



在雷达辐射式仿真中,不同的仿真场景需要采用不同的微波暗室和信号体制。在导弹防御雷达应用场景中,导引头雷达系统在对目标进行探测时,需要根据探测结果实时调整自身姿态,完成目标打击。此时,常采用三元组阵列模拟目标位置变化,对导引头雷达系统的探测性能进行仿真和性能评估。作为防御方的雷达系统,需要对导弹的姿态特征、弹体分离特征、运动特征等进行精确的探测和分析,从而为己方防御提供数据支撑,此时就需要利用辐射式仿真开展目标特性测量等试验。此外,随着雷达对抗愈演愈烈,利用辐射式仿真实现雷达对抗的等效模拟十分必要,不同调制样式的雷达脉冲是进行对抗博弈的重要方式,因此,将真实雷达脉冲用于辐射式仿真,进而开展目标探测及雷达对抗性能分析值得深入研究。
本书主要针对导弹攻防场景,开展辐射式仿真应用研究。为了防御空间威胁目标,美国大力发展导弹防御技术,已建立多层次、一体化导弹防御体系,如图1.19所示。
 
    图1.19 美国导弹防御体系
2017年1月29日,由美国与日本共同研制的海基拦截弹“标准-3 Block 2A”在太平洋海域试射成功。2017年5月31日,美国成功完成拦截洲际导弹试验,同年在韩国部署了萨德反导系统。由以上频繁弹道导弹与导弹防御技术试验活动可以看出,导弹防御技术在国土防御和地区防御的重要性,弹道导弹与导弹防御技术是维护空间安全和国土安全的核心和关键。
导弹突防采用隐身技术、无源假目标、有源假目标、碎片等反识别手段,及时发现和准确识别来袭目标是防御系统实现有效拦截的前提和基础。空间目标识别技术直接决定了导弹防御系统能否有效识别和拦截来袭导弹,是导弹防御的基础和前提。雷达是导弹防御系统的核心传感器,具有可全天候工作、探测距离远、识别精度高等优点。美国建立了海基X波段雷达、宙斯盾系统雷达、萨德系统雷达、爱国者系统雷达等多层次的空间目标雷达探测与识别体系,在夸贾林环礁建立了里根反导试验场(见图1.20),并不断加强雷达对空间目标的探测和识别能力,以应对突防反识别能力不断增强的弹道导弹。
 
    图1.20 美国里根反导试验场空间监视雷达发展路线图
弹道导弹为了提高与导弹防御系统的对抗能力,通常采用真假多目标突防手段,在防御系统的光学、雷达传感器中呈现多目标的态势。雷达传感器是导弹防御系统中的核心传感器,是弹道导弹面临的最大的探测和识别威胁。针对导弹防御系统雷达,弹道导弹在突破导弹防御系统过程中采用的多目标,主要包括真目标本体、无源假目标、有源假目标等,如图1.21所示。其中,目标本体采用多种电磁超材料、电磁吸波材料等电磁特征控制手段,实现高隐身性能;无源假目标主要包括多种模拟真目标本体电磁特征的假目标,使导弹防御系统雷达无法辨识真目标和无源假目标;有源假目标主要包括欺骗式电子干扰装置生成的多种电子假目标,干扰导弹防御系统雷达探测和识别,从而掩护真目标。
 
    图1.21 导弹突防多目标示意图
主动防御即在空中将导弹摧毁,从而避免导弹对地面造成损伤,是目前广泛发展的导弹防御手段。主动防御系统可以根据导弹的飞行阶段进行划分,弹道导弹的飞行阶段可以划分为弹道助推段、弹道中段和弹道末段,如图1.22所示。
 
    图1.22 弹道导弹飞行轨迹
导弹助推段的拦截系统由于要考虑到导弹拦截反应时间短、导弹发射地点距离远等问题,因此拦截系统通常以机载为主,从而实现灵活的机动能力。导弹助推段主动防御系统如图1.23所示。
 
    图1.23 导弹助推段主动防御系统
弹道中段飞行持续时间长,弹道可以根据长时间的观测估计出微动等特征,用来区分真假目标,因此中段反导是导弹拦截的重要手段。目前,美国标志性的弹道中段拦截系统主要分为海基弹道导弹拦截系统和地基弹道导弹拦截系统。其中,地基弹道导弹拦截系统在2002年由国家导弹拦截系统更名为陆基导弹拦截系统,用以区分与海基导弹拦截系统和空基导弹拦截系统的不同。目前,美国为人所知的宙斯盾弹道导弹拦截系统就属于海基中段弹道导弹拦截系统,该拦截系统从1999年到2008年总共进行了20次拦截试验,其中16次获得成功,4次失败。宙斯盾弹道导弹防御试验和中段弹道导弹拦截系统分别如图1.24和图1.25所示。
 
    图1.24 宙斯盾弹道导弹防御试验
 
    图1.25 中段弹道导弹拦截系统
末段弹道导弹拦截系统用来拦截大部分的空中威胁目标,如末段弹道导弹、巡航导弹和空对地制导导弹等。因此,各国都在末段弹道导弹拦截系统的研制上投入很多,目前比较成熟的拦截系统有爱国者(PATRIOT)、扩展中程防空系统(MEADS)、SAMP、ARROW、THAAD、S-300等,如图1.26所示。
 
    图1.26 末段弹道导弹拦截系统
美国MD系统中各雷达不是独立工作的,而是由指挥控制交战管理与通信(Command and Control Battle Management and Communications,C2BMC)连接成一个有机整体。图1.27所示为MD系统对弹道导弹的全程跟踪、拦截示意图,该场景涉及了UEWR(Upgraded Early Warning Radar,早期预警雷达)、Aegis、GBR三部雷达。
 
    图1.27 MD系统对弹道导弹的全程跟踪、拦截示意图
图1.28来源于美国C2BMC资料,涉及了导弹防御系统中的六部雷达,显示了它们的工作区域是重叠交错的,构成了雷达组网模式。
 
    图1.28 六部雷达的工作区域示意图
归纳起来,导弹防御雷达应用场景具有如下特点。
(1)先进相控阵雷达是导弹防御系统的核心,信号样式以调制脉冲为主。
(2)雷达组网探测形成全空域覆盖能力。
(3)高动态、多目标是导弹防御的主要挑战。
(4)协同对抗是主要威胁。
辐射式仿真的重点是构建的电磁环境、目标和雷达能力符合现实场景,因此在构建辐射式仿真场景时,应尽量逼真地模拟雷达信号样式、工作模式等。
目标特性测量主要有外场试验和暗室辐射式仿真测量两种方式,其中外场试验通常采用实体目标进行探测分析。1965年,美国海军研究实验室(Naval Research Laboratory,NRL)采用外场试验的方法对目标动态特性进行了测量,该测量系统采用脉冲雷达信号体制,能够实现L、S、X波段的目标特性测量,测试效果良好。文献[63]给出了NRL的动态测量雷达系统,如图1.29所示。
 
    图1.29 NRL的动态测量雷达系统
在辐射式仿真中,国内外基本采用冲激脉冲与扫频信号开展目标测量,得到目标电磁特征。冲激脉冲目标测量通过发射极窄脉冲对天线特性和目标特性进行测量。一方面,短脉宽使得信号对应的带宽较大,从而利于获取目标的宽带散射特性;另一方面,冲激脉冲脉宽较短,其对应的盲区也较小,从而使得目标回波与发射信号在时域即可分离,因此在较小的微波暗室中就能完成对目标的测量任务。文献[69]中的冲激脉冲目标RCS暗室测量场景,如图1.30所示。
 
    图1.30 冲激脉冲目标RCS暗室测量场景
扫频测量是在一定带宽内产生不同频点的信号,然后进行合成,从而实现宽带测量。扫频测量通常是利用矢量网络分析仪的扫频源发射出扫频信号,其精度更高,能够包含整个扫频宽度内各频点的目标特性信息,进而获得目标高分辨距离像,是目前雷达目标特性测量广泛采用的方式。美国林肯实验室在微波暗室内,通过发射扫频信号,对弹头目标微动特性进行了测量。文献[73]中,O'Donnell A N等利用该数据,对弹头目标的欠采样数据进行了目标特性分析,如图1.31所示。
 
    图1.31 弹头目标欠采样数据目标特性分析
随着对雷达目标运动特性认识的加深,国内学者利用微波暗室射频仿真的方法,对雷达的宽带目标特性开展了广泛研究。国防科技大学的刘进等通过设计进动目标模型(见图1.17),构建了紧凑场微波暗室动态测量系统,采用扫频信号得到并分析了空间进动目标动态散射特性,如图1.32所示。北京航空航天大学的高旭等,在微波暗室中利用扫频信号研究了飞机目标中缝隙部位的电磁散射特性。
 
    图1.32 扫频信号暗室测量的目标动态数据获取结果
图1.17和图1.18所示的目标模拟系统及测试系统均采用扫频信号开展了目标特性测量,其信号的等效PRF均为68Hz。由于矢量网络分析仪通过对设定带宽内的所有频点扫描结束后,才能进行下一方位角的测量,因此测量系统信号等效PRF较低,通常只能达到几十赫兹量级,难以完成具有高速旋转部件目标的测量任务。
当前,雷达系统广泛采用脉冲信号完成空间目标的探测、特性测量与成像。由于脉冲信号能够达到较高的PRF,对高动态目标特性测量具有较好的优势。进一步与干扰机、杂波源交互,可以直接反映雷达系统的探测效应。因此,在辐射式仿真中利用脉冲雷达获取目标电磁特征、评估雷达系统性能具有十分重要的理论价值和意义。但是,从公开发表的文献来看,在辐射式仿真中,采用脉冲雷达信号实现雷达目标测量的研究较少,亟待进一步深入研究。
在外场环境中,目标与雷达距离在1000km以上。而微波暗室空间受限,天线与目标距离较近,至多100m,如图1.33所示。由于脉冲信号存在盲区,在收发分时方式下,发射信号与接收信号将会在接收天线处产生遮挡,无法获取完整的目标回波。在收发同时方式下,接收天线将会收到发射天线的强耦合信号,使得收发信号难以被有效分离。在收发天线之间放置隔离器,可以降低信号互耦的程度,但是对隔离器的设计提出了较高要求。因此,如何解决信号收发遮挡与互耦,是脉冲雷达辐射式仿真面临的关键性技术难题之一。
 
    图1.33 微波暗室尺寸与脉冲宽度的矛盾
1.3.2.1 被动接收动态仿真及处理
1.工作原理
以雷达导引头辐射式半实物仿真为例,其仿真系统由微波暗室、转台、综合信号模拟分系统、三元组角度模拟分系统、校准系统、控制及评估分系统组成,如图1.34所示。
 
    图1.34 雷达导引头辐射式仿真系统组成
各分系统组成及功能如下。
(1)微波暗室包括屏蔽体及吸波材料,主要功能是提供无外界电磁干扰的试验环境。
(2)转台包括一套高动态大负载转台,主要功能是提供导引头的安装位置并模拟导引头载体的姿态变化。
(3)综合信号模拟分系统包括一套多通道目标信号模拟器和一套干扰环境信号模拟器,主要功能是产生仿真过程中所需的目标回波信号、辐射源信号、复杂的电磁背景信号和干扰信号等。
(4)三元组角度模拟分系统包括三元组天线阵列及阵列馈电网络,主要功能是将综合信号模拟分系统所模拟产生的目标信号、干扰信号、环境信号等按照战情设计进行辐射角位置控制,以所需要的角度向被试导引头辐射目标信号、干扰信号、环境杂波信号等。
(5)校准系统包括矢量网络分析仪、校准源及天线,主要功能是对角度模拟分系统进行标校及测量,该系统不参与试验过程。
(6)控制及评估分系统包括控制工作台及显控计算机、网络交换机、控制软件等,主要功能是实现仿真试验过程的控制、显示、数据解算、导引头的姿态运动模拟等,该系统可用于仿真前设备的检验、仿真过程中数据的采集和监控、仿真结束后数据的分析与处理。
雷达导引头辐射式仿真系统工作方式如下:在微波暗室内,将被试导引头安装于转台上,模拟导弹飞行过程中姿态的变化;通过综合信号模拟分系统生成作战场景中的目标回波信号、辐射源信号、复杂的电磁背景信号和干扰信号;利用三元组角度模拟分系统将上述信号以空间辐射方式辐射给被试导引头;通过对三元组馈电进行控制改变合成的等效辐射信号角度,模拟真实作战场景中导引头接收到各种信号角度变化的情况;通过控制及评估分系统对导引头姿态和电磁环境进行精准控制,来评估导引头抗干扰性能。
开展雷达导引头技术状态检测试验主要通过导弹制导半实物仿真试验系统来完成,该系统主要由微波暗室、三轴试验转台、复杂电磁环境信号模拟系统、试验显控系统、仿真计算机、数据采集系统、数据库和通信网络组成。
被测试的导引头安装在三轴试验转台上,并通过通信网络接入导弹制导半实物仿真试验系统。三轴试验转台模拟导弹的运动姿态,保证导引头与目标相对角位置关系的准确性,试验显控系统根据技术状态检测需求制定测试态势想定,并对试验过程进行控制,仿真计算机实现对各类信息的解算,并控制仿真系统按照一定的帧周期运行。复杂电磁环境信号模拟系统按照态势想定生成相应距离、方位和功率的目标回波信号,并在微波暗室内向导引头辐射,导引头接收到信号模拟系统发出的目标回波后对其进行捕捉跟踪,导引头输出的各类指令和信息通过数据采集系统进行采集,并存储在数据库中,待导出至数据处理系统分析处理。
2.关键技术
为模拟飞行器在实际作战中的目标和电磁环境(包括电子干扰等),需要辐射式仿真系统产生与飞行器作战方式相适应的目标和电磁环境信号。因此,辐射式仿真系统主要技术指标必须与飞行器的技术指标和作战环境特性相适应,才能完成飞行器雷达导引头系统的半实物仿真试验。
1)微波暗室仿真试验距离
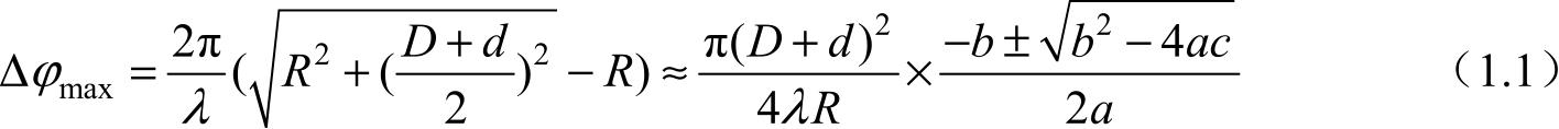
射频仿真微波暗室的尺寸主要依据被试导引头的体制、工作频率、天线口面尺寸、模拟目标的视场角和模拟目标的位置精度等要求来最终确定。
微波暗室的有效长度是指,被试导引头天线中心至阵列及馈电系统辐射天线阵面的直线距离。由于被试导引头天线对目标探测的基本条件是目标处于导引头天线的远场区域,即天线所接收到的目标信号具有平面电磁波的性质,因此,微波暗室的有效长度,即接收天线与发射天线之间的直线距离,也即仿真试验的距离,其基本条件是必须满足天线测量的远场条件。
收发天线间的位置关系如图1.35所示。
 
    图1.35 收发天线间的位置关系
由发射天线等效的相位中心辐射的电磁波经过距离 R 到达接收天线口面,以接收天线口面中心为参考,口面边缘的相位差为
 
   式中,Δ φ max 为天线口面边缘的相位差, λ 为试验波长, R 为天线测试距离, D 为被试设备天线口径, d 为辐射源天线口径。天线口面边缘的相位差一般取Δ φ max = π/8来计算天线远场的最小距离,由式(1.1)得到
 
   在过去相当长的时间内,用式(1.2)来确定收发天线间的最小测试距离。但由于在三元组合成时,等效辐射点可被看成一个点源信号,因此,在辐射式仿真系统中,等效辐射源的口径尺寸可忽略不计,故式(1.2)简化为
 
   以往的工程经验进一步证实,在估算微波暗室有效长度时,忽略辐射源天线尺寸更为合理。
2)微波暗室静区
建造微波暗室,其根本目的就是要设法抑制电磁波的反射,以便在被试设备的周围建立起一个反射电平极低的“静区”。衡量静区性能优劣的最主要指标是反射率,在进行微波暗室设计时,必然要进行静区反射率的估算。然而,计算静区的反射率就需要计算电磁波入射到吸波材料上之后的散射场,严格地说,计算电磁波的散射场相当复杂,长期以来,在微波暗室的工程设计中,普遍认可的做法是采用一种既方便又有效的近似计算方法——基于几何光学理论的射线追踪法。
微波暗室中的电磁波基本上都属于高频场,而高频场的传播和散射具有“局部”特性,因此,可以采用几何光学的分析方法来进行定量分析和计算。几何光学的基础是费马原理:光线将沿着光程为极值(极大值、极小值或恒定值)的稳态路径而传播。根据费马原理可以确定光线的传播路径或轨迹,并且还可以推导出以下一些重要结论。
(1)光线在均匀介质中将沿直线进行传播。
(2)光线在两种均匀、透明介质的分界面上将遵从反射定律和折射定律。
(3)光学传播的强度定律:其振幅与传播距离的平方成反比。
(4)光学传播的相位函数:其相位随传播距离而呈线性规律变化。
应用几何光学射线追踪法来解算微波暗室的静区问题,还必须假定黏贴吸波材料的微波暗室内壁对于入射的电磁波来说呈现镜面反射特性,即电磁波入射到吸波材料上之后,一部分能量被吸波材料吸收,另一部分能量沿着几何光学的镜面反射方向进行传播。假定入射场为 E i ,反射场为 E r ,则吸波材料的反射系数为
 
   因此,在满足系统技术指标要求的前提下,合理选择吸波材料,可以保证满足总体设计的静区指标要求。
3)系统辐射天线的单元间距
系统辐射天线的单元间距选择是阵列布阵方案设计的基础,单元间距太大,不利于保证辐射信号的角位置精度,甚至会产生信号辐射角位置的多值性;单元间距太小,阵列单元数骤增,除带来系统复杂性和投资增加外,系统的稳定性变差,同时调试与维护的工作量会明显增加,不利于辐射式仿真系统的综合使用。
通常在辐射式仿真系统的设计中,辐射天线单元间距必须满足以下公式的要求:
 
   式中, L 为辐射天线单元的间距(rad), D 为最大天线口面直径(mm), λ 为最小信号波长(mm), K 为系数,当 K= 1时是极限的单元间距,工程设计上的经验值一般取 K= 0.8。
单元间距所带来的最大影响是三元组天线合成时所带来的平面波误差。不考虑阵面弧度对信号极化的影响,3个辐射天线极化方向相同,由于各辐射天线单元均视为点源,假设三元组各天线辐射单元的馈电信号幅度为 E i ,相位为 β i ( i= 1,2,3),利用场的叠加原理,可求得被试导引头天线口面处的场强为
 
   
    在式(1.6)中,认为单元的极化相同,而且忽略
    
     
      E
     
    
    
     1
    
    、
    
     
      E
     
    
    
     2
    
    、
    
     
      E
     
    
    
     3
    
    各矢量在空间方向上的差异,因此,可以简化为复标量叠加。式(1.6)中,
     ,(
    
     x
     
      i
     
    
    ,
    
     y
     
      i
     
    
    ,
    
     z
     
      i
     
    
    )是辐射天线的坐标,(
    
     x
    
    ,
    
     y
    
    ,
    
     z
    
    )是被试导引头天线的坐标。为方便计算,令
    ,(
    
     x
     
      i
     
    
    ,
    
     y
     
      i
     
    
    ,
    
     z
     
      i
     
    
    )是辐射天线的坐标,(
    
     x
    
    ,
    
     y
    
    ,
    
     z
    
    )是被试导引头天线的坐标。为方便计算,令
     ,所以被试导引头天线口面上的合成场强为
    ,所以被试导引头天线口面上的合成场强为
   
 
   所以,
 
   由余弦定理得到:
 
   式中, φ 21 = ( β 2 -β 1 ) -k ( R 2 -R 1 ); φ 31 = ( β 3 -β 1 ) -k ( R 3 -R 1 ); φ 32 = ( β 3 -β 2 ) -k ( R 3 -R 2 )。
在确定了试验距离的前提下,选择一组天线单元间距,根据上述公式,并选择相应的天线口径及试验频率,计算三元组天线合成场的幅相分布,并与点源辐射天线到达被试导引头天线的辐射信号特性进行比较,可知所取天线单元间距是否满足系统设计要求。
4)系统辐射信号角位置精度
针对辐射式仿真系统辐射信号角位置精度指标,进行系统分析,影响该指标的主要因素和带来的误差可以概括如下。
(1)原理误差:三元点辐射形成一个辐射中心,是对于小角度近似的情况,单元间距较大时便会引入误差。
(2)设备误差:包括阵列结构、阵列天线指向、转台精度、设备长期稳定性等带来的误差,都可以通过详细设计和安装工艺等来保证,并通过定期标校来调整,对位置精度影响很小,可以忽略。
(3)暗室静区性能:由暗室静区指标带来的误差。在微波暗室中反射波与直射波的夹角较大时误差增加,在阵列边缘处误差增加,此外,转台安装后转台(包括框架和转台底座)及转台基础等对静区特性都会带来很大影响,尤其是在低频时,其影响难以估算,系统角位置精度会明显下降。
(4)近场效应的误差:可以通过软件修正,正确和有效地修正后其误差可以忽略,可与原理误差统一估算。
(5)测量装置(校准系统)带来的误差:一般来说,测量系统带来的误差会比被测设备低一个数量级,校准系统的误差主要由测试天线的定位尺度(与测试频率相关)和定位精度,以及矢量网络分析仪的测量精度决定,并且随频率变低而变差,低频时误差会相应增大。
(6)幅相迭代算法误差:由于受数据更新率的限制,计算机在幅相迭代时往往只能进行二次迭代。首先确保满足系统对幅度的精确性要求,由此必然带来相位误差,若保证相位误差小于10°,则在工程上一般可满足系统精度对幅相迭代的要求,并且有源幅相组件是能够实现这种算法数据的,所以,实际在工程上其迭代误差可以忽略。
(7)幅相控制带来的误差:包括程控衰减器、程控移相器等控制器件,它们的一致性(稳定性和重复性)及各自的精度误差是在辐射式仿真系统所有误差来源中最需要控制的,并且是能够控制的部分,这部分器件控制的性能优劣会直接影响辐射信号角位置精度的优劣。
(8)射频信号源系统的频率稳定度也是引起辐射信号角位置精度的一个影响因素,稳定度高的射频信号源,其对系统角位置精度的影响可以忽略。
5)系统有效辐射功率
系统阵列天线辐射的射频信号经过一定距离的空间衰减后到达被试设备处的信号功率,即最大有效辐射功率,在总体设计上应高于被试设备探测灵敏度。同时,微波暗室中所有设施反射的信号到达被试设备处应低于被试设备的探测灵敏度,保证与直达波信号的信噪比达到30dB以上,只有这样才能降低无用信号对被试导引头测角精度的影响,使仿真试验达到模拟真实外场试验的目的。事实上,系统有效辐射功率指标是一个范围,指标在低频时较小,在高频时较大。
实际在进行辐射式仿真试验时,根据被试设备的接收灵敏度和不同工作频率,可以选择适当的系统有效辐射功率数值,以便优化试验,获得最佳的试验效果,特别是降低无用干扰的影响,得到最好的角位置测试精度和准确度,这是在辐射式仿真试验时一个非常重要的试验手段和诀窍。
1.3.2.2 冲激脉冲动态仿真及处理
1.基本原理
冲激脉冲辐射式仿真直接将纳秒或亚纳秒量级脉冲源的输出脉冲通过天线辐射到自由空间。脉冲源的输出脉冲波形、宽度、幅度、重复频率、波形一致性、稳定度等指标直接关系到雷达的可行性,因此脉冲源是冲激脉冲辐射式仿真的关键技术。一般来说,冲激脉冲源的输出信号的要求如下。
(1)脉冲宽度窄,脉冲前沿小。脉冲宽度越窄和脉冲前沿越小,频谱分量越高,要求脉冲源的输出信号脉冲宽度在纳秒量级,脉冲前沿在亚纳秒或纳秒量级。
(2)脉冲幅度高,脉冲波形稳定度高。脉冲幅度越高,脉冲源的辐射能量越强,冲激脉冲的作用距离越远;同时,脉冲波形的稳定度直接关系到冲激脉冲的测量精度,而气体开关和油开关的重频稳定度差、脉冲波形一致性差,不宜用于冲激脉冲源。
冲激脉冲以下两个特性决定了该信号适合在尺寸受限的微波暗室内进行辐射式仿真。
1)距离分辨率高
    距离分辨率是指径向方向上两个大小相等的点目标之间最小可区分的距离。一般地,从频域角度来讲,距离分辨率主要由频带宽度决定;而对应到时域冲激脉冲,距离分辨率主要由脉冲宽度决定:时域脉冲越窄,有效带宽越宽,距离分辨率越高。冲激脉冲分辨率如图1.36所示,设矩形脉冲宽度为
    
     τ
    
    ,有效带宽
     ,考虑双程延时因素,距离分辨率Δ
    
     r
     
      c
     
    
    可表示为
    ,考虑双程延时因素,距离分辨率Δ
    
     r
     
      c
     
    
    可表示为
   
 
    
    图1.36 冲激脉冲分辨率
对应于1ns的脉冲宽度,其距离分辨率可达到0.15m;而对于几百皮秒甚至十几皮秒的脉冲宽度,其距离分辨率则可以进一步提高。
2)近距离盲区小
为防止雷达接收机饱和或烧毁,一般地,在雷达发射信号的同时,接收机是关闭的,这就造成了雷达的近距离盲区。雷达近距离盲区主要决定于雷达发射信号的持续时间。无疑,对于脉冲持续时间仅在(亚)纳秒量级的冲激脉冲而言,其近距离盲区将可以得到极大限度的缩短,最小探测距离可达到数十厘米。这对于近距离精确探测来说,相比其他系统其具有独特优势。
目前,常用的冲激脉冲信号形式一般为单极性脉冲。单极性脉冲在工程上相对容易实现,但其脉冲功率的较大部分处于低频段,不利于发射天线辐射,因此,信号功率的利用效率较低。类似双高斯脉冲或者Ricker小波信号的脉冲形式零频分量少,其频谱能量集中在频谱中心附近,并且回波相位信息容易提取,是比较理想的脉冲信号形式,但在工程上较难实现,必须改进或创新电路拓扑。
2.关键技术
1)单位冲激信号特性
选择 δ ( t )函数,作为冲激雷达发射信号,其表达式为
 
   满足 δ ( t )函数关系的信号称为单位冲激信号,其具有如下基本特性。
(1)频谱分布特性。
δ ( t )函数的频谱分布在频域上呈单位均匀分布:
 
   因此,其傅里叶变换对为
 
   显然, δ ( t )的相对频带宽度达到极限值。
(2)筛选特性。
对于任意函数 f ( t ),其与 δ ( t )乘积的无限积分等于 f (0):
 
   (3)卷积特性。
对于任意函数 f ( t ),其与 δ ( t )卷积等于 f ( t )自身:
 
   (4)高阶导数的筛选特性。
设 δ ( t )广义的 n 阶导数为 δ ( n ) ( t ),则对于任意函数 f ( t ),其与 δ ( n ) ( t )乘积的无限积分满足如下关系:
 
   正因为Dirac-Delta信号具有这些特性,因此它具有很强的物理意义。在现代信号与系统理论中,对于系统特性的最重要刻画方法便是系统的冲激响应,即系统对于单位冲激信号的零状态响应。
利用冲激响应,可以有效刻画出系统的内在特性。若已知某一系统的冲激响应,则对于任意信号,该系统的零状态输出响应可求。
设系统冲激响应已知,记作 h ( t ),即
 
   而对于任意信号 f ( t ),该系统的零状态输出响应记为 y f ( t ):
 
   即
 
   若系统属于线性系统,满足齐次性和可加性,则有
 
   式中, * 表示卷积运算。
冲激响应反映在雷达目标探测中,具有如下物理本质:以单位脉冲信号照射目标,则所接收到的目标回波,可以反映目标在整个频域上的全部响应特性。更进一步,由单位冲激回波结果,可以推算出任意波形照射目标时的反射回波信号。
这也可以从另一个角度去理解冲激雷达与常规雷达之间的根本区别与内在联系。相比于常规雷达,冲激雷达回波可以得到更为丰富的目标信息,这种根本性差异直接决定了冲激雷达距离分辨率高、易于目标识别等潜在特性。
理想的单位冲激信号是无法用物理实现的,仅具有数学意义。实际应用中可以采用的冲激脉冲信号并没有严格的定义和要求,大致上可分为如下几类:单极脉冲、单周波、多周波,如图1.37所示。
 
    图1.37 冲激脉冲信号形式
单极脉冲只含有单向峰值电平,经发射天线后,利用天线的“微分”效应对外辐射,回波信号波形简单,易于区分目标各个反射中心点的反射分量及相互延时关系。但是,单极脉冲也具有一定的缺点,频谱分布中直流分量最大,且由低频往高频迅速递减,低频分量过高,导致天线辐射效率较低。典型的单极脉冲有高斯脉冲、双指数脉冲等形式。
单周波是典型的双极脉冲形式,含有双向峰值电平。单周波的优点在于它的频谱分布中心频率近似在单周波波形周期对应的频率附近,左右近似呈对称分布,不含直流分量,低频分量小,从而可以提高天线辐射效率。但是,单周波脉冲的波形较为复杂,特别是经过辐射接收后,将呈现多个峰值。对于体目标而言,难于区分多个散射中心的波形延时与单点散射回波极性之间的差异,也就是说无法有效提取散射中心分布信息,这对于后端目标识别是不利的。典型的单周波有单周期正弦波、微分高斯脉冲等形式。
相对于单周波而言,多周波所包含的低频分量更小,从而使得天线辐射效率更高;但是同时带来了系统信号有效带宽的降低。多周波在一个脉冲内含有多个振荡周期,因此几乎可以认为是一种载波调制波。实际上,信号相对带宽的概念可以近似理解为信号周期与信号持续时间之比,也就是载波信号周期宽度与基带脉冲持续宽度之比。例如,1%的相对带宽,其基带脉冲信号中将调制大约100个载波信号;同样地,20%~25%的相对带宽,其基带脉冲信号中将允许调制大约4~5个载波信号。这种对信号带宽概念的理解,可以有效地帮助下文中一些问题的讨论。
因此,多周波可以理解为由传统的窄带雷达到超宽带雷达波形的中间过渡。典型的多周波有多周期正弦波、调制高斯脉冲等。
2)参数测量
(1)距离测量。
冲激雷达测距与常规雷达测距原理完全相同,根据雷达收发脉冲延时,求解目标距离:
 
   式中, R 为目标距离; t D 为收发脉冲延时; c 为光速。
由于冲激脉冲宽度极窄,一般仅在纳秒左右,其上升沿非常陡峭,可达到数百皮秒,因此利用回波脉冲或脉冲前沿实现目标检测将有望获得很高的测距精度。
(2)速度测量。
常规雷达测速利用多普勒效应,通过测量回波多普勒频移,反推目标径向速度。
 
   多普勒效应,其本质上是雷达与目标之间的相对运动导致回波信号在时间尺度上的展缩效应,多普勒频移只是一种近似。
对于冲激雷达测速,目前有多种主张:一种主张测试多普勒频移得出目标速度信息;另一种主张测试多普勒时移得出目标速度信息;还有一种主张测试多普勒相移得出目标速度信息。
窄带和冲激脉冲雷达单脉冲回波比较如图1.38所示,窄带雷达之所以能够实现单脉冲测速,是因为单个脉冲内,信号周期较多,信号持续时间足够长。在整个信号持续时间内,目标发生了足够大的移动,造成回波信号较发射信号在时间尺度上产生了明显的展缩,因此利用多普勒频率可以进行单脉冲测速。
而对于冲激脉冲,在单个脉冲内信号周期少、信号持续时间短。在整个脉冲持续时间内,目标移动造成脉冲信号时间尺度上的展缩很难被观测,几乎可以忽略,因此单个冲激脉冲无法测速。特别是考虑到实际环境中的收发脉冲波形形变、杂波干扰、窄脉冲高精度测试难度等因素,单个冲激脉冲根本无法进行目标速度测量。
 
    图1.38 窄带和冲激脉冲雷达单脉冲回波比较
(3)角度测量。
与常规雷达测角原理相仿,可采用最大信号法测角,即当雷达天线波束正对目标时,回波信号能量最强。天线在空域内连续扫描,在天线波束照射到目标的驻留时间内(以主波束计),可以接收到 N 个目标回波。
 
   式中, Θ 为方位向(俯仰向)波束宽度; s ω 为方位(俯仰)扫描速度; f p 为脉冲重复频率。天线在目标附近角度进行扫描,目标回波个数最多的角度单元便是目标所在角度。
3)冲激脉冲源设计
常规脉冲源设计重点考虑的参数有脉冲宽度、脉冲幅度等。对于波形一致性、频率稳定度、重频上限、拖尾等指标常常忽略,或重视程度不够。而这些指标恰恰是超宽带雷达用冲激脉冲源的关键性指标。
高稳定度、高功率脉冲源(发射机)的设计一直是超宽带雷达系统设计的关键性技术,脉冲源(发射机)的基本参数直接决定了雷达系统的最大作用距离和测量精度。波形参数、功率参数、稳定度参数需要综合考虑。
基于相关团队在冲激脉冲雷达试验系统方面长期积累的相关经验,试验表明,冲激脉冲雷达系统对于脉冲源输出脉冲波形、脉冲宽度、脉冲幅度、脉冲拖尾、波形一致性、重频、重频稳定度等指标反应灵敏,应该作为冲激脉冲雷达用脉冲源规范化指标的基本参数。
一般希望脉冲为近似单极脉冲。若完全单极,则零频分量大,辐射效率低;双极单周波,中频分量多,辐射效率高,但辐射微分效应使得回波信号复杂度增加,正负峰值幅度相等也使得回波相位信息提取困难。理论上讲,双高斯脉冲,含有一个很高幅度的正峰,前后又包括两个小幅度的负峰,且整个脉冲上正负电压积分面积为零,零频分量小,回波相位信息易于提取,是较为理想的源信号,但在工程上难于完全实现。一般希望做成近似双高斯型单极脉冲,除含有很高幅度的正峰外,希望还有小幅度的负峰来降低信号积分总面积,使得零频分量减小。
脉冲宽度越窄,频谱分量越高,但并非越窄越好,反而较低的HF/VHF/UHF频段较L、S频段目标透射、反隐身效果要好。所以一般采用纳秒、亚纳秒量级脉冲源,而且应考虑系统工作频段。
脉冲幅度越高,辐射能量越大,作用距离越远。但是脉冲拖尾、波形一致性这两个指标远比脉冲幅度重要,决定着系统能否正常、稳定地工作,以及探测和识别目标。这是因为系统往往对于脉冲波形质量比脉冲波形能量还要敏感。
一般脉冲源对于设计重频考虑较少,特别是气体开关脉冲源,有些甚至只能达到几十至几百赫兹,且重频稳定度差。而对于超宽带雷达,高的重频、高的重频稳定度对于系统相参至关重要,将大幅度提高系统信噪比和增加作用距离。
当前的冲激脉冲源主要利用开关状态的通断切换来完成脉冲波形的形成过程,因此开关的性能直接影响了脉冲波形的指标。开关的选择主要考虑以下因素。
(1)开关的功率容限。
开关的功率容限越大,其最大输出功率越容易做到更高。当开关的功率容限较低时,需要通过多个开关级联来实现更高的功率。
(2)开关的响应时间。
开关的响应时间快慢,直接决定了脉冲前沿陡峭度和脉冲宽度。当开关的响应时间过慢时,所形成的脉冲前沿越缓、脉宽越宽,需要利用脉冲锐化电路进一步进行整形。
(3)开关的稳定度。
开关的多次状态切换之间,必然存在随机抖动,从而直接影响脉冲的波形稳定度和时间稳定度。因此要设计高稳定度的脉冲发射机,开关的稳定度特性必须予以足够重视。
(4)开关的重频上限。
开关连续两次的状态切换之间,必然存在最小的恢复时间间隔,从而直接影响脉冲的重频上限。因此要设计高重频的脉冲发射机,开关的重频特性也需要考虑。
对于冲激脉冲发射机设计,除了功率指标,重点还需要考虑稳定度指标、重频特性,因此晶体管开关重新得到重视。在近距离冲激脉冲系统中,脉冲发射机普遍采用晶体管单管电路。
1.3.2.3 扫频信号动态仿真及处理
传统目标特性测量常用点频方法,即用单一频率的连续波模拟均匀平面波照射目标,并通过回波进行散射特性测量。随着微波测试技术与仪器的进步,宽频段扫频测量被广泛采用。扫频方式是在一定的带宽范围内,产生频率由低到高或由高到低连续变化的信号进行测量。通过将目标置于转台上,利用转台旋转对每个方位角进行宽带扫频测量,得到目标的散射信息。这种方法本质上是采用静态测量的方法,其缺点是不能反映目标的运动特性,难以逼真复现实际场景中目标散射特性的动态信息。
为实现扫频信号动态仿真,可以通过计算弹道目标飞行过程中的方位角,对不同方位角测量得到的静态散射数据进行高精度插值,从而得到不同姿态条件下的目标散射特性。然而,在对具有复杂运动和结构特性的空间目标进行测量时,采用插值的方法仍不够精确。因此,通过建立目标运动姿态模拟系统,实现目标运动特性的连续模拟,然后构建目标动态特性测量系统,可以开展扫频信号动态仿真。
1.基本原理
扫频方案通常利用矢量网络分析仪的扫频源发射出扫频信号,在测试带宽内对目标进行测量和分析,扫频测量的方法精度高、能实现一维成像,且包含了整个扫频宽度内各频点的目标特性信息,是目前雷达目标特性测量广泛采用的方法。
采用扫频信号进行目标静态测量时,通常将目标置于转台上,通过转台旋转对每个方位角进行宽带扫频测量。扫频信号由矢量网络分析仪内的扫频源产生至发射天线,根据接收天线接收的目标回波,可以得到目标的频域特性。然后,将频域数据通过IFFT处理得到时域,再经过噪声抑制、杂散信号抑制等,对得到的信号进行FFT变换回频域,从而得到宽频段内的RCS信息。典型扫频信号动态仿真测量系统如图1.39所示。
 
    图1.39 典型扫频信号动态仿真测量系统
扫频信号动态仿真测量流程如图1.40所示。当启动设备之后,通过设置初始化参数,分别获取定标体的RCS数据和暗室的背景数据。然后启动矢量网络分析仪发射扫频信号,通过控制转台得到不同角度下的目标散射信息,并记录测量的散射数据。当结束测量后,结合定标体的RCS和暗室的背景数据,对测量的目标散射信息进行分析。
 
    图1.40 扫频信号动态仿真测量流程
2.关键技术
1)扫频信号源技术
线性度是扫频信号频率随时间变化时的线性程度。线性度越高,在实际应用中的性能就会越好。线性度同时表征了扫频斜率的变化量。扫频斜率是线性扫频过程中单位时间的频率改变量。在理想的线性扫频过程中,扫频斜率是一个固定值。然而,受到器件的非线性和噪声影响,扫频斜率会发生变化造成扫频非线性。为了提高扫频信号的线性度,可以设计锁相环路进行扫频,系统能够自动校正非线性,达到很高的线性度。扫频范围是扫频过程中的频率变化范围,目前的元器件已能够产生数十吉赫兹的扫频范围。
当前,雷达辐射式仿真中所采用的扫频信号源基本通过矢量网络分析仪产生。随着微波技术的不断进步,矢量网络分析仪所产生的扫频信号的线性度、扫频范围均较为良好,能够满足辐射式仿真中对雷达目标特性进行测量的基本需求。
2)背景噪声抑制技术
在辐射式仿真中开展目标测量,必然会受到背景噪声的影响。由于目标RCS散射信号一般很小,特别是当要实现宽带RCS测量时,对整个测量系统的灵敏度提出很高的要求。此时,就需要对背景噪声进行处理,从而提高测量精度。对背景噪声进行抑制主要有三种方法:一是对测量数据进行多次平均,由于背景噪声的非相参性,在多次测量数据相加并平均后,噪声能够被有效降低而目标信息则被保留,从而降低背景噪声的影响。二是背景噪声对消。在开展测量之前,先对没有目标的背景进行一次测量,并将测量数据存储下来。然后将有目标的测量数据与第一次测量的背景数据进行相减,实现背景噪声的抑制。三是加时间窗。影响RCS测量精度的因素不仅仅是背景噪声,还有发射天线泄漏接收天线的直达信号。此时,将得到的宽带扫频数据变换到时域,收发天线的直达信号与目标回波将会分开,通过时域加窗能够将收发耦合部分的信号有效滤除。以目标位于11m附近为例,收发耦合信号的回波将位于20~30ns附近,而目标回波则位于70ns附近,通过加窗能消除位于20~30ns附近的直达信号。
3)目标动态测量技术
利用扫频体制通过静态测量的方式获取目标信息的相关技术已经比较成熟。基于静态信息,可以通过插值等方法等效得到目标的动态测量数据。但这种方法存在两个劣势,一是静态测量需要对位于转台上的目标进行不同角度下的宽带测量,若要实现高精度方位下的目标特性测量,需要设定较小的转台方位角间隔,从而大大增加了试验开展的工作量和数据处理的难度;二是通过插值的方法等效得到的目标测量数据,难以反映出复杂运动条件下的测量结果。因此,需要构建模拟目标运动特性的试验系统,结合扫频测量方法实现目标连续运动条件下的特性测量。基于该方法,不少学者已经针对弹道目标的微动特性开展了动态特性测量,其试验系统基本采用矢量网络分析仪产生扫频信号。但由于矢量网络分析仪通过对设定带宽内的所有频点扫描结束后,才能进行下一方位角的测量,所以测量系统信号等效脉冲重复频率(Pulse Repetition Frequency,PRF)较低,因此在对具有快速旋转等高动态的目标测量时,该方案仍需改进。
1.3.2.4 脉冲信号动态仿真及处理
脉冲信号具有一定的脉宽,在进行探测时存在盲区,脉宽越小,对应的盲区就越小。在盲区内的目标回波将会与雷达发射信号相互耦合,难以分离。由于室内场中目标与雷达天线之间的距离较小,目标将会处于常规雷达脉冲的探测盲区中,故常规雷达脉冲难以直接用于室内场辐射式仿真中的目标测量。冲激脉冲的脉宽一般在纳秒量级甚至更小,因而在室内场测量时不会面临上述问题。但是,冲激脉冲的能量难以提高,且在雷达对空间目标探测中未被广泛使用。
当前,空间目标运动特性日益复杂,并且绝对速度更高、机动能力更强、运动特性更加复杂。采用传统目标动态特性模拟及测量的方法,难以逼真复现脉冲雷达信号条件下的目标电磁特性。因此,在室内场辐射式仿真中引入常规雷达脉冲开展目标动态测量仿真、雷达对抗等试验,变得十分迫切。
1.工作原理
在构建辐射式仿真场景时,应尽量逼真模拟雷达信号样式、工作模式等。然而,雷达脉冲时长对应的传播距离通常远大于室内场微波暗室的尺寸,直接将雷达脉冲引入室内场进行辐射式仿真,信号还未发射完毕,目标回波将到达接收天线,使得雷达接收端面临严重收发互耦问题,如图1.41所示。
 
    图1.41 窄带信号收发互耦探测结果
2006年,王雪松教授提出间歇采样转发干扰,该方法通过使用DRFM对雷达信号进行低速率的“采样—转发—采样”交替处理,可以有效解决突防设备中的收发隔离问题。因此,利用间歇采样对脉冲雷达信号进行分段发射和接收,可以解决微波暗室内脉冲雷达信号收发遮挡与互耦的问题,如图1.42所示。
 
    图1.42 间歇收发实现收发信号分离示意图
2.关键技术
1)间歇收发技术
通过间歇收发对雷达脉冲信号进行切片处理,切片后的脉冲对应的传播距离小于微波暗室尺寸,从而实现“长”脉冲进入“小”暗室,如图1.43所示。以此为技术基础,构建目标运动特性模拟系统、雷达模拟系统和电磁环境模拟系统,有望在室内场以静代动、以近知远,实现室内场导弹突防、雷达探测辐射式仿真的新型工作模式。
 
    图1.43 间歇收发控制示意图
雷达辐射式仿真新型工作模式由雷达模拟器主控和同步接口设备从外部获取战情和指令,启动各个雷达模拟设备工作,电磁环境模拟设备产生复杂电磁环境信号,雷达模拟设备由资源调度分系统产生指令控制信号接收分系统产生发射信号,信号接收分系统接收干扰信号和回波模拟分系统的目标回波信号,将信号叠加后输出到信号处理分系统和数据记录设备,信号处理分系统和数据处理分系统对接收的回波信号进行信号处理和数据处理后将数据在雷达显控分系统中显示。
2)信息重构技术
间歇收发处理是对原始脉冲雷达信号的欠采样处理,需要进一步研究信息重构方法,消除欠采样带来的失真问题。针对该问题,可以结合间歇收发处理后的信号时频域特性及回波分段欠采样特性,进行回波处理与信息重构研究。刘晓斌等针对线性调频、相位编码等典型脉冲信号,分析了间歇收发处理的收发策略与回波特性,并基于压缩感知给出了目标回波重构方法,分析了间歇收发重构回波与完整脉冲回波的信息一致性,并通过仿真进行验证。针对半实物仿真系统在收发信号时难以得到理想矩形脉冲的问题,建立了在非理想条件下的梯形脉冲收发控制信号回波模型,并通过理论推导与仿真试验,验证了非理想间歇收发重构回波所得目标信息与理想方式所得结果一致。图1.44所示为构建的间歇收发脉冲雷达目标测量试验系统,通过该试验系统,在微波暗室中开展目标测量试验,验证了间歇收发处理及回波重构方法的有效性。
 
    图1.44 构建的间歇收发脉冲雷达目标测量试验系统
刘源等在此基础上,从间歇收发回波的频域特性出发,通过提取回波频谱主周期、傅里叶逆变换、能量补偿来重构信号。沈健君等针对宙斯盾雷达常用的脉内四载频信号,分析了室内场间歇收发处理后的回波特性,并提出了回波重构方法。谢艾伦等针对相位编码信号,提出了基于匹配滤波变换基的间歇收发回波重构方法,并验证了回波重构性能。利用间歇收发实现室内场脉冲信号收发解耦合,是将脉冲雷达信号引入微波暗室开展目标测量、雷达对抗模拟等的基础,也值得开展广泛而深入的研究。