



k近邻算法主要思想是对未标记样本的类别,由距离其最近的k个邻居投票来决定属于哪个类别。假设有一个已标记好的数据集,此时有一个未标记的数据样本,我们的任务是预测出这个数据样本所属的类别。kNN的原理是:计算待标记样本和数据集中每个样本的距离,取距离最近的k个样本。待标记的样本所属类别就由这k个距离最近的样本投票产生。
假设X_test为待标记的样本,X_train为已标记的数据集,算法原理描述如下:
(1)遍历X_train中的所有样本,计算每个样本与X_test的距离,并把距离保存在数组D[]中。
(2)对数组D[]进行排序,取距离最近的k个点,记为X_knn。
(3)在X_knn中统计每个类别的个数,即class0在X_knn中有几个样本;class1在X_knn中有几个样本等。
待标记样本的类别,就是在X_knn中样本个数最多的那个类别。
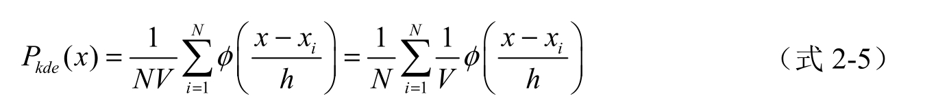
例如,在图2-1中,有两类不同的样本数据,分别用三角形和正方形表示,而中间的圆形表示的是待分类的数据,还不知道属于哪一类,我们用“?”标记。下面我们根据k近邻的思想为该圆形表示的样本进行分类。
图2-1 k近邻算法示例
如果 k =5,在圆形最近的样本点中,有4个正方形和1个三角形,根据少数从属于多数的原则,判定圆形这个待分类样本属于正方形表示的样本一类。
如果 k =11,在离圆形最近的样本中,有6个三角形和5个正方形,还是少数从属于多数的原则,判定圆形这个待分类样本属于三角形一类。
在机器学习算法中,当模型确定后,所有算法都将转化为对一个既定模型的参数学习,即参数估计。例如朴素贝叶斯就是一种参数估计方法,它是在概率密度函数形式已知的情况下,对部分未知参数进行求解。
非参数估计与参数估计不同,它是未对函数形式作出假设,直接从训练样本中估计出概率密度,然后对样本进行分类。最简单的非参数估计有直方图估计法、Parzen矩形窗估计及Parzen正态核估计方法。
对于随机变量
X
的一组抽样,即使
X
的值是连续的,我们也可以划分出若干宽度相同的区间,统计这组样本在各个区间的频率,并画出直方图。图2-2所示是均值为0,方差为4的正态分布直方图,其中,
x
为直方图个数,
f
(
x
)为概率密函数。我们对样本
X
分成
k
个等间隔区间,假设样本总数为
N
,每个区间内样本数为
q
i
,则每个区间的概率密度为
。因此,
x
处的概率密度估计可表示为:
在 x 处发生的概率为区间内样本数/(总的样本数/收集器的宽度)。直方图非参数密度估计的一般形式为:
其中, V 是包含 x 的容器(窗口)的宽度, N 是样例总数, k N 是 V 中的样例数。
当
x
为
d
维向量时,可以对每个维度的量都分成
m
个等间隔的区间,可以将整个空间分成
m
d
个小空间,每个空间大小为
,其中
volumn
i
为第
i
维分量每个区间大小。
图2-2 均值为0、方差为4的正态分布直方图
Parzen矩形窗是以目标样本 x 作为中心点,根据窗口大小 h ,判断样本落入以 x 为中心的窗口内的样本数,从而得到 x 的概率。Parzen矩形窗估计与直方图估计的区别是:Parzen矩形窗是根据目标样本点 x 确定矩形窗,直方图估计是先确定矩形窗,然后根据样本点找相应的矩形窗。假设 x ∈ R d 是 d 维的向量,每个区间是一个超立方体,它在每一维上的棱长都是h,则每个区域的体积为 V=h d ,若定义 d 维单位方窗函数,公式如下:
若
x
落入窗口内,函数
ϕ
((
u
1
,
u
2
,...,
u
d
)
T
)的取值为1,否则取值为0。若确定一个样本
x
i
是否落在以
x
为中心、
h
为棱长的超立方体内,可通过
的取值进行判断。样本
X
落在
x
为中心的超立方体的样本数可写成:
将其代入公式2-2,可得到任一点 x 的概率密度估计:
其中,
称为核函数,且满足:
K
(
x
,
x
i
)≥0且∫
K
(
x
,
x
i
)
dx
=0。当满足:
时,称为Parzen矩形窗。
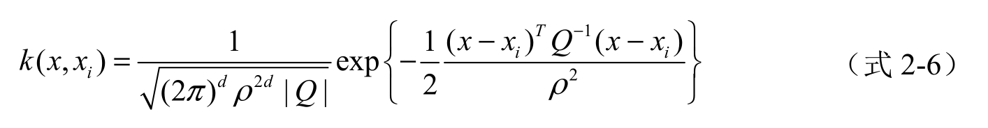
当 K ( x , x i )满足公式2-6时:
也就是以样本 x i 为均值,协方差矩阵∑= ρ 2 Q的正态分布,一维情况为:
对于多维数据,为了简便运算,可以假设各维数据相互独立。若随机变量 X 与 Y 独立,则 X 与 Y 不相关,即相关系数ρ=0。
假设 p ( x ′)是 x ′的密度函数,向量 x 落在区域 R 的概率为:
N 个向量中 k 个向量落在 R 内的概率为:
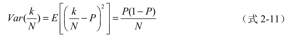
k / N 的均值和方差分别为:
当 N →∞时,频率与概率的取值趋于相等,公式为:
当 N 足够小时, p ( x )在 R 上是不变的,公式为:
公式2-12与公式2-13结合,结果为:
如何通过data-driven的方式估计参数呢?策略叫作triall-and-error,即不断试错,通过不断的迭代,根据误差反复调整参数使误差尽可能地降低,最终得到最优参数。