



假设样本的特征向量服从正态分布,则这样的贝叶斯分类器就称为正态贝叶斯分类器或高斯贝叶斯分类器。更一般地,样本的特征并不是相互独立的。
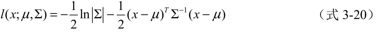
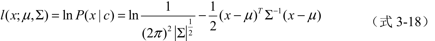
根据分类判决规则,在预测时需要寻找具有最大条件概率值的那个类,即最大化后验概率,等价于求每个类中 P ( x|c )最大的那个。对 P ( x|c )取对数,公式为:
对上式简化,公式为:
其中,
与样本所属类别无关,将其从判别函数中消去,不会影响分类结果。则判别函数进一步简化为:
其中, μ 和∑可根据样本数据得到:
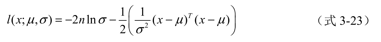
特别地,如果有协方差矩阵为对角阵 σ 2 I ,则样本特征相互独立,且方差相等,判别函数为:
其中,
,
。
思政元素
鸢尾在古代据说是治疗脾脏病痛的良药,也是骨折的外敷药。大多数人对“鸢尾花”这个名字会感到陌生,然而一说“爱丽丝”就很熟悉了,其实它们是同一种花卉的不同叫法而已。爱丽丝(Iris)是希腊语音译过来的名字,是“彩虹”的意思,意味着它的色彩绚烂,像天上的彩虹一样美丽。鸢尾花在中国常用以象征爱情和友谊,有鹏程万里、前途无量、明察秋毫之意。欧洲人认为它象征光明和自由。在古代埃及,鸢尾花是力量与雄辩的象征。此外,鸢尾还是属羊的人的生命之花,代表着使人生更美好。