



在现实经济生活中,绝大多数成本都以混合成本的形态存在。为了满足企业生产经营管理中计划和控制活动的需要,必须对混合成本进行分解。混合成本的分解是指运用一定的方法估计成本与业务量之间的关系,并建立相应的成本函数模型。如果尽可能对混合成本的实际性态进行真实的数学描述,这样得出的方程式不仅种类繁多复杂,而且往往需要花费很多时间和精力,有时甚至违背了成本—效益原则。如果将混合成本发生的原始凭证逐项逐次地分解,虽然可以得到最为准确的结果,但工作量较大,从而为此付出的分解成本也较大。因此,在管理会计实务中,一般是先将混合成本按其性质相近进行分类汇总,然后以某类成本在各种不同的业务量水平下采用适当的方法将其中的固定成本和变动成本分解出来,这样做既可以减少分解成本,又可以得到一个相对准确的结果。
混合成本的分解方法一般包括历史成本分析法(Historical Cost Analysis Method)、工业工程法(Engineering Analysis Method)、契约检查法(Contract Confirm Method)和账户分析法(Account Classification Method)四类。
历史成本分析法又称为数学分解法,是指根据过去一定时期内的业务量与成本的历史资料,采用适当的数学方法对混合成本加以分解的一种方法。常用的历史成本分析法有高低点法(High-low Method)、散布图法(Scatter Diagram Method)和回归直线法(Regression Line Method)等三种。
1.高低点法
高低点法是指在某一相关范围内,根据历史资料,通过最高业务量(高点)的混合成本与最低业务量(低点)的混合成本及其业务量之差,按照混合成本的数学模型Y=a+bX,先计算单位变动成本,再代入高点或低点的混合成本公式,以达到分解混合成本中的固定成本和变动成本所占数额的一种方法。这种方法主要适用于生产经营活动比较正常,增减变动趋势平稳的混合成本的分解。
【实例2.6】 皖巢公司2013年1~6月混合成本维修费(Y)与业务量机器工时(X)的资料如表2.3所示。要求:采用高低点法对混合成本维修费进行习性分析。
表2.3 皖巢公司2013年1~6月混合成本维修费与业务量机器工时资料
(1)根据已知历史资料,找出维修费最高点(X 高 ,Y 高 )和最低点(X 低 ,Y 低 )。
由表2.3资料可以得出最高点(9 000,120)和最低点(4 000,85)。
(2)计算维修费平均单位变动成本为:
(3)计算维修费的固定成本为:
a=Y 高 -bX 高 =120-0.007×9 000=57(元)
或
a=Y 低 -bX 低 =85-0.007×4 000=57(元)
(4)则该项混合成本运输费的习性模型为:Y=57+0.007X
高低点法计算简单,易于应用。但由于各点与成本直线距离不等,所选最高点和最低点具有偶然性,不能代表有关资料的变化关系,计算误差较大,所以采用此方法选用的历史成本数据,应确能代表该项经济业务活动的正常情况,不得含有任何不正常状态的成本。
2.散布图法
散布图法又称为分布图法、直观法(Visual-fit Method)或目测法,是指将相关范围内的业务量(X)以及与之相应的混合成本(Y)的历史数据,悉数标在坐标纸上,通过目测画出一条尽可能与上下两侧各点距离相等的直线,据此推算出固定成本和单位变动成本的一种方法。这种方法比较形象直观,当业务量(X)为0时,直线与混合成本(Y轴)的交点即为固定成本总额(a),直线的斜率即为单位变动成本(b);但由于靠目测决定直线,容易造成误差,因此运用时需根据实际情况同其他方法结合使用。
【实例2.7】 承实例2.6资料。要求:采用散布图法对混合成本维修费进行习性分析。
(1)将6个月的维修费历史资料形成的相应坐标点分别标在坐标纸上,形成散布图,如图2.12所示。
(2)通过目测,画一条直线,尽可能使各坐标点距离此直线相等。
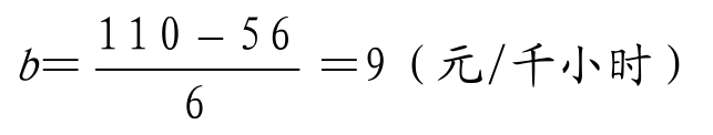
(3)读出直线截距资料a=56(元)。
(4)在直线上任取一点(6,110),则
图2.12 建立混合成本维修费习性模型的散布图
(5)混合成本维修费习性模型为:Y=56+9X
散布图法能全面考虑已知的所有历史成本数据,排除了高低两点带来的偶然性,因而计算结果较高低点法精确;同时,以图示反映成本习性更为直观和易于掌握。但由于目测画出的反映成本变动趋势的直线,仍带有一定程度的主观随意性,计算结果不是很精确。
3.回归直线法
回归直线法是指根据一定期间业务量(X)与相应混合成本(Y)之间的历史资料,利用数理统计方法计算出最能反映业务量(X)与混合成本(Y)之间的回归直线,从而确定混合成本中的固定成本和变动成本的一种方法。这种方法的基本原理是先将过去某一期间的有关混合成本的历史资料,逐一在坐标图上标明,就形成了若干个成本散布点,然后确定一条直线,使所有成本散布点到该直线距离误差平方和最小。这条直线在数理统计上称为回归直线(Y=a+bX)或回归方程,是最能反映业务量与相应的混合成本之间的变动趋势。由于这种方法使所有成本散布点距离回归直线的误差平方和最小,因而又称“最小平方法(Least-squares Method)”。
回归直线法分解混合成本中的固定成本(a)和单位变动成本(b)的计算公式如下。
必须指出的是,采用回归直线法对混合成本进行习性分析的前提条件是混合成本和业务量之间必须具有线性关系,否则研究结果没有实际意义,因此,在采用这种方法之前,需要对线性的相关性(Relevancy)做出检验。
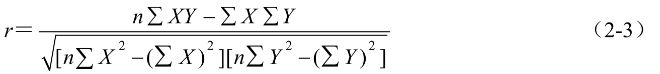
在数理统计上,线性关系通常是用相关系数(r)来反映。相关系数(r)是指两个变量(X)和(Y)之间相关程度及其方向的系数。其计算公式为:
相关系数(r)的取值范围在0与±1之间。当r=0时,说明两个变量(X)和(Y)之间不存在相关关系;当r=1时,说明两个变量(X)和(Y)之间存在完全正相关关系;当r=-1时,说明两个变量(X)和(Y)之间存在完全负相关关系;当0<∣r∣<1时,∣r∣的数值反映两个变量(X)和(Y)之间相关程度,数量越大,相关程度越大;数量越小,相关程度越小。一般来说,∣r∣>0.8时,两个变量(X)和(Y)之间的关系,可以采用回归直线法分析。
【实例2.8】 承实例2.6资料。要求:采用回归直线法对混合成本维修费进行习性分析。
(1)对已知资料进行加工、计算,并列表如表2.4所示。
表2.4 回归直线法加工计算表
(2)将加工计算的表2.4资料代入式(2-3),得
表明混合成本维修费与业务量机器工时之间存在线性相关性。
(3)将加工计算的表2.4资料代入式(2-1)、式(2-2),得:
(4)此项混合成本维修费习性分析模型为:Y=65.90+6.14X
回归直线法计算结果较为精确,但计算工作量大,如果能够借助电子计算机的回归分析程序计算回归系数,那么可以适用于对增减变动趋势较大的混合成本分解。
工业工程法,也称为工程研究法或技术测定法,是指运用工业工程的研究方法,测定正常生产流程中投入—产出之间的规律性联系,以便逐项研究决定成本高低的每个因素,从而在此基础上直接估算固定成本和单位变动成本的一种成本分解方法。
工业工程是现代科学管理的一个重要组成部分,是随着现代化大生产的发展而逐步形成的,它所研究的范围涉及整个企业的经营管理。它以降低成本为目的,综合运用数学、物理学、社会科学以及工程学等方面的专门知识和技术,研究人、原材料和机器设备的综合系统的设计、改进和实施方案,即对所有生产活动和辅助生产活动进行详细分析,寻求改进工作方法的途径,找出最经济、最有效的程序和方法,使产品制造、工作效率和资源利用达到最优效果。
运用工业工程法分解成本的一般步骤为。
(1)选择需要研究的成本项目。
(2)观察现行方法并记录投入的成本和产出的数量。
(3)进行全面的科学分析,研究出最实用、最有效、最经济的新的工作方法。
(4)把新的方法确定为标准的方法,并测定新方法的每项投入成本,凡与业务量有关的部分归集为单位变动成本,凡与业务量无关的部分归集为固定成本。
【实例2.9】 皖巢公司铸造车间的燃料主要用于铸造工段的熔炉,具体分为点火(耗用木柴和焦炭)和熔化铁水(耗用焦炭)两项操作。经过对这两项操作进行观测和技术测定,寻找出的最佳操作方法为:每次点火要使用木柴0.1千克、焦炭1.1千克,熔化1千克铁水要使用焦炭0.13千克;每个工作日点火一次,全月工作22天。已知木柴成本为200元/千克,焦炭成本为380元/千克。要求:采用工业工程法对混合成本燃料费进行习性分析。
根据上述资料,
点火燃料费属于固定成本;熔化铁水所用燃料费与产量相联系,属于变动成本。
设每月燃料费总成本为Y元,每月铸件产量为X千克。
每日燃料费固定成本=0.1×200+1.1×380=438(元)
每月燃料费固定成本=438×22=9 636(元)
每千克铸件燃料费变动成本=0.13×380=49.40(元)
因此,此项混合成本燃料费习性分析模型为:Y=9 636+49.40X
工业工程法适用于任何可以从客观立场进行观察的投入—产出过程,例如直接材料、直接人工等成本,也可以用于办公室、装运、仓库等非制造成本的测定。对于不能直接把成本归属于特定投入和产出的,或者不能单独进行观察的联合过程,如各种间接成本,则不能使用这种方法。
工业工程法,可以在没有历史成本数据、历史成本数据不可靠,或者需要对历史成本分析法的结论进行验证的情况下使用。尤其是在建立标准成本和制定预算时,使用工业工程法比历史成本分析法更加科学。
契约检查法又称为合同认定法,是指根据企业与其他企业签订的契约或合同,以及企业内部既定的各种管理与核算制度等明确规定的支付费用的方法,估算固定成本和单位变动成本的一种成本分解方法。
【实例2.10】 皖巢公司与某供电公司签订的供电合同中规定:该公司的变压器维持费每月为5 000元,每千瓦时电费0.80元,用电量额度每月20 000千瓦时,超额用电量按正常电费的2倍计价。已知该公司每件产品平均用电量3千瓦时,照明用电量平均每月2 000千瓦时。要求:采用契约检查法对混合成本电费进行习性分析。
根据上述资料,
设每月电费为Y元,每月产量为X件。
(1)该公司每月产品产量在6 000件以内时,
电费习性分析模型为:
(2)该公司每月产品产量在6 000件以上时,
电费习性分析模型为:
采用契约检查法分解成本也是不依赖于历史成本数据,而是依据有关的正式文件。它适用于有明确计算办法的各项混合成本的分解,如电费、水费、电话费、燃气费、折旧费、专用工具费用分摊费、工资费用支付等。
账户分析法又称为账户分类法,是指根据各有关成本(费用)账户(包括明细账户)的本期发生额的性质,结合其与业务量的依存关系,通过直接判断或比例分配对其进行分解的一种方法。
由于每个账户所记录的成本性质不同,或者成本估计要求的准确性不同,运用账户分析法分解成本的具体做法也就有所不同。
(1)近似分类法。如果某个账户所记录的成本性质有比较接近固定成本的项目,应当将其归集为固定成本;如果某个账户所记录的成本性质有比较接近变动成本的项目,应当归集为变动成本。
(2)比例分配法。如果某个账户所记录的成本性质有不宜简单地归集为固定成本或变动成本的项目,应当通过一定的比例将其分解成固定成本和变动成本两部分。
【实例2.11】 皖巢公司的某一商店2013年5月成本费用发生额如表2.5所示。要求采用账户分析法对此成本电费进行习性分析。
表2.5 皖巢公司某商店2013年5月成本费用账户分析表
根据上述资料,对每个成本费用项目进行研究,根据固定成本和变动成本的定义及其特点,并结合该公司具体情况判断它们属于哪一类成本。经过研究分析,商品成本和利息与商店业务量关系密切,基本上属于变动成本;职工福利费、房地产经营租赁费、保险费、修理费、水电费和折旧费等基本上与业务量无关,可以作为固定成本。但是,职工工资、广告费和易耗品等与典型的两种成本性态差别较大,不能简单地归集为固定成本或变动成本,应当使用工业工程法、契约检查法或历史成本分析法寻找一个比例,将其分为固定成本和变动成本两部分。
假设易耗品为包装用品,使用工业工程法进行分析,其总成本的习性分析模型为:
Y=700+0.003X
该商店正常业务量为销售额100 000元,则正常业务量的易耗品成本为:
Y=700+0.003×100 000=1 000(元),其中固定成本比重=700÷1 000=70%,变动成本比重=1-70%=30%。
因此,2013年5月该商店易耗品的固定成本=800×70%=560(元),变动成本=800×30%=240(元)
账户分析法取决于对某一账户成本性态的主观判断,主要适用于特定期间总成本的分析。
需要指出的是,上述各种成本分解的方法,并不是完全独立的。高低点法、散布图法和回归直线法都属于历史成本分析的方法,它们仅限于有历史成本资料数据的情况,而新产品并不具有足够的历史数据。工业工程法可能是最完备的方法,即可以用于研究各种成本性态,但它也不是完全独立的,在进入研究细节之后需要使用其他技术方法作为工具。契约检查法只能用于明确规定了计费方法的项目,而许多项目并不是这样的。账户分析法是一种比较粗略的分析方法,在判定某项成本性态时还要借助契约检查法、工业工程法或历史成本分析法。因此,不能指望使用一种方法解决全部成本分解问题,应当把这些方法看成一个总体,根据不同对象选择适用的方法,并尽可能使用其他方法进行补充或印证。如果不同方法得出的结果有较大差距,则需要判断哪种方法更适合该对象。成本分解实际上是一个探索特定成本性态的“研究”过程,而不仅仅是一个简单的计算过程。
需要说明的是,固定成本与变动成本的划分是相对的,是带有某种程度的假定性,很难计算准确。所以在相关范围内,如果混合成本数额变动不大,也可全部视为固定成本处理,可不必进行分解,以便简化计算工作。