时索引相同部分时,各引出线应相互保持平行。常见的几种引出线标注方式如图2-4所示。
索引详图的引出线,应对准圆心,如图2-5所示。
图2-4 引出线标注
图2-5 索引详图的引出线
如图2-6所示为引线标注的范例。
图2-6 引线标注的范例
在标注尺寸时应遵循以下原则。
◆ 所标注的尺寸是形体的实际尺寸。
◆ 所标尺寸均以毫米(mm)为单位,但不写出。
◆ 每一个尺寸只标注一次。
◆ 应尽量将尺寸标注在图形之外,不要与视图轮廓线相交。
◆ 尺寸线要与被标注的轮廓线平行,尺寸线从小到大、从里向外标注,尺寸界线要与被标注的轮廓线垂直。
◆ 尺寸数字要写在尺寸线上边。
◆ 尺寸线尽可能不要交叉,尽可能符合加工顺序。
◆ 尺寸线不能标注在虚线上。
如图2-7所示为尺寸标注范例。
图2-7 尺寸标注
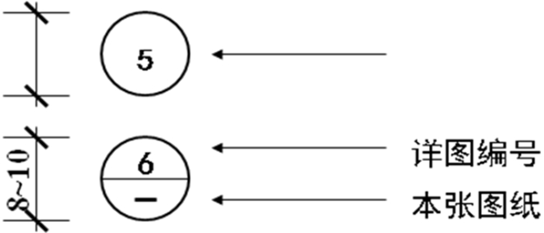
详图在本张图纸上时,表示为如图2-8所示的标注样式。
详图不在本张图纸上时,表示为如图2-9所示的标注样式。
图2-8 详图在本图纸上
图2-9 详图不在本张图纸上
索引详图的名称表示为如图2-10所示的标注样式。
图2-10 索引详图的名称
图名标注在所标示图的下方正中,图名下画双画线。比例紧跟其后,但不在双线之内,如图2-11所示。
图名、比例完整的标注方法,如图2-12所示。
图2-11 图名、比例标注
图2-12 完整的图名、比例标注
在平面图内指示立面索引或剖切立面索引的符号,如图2-13所示。
图2-13 索引符号示意图
如果一幅图内含多个立面时可采用如图2-14所示的形式;若所引立面在不同的图幅内可采用如图2-15所示的形式。
图2-14 同时标注4个面
图2-15 不同幅面的索引标注
如图2-16所示的符号作为所指示立面的起止点之用。
如图2-17所示的符号作为剖立面索引指向。
图2-16 指示立面的起止点
图2-17 剖立面索引指向
标高标注用于表示天花造型及地面的装修完成面的高度。在不同的幅面中,标高的字体高度也会不同。
◆ 符号笔号为4号色,适用于A0、A1、A2图幅字高为2.5mm,字体为宋体的标高标注样式如图2-18所示。
◆ 符号笔号为4号色,适用于A3、A4图幅字高为2mm,字体为宋体的标高标注样式如图2-19所示。
图2-18 A0、A1、A2图幅的标高
图2-19 A0、A3、A4图幅的标高
◆ 由引出线、矩形、标高、材料名称组成,适用于A0、A1、A2图幅字高为2.5mm,字体为宋体,如图2-20所示。
◆ 由引出线、矩形、标高、材料名称组成,适用于A3、A4图幅字高为2mm,字体为宋体,如图2-21所示。
图2-20 标高标注
图2-21 标高标注二
标高标注符号常用于标注大样图(详图),如图2-22所示为标注范例。
图2-22 标高标注范例