



正如前文所述,根据经济安全研究的诸多特点,在总结前人经验的基础上,顾海兵(2011)从哲学和系统论的角度提出了经济安全研究的三个层次,即大系统推断法、本系统分析法、子系统综合法。本报告将沿用这一分类法。
为了使经济安全的研究能够做到不重不漏,深入考察,需要从系统的角度来考虑,以使其研究具有逻辑性。系统是有结构与层次的,因此经济安全问题的研究也有相应的结构与层次。
第一个层次,即大系统推断法。所谓大系统推断法是指将经济安全放在国家安全的大背景下推断。从前述的经济安全研究历史以及当前的研究现状可以看到,这一点不仅仅是从逻辑上得到的,还是经济安全研究的经验总结与拓展。这种层次的研究方法有两种含义:其一,是说在研究经济安全问题时,要注意到经济安全问题是更大范围的国家安全问题的子问题,撇开国家安全的大背景单独研究经济安全,会使得经济安全的研究“只见树木不见森林”;其二,国家安全是由国家经济安全、国家政治安全、国家文化安全等因素组成的。不论采取何种组合形式,只要能通过研究明确国家安全的总体情况,以及国家政治安全、国家文化安全的情况,就能推断出国家经济安全的情况。
第二个层次,即本系统分析法。所谓本系统分析法就是从经济安全这个系统本身来研究经济安全。根据经济安全研究的文献综述,我们知道,不同国家、不同时代下的经济安全的内涵都有差异,但总结起来说,经济安全的内涵都离不开“抵御外部冲击,保持自身经济平稳增长”。因此,按照这个逻辑,对经济安全的具体分析应当从两方面入手:一方面,应当分析能够显著影响中国经济外部冲击的情况,即明确条件外因;另一方面,应当分析我国抵御外部冲击、维持自身稳定的能力,即明确能力内因。我们把前者叫做“经济安全条件”,把后者叫做“经济安全能力”。两者的有机组合即构成了经济安全这个总体。缺少了任何一方面的研究在逻辑上都是不完整的。同时我们还知道,经济系统要运行,需要几个要素:其一,经济系统离不开生产,要生产就必须要有资源、原料的稳定供给。如果经济系统运行所需的原料、资源供给存在困难,那么势必会影响到经济的整体情况。这一点也是日本对经济安全问题的首要考虑因素。原料、资源可以来自国内也可以来自国外,故保证战略资源的安全涉及条件外因以及能力内因。其二,现代经济系统可以分为实体经济与虚拟经济。按照经济学的理论来看,实体经济是虚拟经济的基础,是经济系统的“骨骼”,其重要程度不言而喻。实体经济的运行状况直接决定了经济增速与经济质量,一旦实体经济领域出现问题,将必然引起经济安全程度的下降。故在考虑经济安全问题时需要着重考虑实体经济安全的问题。其三,虚拟经济作为现代经济系统的“血液”,在资源分配、促进实体经济发展等方面有着极其重要的作用。因为经济安全是国家层面的问题,所以虚拟经济从国家层面来看,最重要的是财政金融。财政金融的状况可以从货币上来表征整体经济的状况。同时,随着全球化的推进,世界各国在跨国市场的联系下逐渐形成了一个经济整体。可以说,当前的世界各国都是开放经济体,只是开放的程度不一样而已。因此,“战略资源、实体经济、财政金融”这三个因素遭受外部冲击的大小、抵御冲击的能力,就构成了我国经济安全条件的要素。对于经济安全能力来说,我们还需要考虑宏观经济运行的稳定性,因为对于完整的经济体系来说,其自身稳定运行的能力是经济体受到外部因素的冲击后抵御冲击不可或缺的一个方面,故而也是经济安全的重要决定因素。
第三个层次,即子系统综合法。所谓子系统综合法是对国家经济安全进行分解,即将国家经济安全这一系统分解为各种子系统,对所有这些子系统的分析就构成了对国家经济安全的分析。子系统的划分可以按照如下四种方式进行。
首先,从横向对外的空间角度来看。一个国家的经济,向外看联系的是世界经济,每时每刻都与世界上其他国家发生着经贸往来。有的是实体产业方面的,有的是战略资源方面的,有的是财政金融方面的。故我们可以通过分析中国与世界其他国家之间这种经贸往来研究其对经济安全的影响。由于中国同其他国家的关系,主要是从其他国家对我国的冲击来看的,故这一视角更多的涉及经济安全条件的分析。本系列报告是连续年份的经济安全研究报告,2015年的分析主题就采用这一基于国别的子系统划分方法(具体如何划分详见下一小节)。
其次,从横向对内的空间角度来看。一个国家的经济对内来说,是由各个地区的经济所组成的。一个国家地理上的各个区域,是这个国家微观经济、中观经济、宏观经济的现实承载体,各个区域的经济状况就构成了这个国家整体的经济状况。因此,可以通过具体分析各经济区的状况来得到一国整体经济安全能力的状况。
再次,从纵向的产业空间角度来看。我们可以将经济安全问题分解成不同产业的安全问题。若一个国家的经济由A产业、B产业……N产业构成,那么这些产业各自的安全就构成了经济安全这一整体。
最后,考虑到现实的经济过程都是动态过程,是一个带有时间变量的过程,因此在研究经济安全问题时,根据经济安全问题持续时间的长短可以将其分为年度经济安全问题、季度经济安全问题、月度经济安全问题等。
综上所述,对于经济安全问题的研究可以从上述三个层次入手,层层解构地将问题的研究推向深入(参见表1—1)。
表1—1 经济安全研究的层次表
 
    资料来源:根据前述分析结合参考文献整理所得。
根据不同的研究目的,可以采用不同的研究层次来具体组织研究过程,但经济安全研究的本系统是核心。不论采取的是国别子系统、区域子系统还是时间子系统,最后深入的分析,总要归结到核心上来。为了对经济安全进行监测与预警,在明确了上述的研究层次的基础上,还需要确定经济安全研究本系统每一个领域中具体的指标体系以及相应的权重。
    本研究是《中国经济安全年度报告》系列研究中2015年的部分。在这样一个连续性的研究中,我们直接采用了上年报告的成果。
     对于每一个重点领域,我们需要采用具体指标,数量化、具体化地分析该领域的安全情况,对于指标的确定方法,与上年的报告一致,我们遵循了以下步骤:
    对于每一个重点领域,我们需要采用具体指标,数量化、具体化地分析该领域的安全情况,对于指标的确定方法,与上年的报告一致,我们遵循了以下步骤:
   
第一,根据文献初筛指标。我们参考了经济安全领域的文献及著作,确定了指标的基本选择范围。同时,考虑到经济安全的内涵具有很强的时代性,因此,我们选择的文献起始时间为2006年。
第二,根据社会、学术界认知排名指标。我们根据各指标在知网、百度上的搜索频率,确定了社会及学术界对其的认知度,认知度越高,说明该指标越重要,这是指标确定的逻辑之一。
第三,根据文献频率进一步筛选指标。我们统计了2006—2010年经济安全文献中选定指标的出现频率,为确定指标选择提供了另外一种逻辑。兼顾指标的可得性等一系列现实的制约,课题组最终选择了一共18个指标来对我国的经济安全状况进行监测与预警。
第四,指标权重的确定。通过对经济安全领域中的若干专家进行问卷调查的方法确定了入选指标的权重。最终结果如表1—2所示。
表1—2 国家经济安全研究指标体系表
 
   续前表
 
    资料来源:顾海兵、孙挺、陈芳芳等:《中国经济安全年度报告:监测预警2014》,北京,中国人民大学出版社,2014。
在完成上述研究过程后,根据经济安全监测与预警的需要,还需要将指标值转化到对经济安全程度的判断上来。这里又分为四个步骤:
其一,确定每一个指标的安全区间,换句话说,是要确定每一个指标的警限值。具体的内容将在后续相应的章节详细说明。
其二,在第一步的基础上,对每一个指标利用插值法进行安全评分。根据警限值的不同又可分为下述两种评分标准。
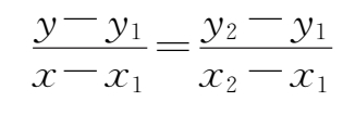
第一评分计算法适用于有上警限值和下警限值的指标,如国债负担率。设此类指标观察值为 x ,安全得分为 y ,其临近左侧警限值为 x 1 ,对应的安全得分为 y 1 ;临近右侧警限值为 x 2 ,对应安全得分为 y 2 ,则该指标最终的安全评分的公式为
 
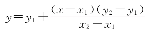
   解上式可得
 
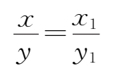
   第二种评分计算法适用于只有单边警限值的指标,如国际竞争力指数。设此类指标观察值为 x ,安全得分为 y ,某一侧的警限值为 x 1 ,对应的安全得分为 y 1 ,则该指标最终安全评分的计算公式为
 
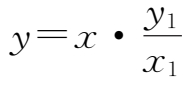
   解上式有
 
   其三,将各指标按照得分乘以相应的权数,得到相应领域的安全得分。按照表1—2所示的权重逐层汇总得到经济安全条件得分与经济安全能力得分。
其四,按照前述方法论部分,将经济安全条件与经济安全能力两方面的得分综合起来得到最终经济安全的总得分。因经济安全条件与经济安全能力之间存在一定的相关关系,故在此选择乘法的形式综合两者,公式如下所示:
 
   至此,我们求出了经济安全得分,最后将经济安全得分与经济安全类型联系起来,便可以对经济安全状况进行预警。经济安全类型判断表如表1—3所示。
表1—3 经济安全类型判断表
 
    资料来源:《中国经济安全年度报告:监测预警2014》。