



本章从理论维度梳理分析国家经济安全研究脉络、研究态势,并系统提出本报告的研究方法.在理论梳理环节中,本章在往年报告的基础上,首次从时间的维度梳理我国国家经济安全的研究脉络,分析了我国国家经济安全研究进展历程,并从空间的维度梳理国家经济安全的研究领域,对国家经济安全的影响因素及影响机制、国家经济安全保障策略、国家经济安全的方法论等进行研究.本章对历年来国外经济安全研究情况进行梳理,并从“道”和“术”两个层面总结了国外国家经济安全理论和策略研究情况,并分析其研究特点.在方法梳理环节中,本章对国家经济安全指标进行了修订,研究了国家经济安全监测方法,并根据不同的指标特性确定适用预警方法.
《中国经济安全年度报告》自2014年出版以来,受到学界和实务界的重视.国家经济安全的研究工作是在科学方法论指导下进行的逻辑过程,本章以梳理和分析“国家经济安全”研究的理论和方法为主要内容,力求在开篇回应国家经济安全的“研究对象是什么?研究逻辑是什么?研究方法是什么?”等问题,从而为整个研究奠定方法论基础.在承续往年研究思路和研究方法的基础上,本章按照“时空共话、内外结合、道术统一”的研究和写作思路,以求将最新的研究成果以更加富有逻辑性的方式呈现给各位读者.在理论的挖掘和梳理上,与往年相比,首次从时间和空间两个维度来梳理国内国家经济安全的研究脉络和重点领域,并增加了国家经济安全国外理论及策略研究情况,特别是分析了国家经济安全思想特点并增加了21世纪以来美国国家经济安全策略的演化内容.在方法的挖掘和分析上,系统研究了本报告涉及的每一类指标的适用预测方法,并对现有预测方法进行系统性归纳.
我国国家经济安全的研究起步于20世纪90年代,这是我国对外开放程度的提高在意识形态上的必然反映,集中体现了国内学界在全球化大背景下维护国家经济利益的理论思考.本报告首先从时间和空间两个维度来梳理20年来国内国家经济安全的研究状况.
我国国家经济安全研究已有20余年的历史,1994年中国社科院赵英出版了《中国经济面临的危险——国家经济安全论》一书,该书是我国较早系统研究国家经济安全问题的专著.1996年3月15日,《金融博览》杂志刊载了署名为山石的《中国经济安全的几个主要问题》,该文在较短的篇幅中列举了中国经济安全面临的贸易、粮食、能源和金融等四大问题,是中国学者早期关注国家经济安全问题的文献.1996年10月23日《世界知识》杂志刊登了赵英的《国家经济安全浅议》一文,该文较早地对国家经济安全的概念进行了界定,虽然国家经济安全的概念学术界至今仍然争论不休,但这篇文章的发表无疑标志着中国学者开始试图从理论层面破解国家经济安全问题.1997年2月20日,《科学决策》刊物刊载了中国人民大学顾海兵教授的《当前中国经济安全度的估计》一文,该文是国内学界率先以定量研究的视角来分析国家经济安全问题,该文所采用的指标分析法和经济安全评级思想一直为学界所沿用.亚洲金融危机爆发后,国内学界对于国家经济安全的研究立即升温,众多学者关注外资和全球化对于我国经济安全的影响,由于当时我国金融市场开放程度较低,对于金融开放安全的研究在那时并没有得到学界的重视.在这一阶段,国内学界开始重视借鉴国外经济安全研究成果,《经济研究参考》《太平洋学报》等杂志连续刊登国外经济安全的研究论文.1999年中国社会科学院赵英出版了专著《超越危机——国家经济安全的监测预警》,系统总结了当时国内国家经济安全研究的最新成果.
2000年我国加入WTO (World Trade Organization,世界贸易组织,简称WTO,世贸组织)后,国内学界对于国家经济安全问题的研究更加深入,主要表现在从对国家经济安全的整体抽象研究逐渐过渡到对国家经济安全的具体研究,如张治河等(2001)、徐根兴(2001)、尹文书(2003)等对国民经济重要产业安全开展的研究,马林和雷家骕(2002)、雷家骕(2001b)(2006b)、吴炯(2002)、曹鉴燎(2002)等对国家经济安全的制度研究,魏拴成(2000)、王永和江耀生(2002)等对国家经济安全影响因素的研究,余根钱(2004)等对国家经济安全指标体系的研究.2006年,中国人民大学顾海兵教授回顾总结前一时期国家经济研究成果,撰写了《中国经济安全的范式研究》一文,系统阐述了国家经济安全的研究范式,提出了从时间导向、空间导向、问题导向、主体导向和外生导向等多维度研究国家经济安全的视角,并系统提出了构建“中国经济安全监测评估体系”“中国经济安全预警体系”的政策建议.同年,顾海兵教授成功开发了“国家经济安全监测评估系统”.2007年,中国人民大学顾海兵教授等发表了《中国经济安全分析:内涵与特征》,首次将国家经济安全界定为“通过加强自身机制的建设,使我国经济具备抵御外来风险冲击的能力,以保证我国的经济在面临外在因素冲击时能继续稳定运行、健康发展”.同年,顾海兵教授又开发出“中国经济安全预警的指标系统”.这些研究成果的推出标志着国家经济安全研究从理论探讨走向实践思考.
2008年国际金融危机爆发后,国家经济安全问题凸显,一些学者开始研究国际金融危机对我国的影响和应对策略,如江涌(2009)、李恒光(2009)从总结金融危机教训的角度研究国家经济安全,但反思金融危机的论文从2010年后逐渐减少,目前(截至2017年10月27日)中国知网上查不到2010年后以金融危机为题目的相关文献.这一阶段,从政府审计的视角研究国家经济安全的文献迅速增加,仅《审计研究》在2009年一年就刊载此类论文5篇,审计视角的国家经济安全文献激增既体现了审计部门对于国家经济安全的高度重视,更反映出了通过加强自身机制的建设来维护国家经济安全的客观要求.2009年,中国人民大学顾海兵教授发表了《保障国家经济安全的对策研究——政府机构视角》一文,更加系统地从政府职能层面阐述保障经济安全的政策建议和体制机制改革方案.随着国际资本大量流入,外资并购问题成为这一阶段国家经济安全研究的另一热点,柴媛媛(2008)从法律规制的视角来分析外资并购的国家经济安全,吕红梅(2009)分析了外资并购对国家经济安全的影响,2010年,中国人民大学顾海兵教授发表《基于国家经济安全的国际产业转移》一文,深入分析了国际产业转移的规律,系统阐释了国际产业转移规制措施.这一阶段,国家经济安全研究出现泛化趋势,学界出现了“把国家经济安全当做一个筐,什么都往里装”的现象,为此中国人民大学顾海兵教授等于2011年相继发表《国家经济安全研究的方法论问题》《国家经济安全研究的五大误区》等文章,深入阐释了国家经济研究的原则性问题.
2012年后,国家经济安全研究呈现研究成果减少与研究领域增加并存的现象,中国知网收录的有关“国家经济安全”的论文数量在2012年后逐渐减少,但研究涉及高端服务业、海外通道、互联网、区域合作、生态环境、语言、国有企业等全新领域.在这一阶段,中国人民大学顾海兵教授(2012)综合学界研究成果简化提炼指标体系,形成以经济安全条件和经济安全能力为主线,以“财政金融、实体产业、战略资源和宏观稳定”为关键领域的三级18项指标体系,这套指标系统后随着研究的需要和经济形势的变化又进行了微调修正.顾海兵教授及其研究团队以此为基础,从2014年开始连续出版《经济安全年度报告》,该系列报告运用专家调查法和专家文献法确定指标权重及安全区间,在明确指标具体数值的基础上运用“插值法”计算安全得分,以此对国家经济安全进行年度监测,同时综合运用固定增长率法、一阶差分法、移动平均法、回归分析法、专家调查法等多种方法预测经济走势,取得了显著的效果.
总体来说,国内有关“国家经济安全”的研究呈现“应急”色彩和“应激”特征,即“国家经济安全”研究伴随国际经济危机爆发立即升温,危机结束后,研究也会随即趋冷.伴随日益复杂的经济安全形势,对“国家经济安全”开展跟踪性研究和前瞻性思考迫在眉睫.
目前,与国家经济安全相关的研究内容庞杂,中国知网数据库中文献题目含有“中国经济安全”或“国家经济安全”的达到1 073篇,出现频率在4次以上(含4次)的关键词达到48个,研究内容涉及50多个学科,全面列举所有研究领域既无必要也无价值,故本报告重点梳理经济领域特别是宏观经济领域中有关国家经济安全研究的相关文献,在此基础上分析国家经济安全的研究重点、热点及焦点.按照这一思路,经梳理,目前国内国家经济安全的研究大致可分为三个领域:
第一,国家经济安全的影响因素及影响机制研究.这一领域是国家经济安全研究的热点.本课题组通过知网分析发现了一个有趣的现象,即这类文献的题目多为“影响因素+与+国家经济安全或中国经济安全”的形式,这种将影响因素与国家经济安全并立的命题方式在一定程度上反映了国内众多学者还未将“国家经济安全”作为研究母体,因此就“国家经济安全”本身出发的理论逻辑还有待进一步剖析.
仅就国家经济安全的影响因素及机制而言,国内学界对于全球化的关注超出了其他任何影响因素,外交学院樊莹(1998)较早地关注全球化对于国家经济安全的影响,她在《经济全球化与国家经济安全》一文中提出“经济全球化对于国家经济安全是把双刃剑”,雷家骕(2001a)分析了国际经济关系对国家经济安全影响的传导机制,张士铨(2001)提出在经济全球化的背景下要考虑国内问题与外来威胁的特殊结合方式,可以说在2000年前后中国“入世”背景下,国内学者意识到深度融入经济全球化将对国家经济安全产生重大影响,但囿于实践的广度和理论的深度,除了更多发出“狼来了”的警示,很难更加深入地、具体地分析全球化对于国家经济安全的影响.随着国际经济安全形势的变化,特别是中国经济地位的上升,国内学者关于全球化对于国家经济安全的影响研究也相应地发生变化,如王巍(2007)认为“中国的经济安全必须在全球化当中才能安全.如果经济不全球化,它根本不可能安全”.一些学者认为随着全球化的深入,我国已嵌入“国际产业链条”,中国经济很难独善其身,国家经济安全对于中国具有更加重要的意义.
外资对于国家经济安全的影响是国内学者关注的另一热点.自1997年以来,每一年“中国知网”都收录有关外资影响国家经济安全的文献,李海舰(1997)在国内较早地关注外资对于国家经济安全的影响,并提出了监控国家经济安全的指标设计方案,叶辅靖(2004)提出应重点关注外资对制造业安全的影响,赵蓓文(2006)系统分析了外资影响国家经济安全的传导机制,提出“核心+外围”两级传导机制,苑文博、梁一新(2012)提出在全面评估外资并购对我国国家经济安全影响的基础上,构建和完善维护我国经济安全的法律体系.这一类文献的研究思路基本可概括为“分析负面影响+提出应对策略”,但由于外资对于国家经济安全影响的复杂性,其对国家经济安全的影响,国内学界并没有达成共识,如王志乐(2006)反对限制外资并购,提出“我国具有整合跨国公司资源的能力”,张文魁(2007)更加激烈地指出“外资危害国家经济安全属无稽之谈”.外资是影响国家经济安全的双刃剑,与其争论外资对于国家经济安全的影响,不如具体分析外资对于国家经济安全的影响方式、传导机制、作用条件、最终效果.
第二,国家经济安全保障策略研究.这一领域研究是实务界关注的重点,是理论界关于国家经济安全影响因素及影响机制研究的逻辑顺承,本课题组通过知网检索,分析了关于国家经济安全保障策略研究引用率较高的前50篇文献,发现通过审计手段保障国家经济安全的文献占60%,通过制度手段保障国家经济安全的文献占20%,这两类文献占全部相关文献的绝大多数,这种现象反映了国内学界对于保障经济安全的研究方向相对集中,在一定领域存在研究共识,但也从一个侧面说明关于保障国家经济安全的研究视野有待进一步扩展.本报告梳理了关于保障国家经济安全的一些代表性观点:一是“审计是维护国家经济安全的重要手段”.持这一观点的学者有的侧重“审计介入国家经济安全的理论依据”研究,如张庆龙和谢志华(2009)按照审计本质、政府监管、制度均衡三个视角系统分析了政府审计介入国家经济安全的理论依据,蔡春、李江涛和刘更新(2009)从“历史层面、理论层面、法律层面、国际经验层面以及现实层面五个方面提出了政府审计维护国家经济安全的基本依据”,一些学者侧重研究审计维护国家经济安全的作用方式,如唐建新、古继洪和付爱春(2008)分析了审计维护国家经济安全的作用路径,尹平(2011)研究了审计维护国家经济安全的机制设计问题,持这一观点的学者多有审计研究背景,他们论证了审计对维护国家经济安全的重要作用,但没有回答维护国家经济安全的最优手段和最佳策略问题.二是“制度是维护国家经济安全的重要手段”.持这一观点的学者有一部分关注对外资审查制度的研究,如胡延玲和张弛(2010)提出“制定独立的、高位阶的我国国家经济安全审查法律制度和制度体系”,还有部分学者关注制度体系的研究,如雷家骕(2001b)提出建立“决策、审议、储备、自给、准入、预警处置”六大制度.通过进一步分析该类文献,本报告发现目前关于“制度手段”的研究多侧重于“制度的反向规制作用”,较少研究“制度的正向激励作用”,这反映出对于“制度手段”的认识还有待深入.
第三,国家经济安全的方法论研究.这一领域是学界关注的焦点,其研究成果对于国家经济安全其他领域的研究具有指导作用,因而这一领域汇集了一批长期从事国家经济安全研究的学者,本课题组通过文献调查,按照该领域发表论文的数量和出版专著的数量遴选出十大“重要作者”,分别是顾海兵、叶卫平、雷家骕、张幼文、万君康、江涌、张汉林、李海舰、赵英、聂富强.目前,这一领域的学术争论激烈,主要表现在两个方面:一是国家经济安全的概念界定各说各话.目前,国内学界对于国家经济安全的概念尚未形成共识,如顾海兵等(2007b)将国家经济安全界定为“通过加强自身机制的建设,使我国经济具备抵御外来风险冲击的能力,以保证我国经济在面临外在因素冲击时能继续稳定运行、健康发展”,这一界定体现了对于国家经济安全问题的“外部着眼、内部着手”研究原则.叶卫平(2008)认为国家经济安全是“一个国家的经济主权没有受到严重损害,导致经济危机的风险处于可控的状态”,国家经济安全概念界定的“状态论”是一种静态的观察视角.雷家骕(2006a)将国家经济安全界定为“一国最为根本的经济利益不受伤害,其基本内容是一国经济在整体上主权独立、基础稳固、健康运行、稳健增长、持续发展”,这一界定实际上把国家经济安全理解为一种权益.二是国家经济安全指标体系研究百家争鸣.指标体系是目前国家经济安全研究的通用工具,运用指标体系监测国家经济安全态势、预测国家经济安全趋势成为国内学者的通行做法,但对于指标体系的结构和内容国内学者莫衷一是,比较典型的有余根钱(2004)以“遭受突发性重大损失的可能性和损失的大小”为判断标准构建的六大类16项指标体系,年志远和李丹(2008)将国家经济安全的预警问题具体化为财政金融安全、社会安全、外经安全、资源安全和产业安全五大预警指标体系,叶卫平(2010)从国家经济安全定义方式和内涵出发开发了二级评价指标体系,顾海兵(2012)运用专家调查法、社会认知调查法和专家文献法构建了以经济安全能力和经济安全条件为主线的三级18项指标体系.目前,指标权重的确定、指标阈值的界定和指标数据的选定仍然是国内学界公认的难点,顾海兵教授在这方面做了大量探索,形成了较完整的依托指标体系的监测预警方法.
总体来说,国内国家经济安全的研究领域庞杂,但研究主线清晰,国家经济安全研究以我国对外开放的实践为主线,其研究的深度和广度随着我国对外开放程度的提高而提升,这充分反映了国内学者在全球化的背景下对于国家经济安全运行规律的把握,也体现了维护国家经济安全的学术担当.
现代意义上的经济安全研究起源于国外,美国等西方国家学者早在第二次世界大战(以下简称“二战”)末期即开始关注经济安全问题,目前已形成了众多研究成果.“他山之石,可以攻玉.”系统梳理国外经济安全研究情况并科学总结其研究特点对于我国经济安全研究具有镜鉴作用.
《中国经济安全年度报告》运用内外结合的研究视角,持续关注国外经济安全研究情况,并对其研究特点进行总结,本报告在承继往年研究成果的基础上,按照“时空共话”的研究和写作思路,既从时间上梳理国外经济安全研究演化情况,又从内容角度分析国外经济安全研究范畴,通过JSTOR数据库和谷歌学术的高引用率国外经济安全研究文献检索,梳理国外经济安全最新理论成果,对其研究特征进行总结分析,概括归纳为三大特点:
一是研究内容具有广泛性.国外经济安全研究领域极其庞杂,目前尚未形成统一的研究范式,国外学者对于“什么是经济安全”的研究莫衷一是,2014年《中国经济安全年度报告》将国外学者对于经济安全的研究划分为国家和公民个人两个角度.第一种视角把经济安全理解为国家层面的问题,如Alassane Ouattara (1998)将经济增长等同于经济安全;Dawood Mamoon (2012)定义经济安全是一国政府在收入再分配时的一种能力;第二种视角把经济安全理解为公民个人或家庭的经济安全,如R.Daniel Wadhwani (2006)认为经济安全等同于个人财富的安全.2015年报告中又补充了学者Vincent Cable (1995)的观点,即从“地区经济安全”的角度研究经济安全.近年来,国外学者对于“什么是经济安全”的争论趋缓,更加关注经济安全研究的具体内容,如Manhee Lee (2014)认为与抽象地认识“经济安全”的概念相比,对“经济安全到底是谁的安全、研究经济安全的意义何在、经济安全的威胁来自哪里、通过什么手段来维护经济安全”等四个问题的研究更为重要.
二是研究方法具有多样性.因其研究对象的广泛性,国外经济安全研究方法呈现出多样性特征,近年来,国外学者对于经济安全的研究常用的方法大致可分为定性研究法和定量研究法两类,其中定性研究法按照空间和时间的逻辑,又可分为历史分析法和概念分析法,如Michael Mastanduno (1998)运用历史分析法,研究了美国学界及政界对于“经济”与“安全”关系认识的历史演变,Mandel Robert (1994)运用概念分析法拓展了“国家安全”的研究范畴,把经济安全、资源和环境安全纳入政府关注视野.定量分析法按照对影响因素与经济安全作用机制的不同理解,可分为模型研究法和指标评估法,如Vincent Cable (1995)运用“国际经济活动对抗模型”分析了“国际经济安全”的影响因素及作用机制,Manhee Lee (2014)运用“双边网络博弈模型”分析了在各自追求经济安全中的日美关系博弈情况,Ekaterina Grigoreva和Liliya Garifova (2015)通过构建经济安全影响因素的指标评价体系来分析俄罗斯的经济安全.通过文献梳理可知,西方学者在经济安全的研究中并不追求研究方法的数学复杂性,但对方法运用过程中的逻辑严密性非常关注.
三是研究演进具有循环性.国外经济安全的研究从时间的角度体现为对于“经济与国家安全”之间关系的阶段性认识,这两者之间的关系因形势的差异和环境的不同呈现出“融合”与“分离”交替的循环特点,体现了经济因素在国家安全整体框架中地位的周期性变化.美国学者Edward Mead Earle早在1943年就在其主编的《现代战略制定者》一书中较早地提出“‘经济与国家安全’的关系是最关键也是最吸引人的治国问题”,这一阶段西方特别是美国学界主张将经济与国家安全融合起来研究,把经济作为获取战争胜利的重要手段.二战后初期到冷战末期,国外“经济与国家安全”的研究出现分离态势,苏联解体、东欧剧变后,西方学者又将“经济与国家安全”融合起来研究.美国学者Michael Mastanduno (1998)认为“国际结构、战略环境特点和国际竞争中的地位”是决定学界对于经济与国家安全关联度研究的三项重要因素.他还认为,一旦美国在国际竞争中处于主导地位,则经济因素与国家安全之间的融合研究就被学界所推崇,而一旦美国在国际竞争中的相对地位下降,则学界就会出现将经济因素与国家安全分裂开的研究倾向.冷战后特别是克林顿政府上台后,美国政界和学界普遍认为经济安全与国家安全密不可分,经济安全是国家安全的重要组成部分,如Jonathan Kirshner (2009)认为近年来国家安全中经济因素所占的比重越来越大,逐渐成为国家安全的核心.
相对于规范的理论研究,国外更偏重国家经济安全的策略研究,并以此指导维护国家经济安全的具体实践.本系列报告在历年的研究中都十分重视国外国家经济安全策略的挖掘整理,通过历年的梳理可知,国外关于国家经济安全的策略研究始终依托维护“国家安全”的整体视野,把经济安全作为国家安全的组成部分来审视,本报告在历年报告研究的基础上,补充了21世纪以来国外特别是美国维护国家经济安全的策略研究情况,从而为读者展示了二战后至今的国外经济安全策略演变的整体趋势.本报告根据不同时期经济安全在国家经济安全中的地位差异,可将国外国家经济安全的策略研究分为三个阶段:
第一,经济安全从属于政治安全、军事安全时期.冷战时期受现实主义思潮的影响,经济安全相对于政治安全和军事安全的重要性并未显现,经济利益必须服从服务于实现政治军事利益的需要,经济因素还未起决定作用.1960年美国海军学院专家J.R.Schlesinger出版的《国家安全的政治经济学》一书中明确提出“即使在近代,决定性因素似乎也还不是经济”.Michael Mastanduno (1998)指出,那时西方学者普遍将军事手段和军事目标的关系看作维护国家安全的首要问题,Manhee Lee (2014)认为20世纪70年代后的两场“石油危机”后,美国政界才将国家经济财富与国家安全共同纳入“经济安全”的分析框架.
第二,经济安全重要性凸显时期.从20世纪80年代开始,经济维度的竞争凸显,“两超”矛盾逐渐让位于“南北”问题,各国更加注重维护自身经济安全,顾海兵教授(2007)曾对美国、日本、俄罗斯和印度等国家这一阶段的经济安全策略进行了梳理研究,发现美国在克林顿政府时期首次将经济安全视为六大战略之首,并第一次将经济安全作为国家安全三大目标之一;日本在20世纪80年代初期即提出以“全面观、全球观和全民观”为基点的经济安全战略体系;印度于1998年设立“国家安全委员会”专司国家安全的决策咨询,并建立进口贸易预警机制;俄罗斯联邦委员会于1996年将经济安全界定为“国家经济状况实现稳定,并在保持国家政治和军事稳定的前提下,有效满足社会消费,保持技术独立并使国家不受外来和内在威胁之影响,维护俄罗斯在国内和国际市场的利益”.这一阶段西方主要国家奉行非传统的国家安全观,弥漫着“自由主义”的色彩,构建“互利”型国际交往机制来维护自身经济安全成为多数国家的战略取向.
第三,经济安全与其他领域安全交织时期.21世纪以来,经济安全与网络空间安全、恐怖主义、气候变化等问题相互融合渗透,Manhee Lee (2014)认为这一阶段自由主义国家安全观影响日趋向弱,国家间的利益争斗、文明冲突、跨国恐怖主义以及全球经济危机打破了原有的稳定的国家间的安全秩序.主要国家在维护经济安全的实践中往往通盘考虑,如美国将经济安全政策和外交政策统一起来,不制定单独的经济安全和经济外交战略.值得注意的是,美国政府在维护国家经济安全的机制和体制相对稳定的同时,在实践策略上并不抱残守缺,而是因时而变、应势而谋,如小布什政府一改克林顿政府将“经济安全”放在首位的战略,而是将“双反”(反贫困、反恐怖)作为其执政要点;奥巴马政府则通过力推国内金融改革、医保改革,在国外力推全球经济再平衡外交来实现其国家经济利益的最大化;特朗普当选美国总统后实施“美国优先”方略,推行反全球化、反自由化、国内再工业化等一系列措施,最大限度地维护美国经济利益.日本、欧盟等主要国家和地区也将维护国家经济安全融于处理移民、环境、反恐和打击跨国犯罪等事务中,如日本政府于2014年成立国家安全保障局,主要职责在于协调各政府部门的关系,统一进行情报搜集和分析,欧盟积极推行安全和防务一体化,将“恐怖主义、失败国家、地区冲突、有组织犯罪、大规模杀伤性武器扩散”等统一纳入国家安全的考虑范围,在最大范围内维护本国经济利益.值得注意的是,研究者广泛将中国视为美国乃至西方世界的主要竞争对手,在面对中国资本时,优先考虑的是国家安全因素,防止中国从市场开放中进一步获得经济成长的技术或资源(Hemphill,2007;Cohen,2009).
综上可见,国外国家经济安全的研究因时而变、因地而异、因势而新,体现了政府层面和学术界对国家经济安全问题认识的变化和深化,也彰显了各国对国家经济安全问题重要性认识的共识.
对国家经济安全的监测预警是在国家经济安全理论研究的指导下开展的实践活动.本报告与往年报告相比,一方面它对国家经济安全指标体系进行了修正,并以此为依托,按照“确定指标安全区间,计算指标安全得分,计算经济安全得分,判断经济安全类型”的步骤监测国家经济安全态势;另一方面通过分析梳理不同指标的适用预测方法,根据不同指标特点选择适宜的预测方法.
本报告自2014年首次出版以来,一直沿用顾海兵、孙挺2012年开发的“‘十二五’时期国家经济安全指标体系”.为反映国内外经济形势的变化,综合国内国家经济安全研究的最新进展,本课题组于2016年下半年启动指标体系修正研究工作,在顾海兵教授的指导下,课题组成员张敏从国家经济安全的辩证思考入手,指出国家经济安全研究的五大误区,提出指标体系修正要立足“巨国经济”的大背景,并结合国内外经济形势的发展变化,筛选2010年至2016年最新文献,综合运用“专家问卷调查、搜索引擎检索以及论文数据库检索”等方法,最终选取了9个经济安全条件指标和10个经济安全能力指标.这套指标体系在“‘十二五’时期国家经济安全指标体系”的基础上做出4处修改,一是增加“品牌外产比”指标,二是去掉“能源对外依存度”指标,三是加入“粮食对外依存度”指标,四是根据实际情况调整原有指标体系中其他指标的权重和警限.详见表1-1、表1-2.
表1-1 中国经济安全研究指标体系
续前表
注:斜体字表示指标及权重发生了变化.
资料来源:作者整理与计算.
表1-2 中国经济安全各指标警限
注:斜体字表示指标及权重发生了变化.
资料来源:作者整理与计算.
为保证本报告的年度连续性,课题组沿用过去三年国家经济安全定量分析的方法,主要是:
(1)确定指标安全区间.即确定各个指标的警限值,课题组成员张敏在顾海兵教授的指导下运用专家调查法已确定各指标警限,见表1-2.
(2)确定指标安全得分.即利用插值法将指标值转化为经济安全得分.根据警限值的不同又分为两种评分标准.
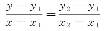
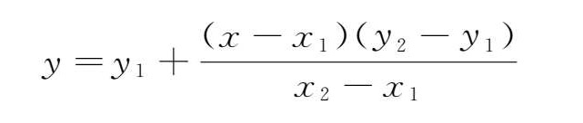
对于有上警限和下警限的指标来说,设此类指标观察值为 x ,安全得分为 y ,其临近左侧警限为 x 1 ,对应的安全得分为 y 1 ;临近右侧警限为 x 2 ,对应安全得分为 y 2 ,则该指标最终的安全评分的公式为:
解上式可得:
对于只有单边警限值的指标来说,设此类指标观察值为 x ,安全得分为 y ,某一侧的警限值为 x 1 ,对应的安全得分为 y 1 ,则该指标最终安全评分的计算公式为:
解上式有:
(3)计算经济安全得分.将各指标安全得分按权重进行加权,得到相应领域安全得分,逐层汇总得到经济安全条件得分和经济安全能力得分,将经济安全条件与经济安全能力两方面的得分综合起来得到最终经济安全总得分.由于经济安全条件与经济安全能力之间存在着一定的相关关系,故选择乘法的形式综合两者,如下式所示:
(4)判断经济安全类型.计算出经济安全得分后,最后将经济安全得分与经济安全的类型联系起来,便可以对经济安全状况进行预警.经济安全类型判断如表1-3所示.
表1-3 经济安全类型判断
资料来源:作者整理与计算.
本课题组在2015年度经济安全报告中曾运用“国别(地区)分解法”对美国、欧盟、日本、俄罗斯、印度这五个国家及地区对我国经济安全的冲击进行分析,本报告沿用“国别(地区)分解法”进行分析.
第一步,计算经济安全条件中某指标所对应的安全得分 S i ,然后可以得到该指标所对应的不安全得分 T i =100- S i .
第二步,得到某指标的不安全得分后,乘以对应的国别占比 t i ,这样就可以得到这个国家在某一指标不安全分数中所占的不安全得分(100- S i )× t i .
第三步,在得到经济安全条件所属9个指标的不安全得分后,把对应指标乘以相应的权数
ω
i
,然后加总可得到由这个国家所引发的经济不安全得分,即计算
×
(100-
S
i
)
×t
i
.
第四步,在得到某国所占不安全分值后,可以计算该国对我国经济不安全的影响程度.具体为将第三步得到的数据除以我国经济不安全总分,即可得到该国对我国的经济安全影响程度.
根据上述这个算法,我们就可以依次得到,各个目标研究国(地区)对中国经济不安全的影响程度.各目标国(地区)的选择依然延续2015年报告中的研究成果,即将美国、欧盟、日本、俄罗斯和印度作为目标研究国(地区).这五个国家或者地区对我国经济安全的影响程度如表1-4所示.
表1-4 目标研究国别(地区)对我国经济安全影响程度
资料来源:作者整理与计算.
国家经济安全具有动态性和时变性,对于国家经济安全未来态势的掌握是有效应对国家经济安全未然事件和潜在风险的基础和保障,然而影响国家经济安全的因素非常复杂,分析国家经济安全的未来走势、预判国家经济安全的演变态势需要依托科学的预警方法.在国家经济安全的预警过程中,往往需要数据的实时监测.全年国家经济安全态势演变的分析既依据一年中已形成的沉淀经济数据,又依赖未来的动态经济数据.从这个意义上说,国家经济安全态势演变的每一个阶段都需要进行监测才能做好预警工作,在已有前半年数据的基础上,全年的预警就是预监测.中国人民大学顾海兵教授早在1994年就提出“明确警义、寻找警源、分析警兆、预报警度”的经济预警逻辑,并对各类经济预警方法进行分析,提出“黑白黄绿红”五色预警法.
黑色预警法:通过考察警素指标的时间序列变化规律来考察经济的循环波动特性.当预警对象满足周期性波动规律时,该方法预测的准确率较高.
黄色预警法:通过警兆的警级来预报警素的警度.黄色预警法是一种因果分析法,根据具体操作又可分为指数预警系统、统计预警系统和模型预警系统.这种预警方法依托影响因素与预警对象的因果联系,经济逻辑性强,预警过程透明,其预警结果可信度大.缺点是经济系统异常复杂,经济变量之间往往存在多重因果关系,厘清主要因果关系在实践中较为困难.
红色预警法:通过对影响警素变动的有利因素和不利因素进行全面分析,然后进行不同时期的对比研究,最后结合预测者的直觉、经验及其他有关专家学者的估计进行预警.红色预警法侧重定性分析,是一种社会环境分析方法,其运用的成败与预测者的经验直觉和所借助专家的预测能力直接相关,这种方法适用于数据量较少的环境.
绿色预警法:通过遥感技术对警素的生长态势,特别是农作物生长的绿色程度预测经济及农业未来状况.绿色预警法预警过程较为直观,预警结果比较可靠,但其预警对象的特殊性影响其适用范围.
白色预警法:在基本掌握警因的条件下用计量技术进行预测.这种方法需要前期厘清预警对象运动的因果关联,建立正确反映这种因果关联的计量模型.
经过持续多年的探索,顾海兵教授在梳理各类经济预测方法的基础上,结合中国经济安全态势演进的规律,依托国家经济安全指标体系,对现有经济预警方法进一步梳理总结,形成了较为成熟的经济预警预测方法体系,见表1-5.
表1-5 经济预测方法分类
资料来源:作者整理与计算.
法无定法,式无定式.经济系统复杂多样,预警方法的选择也应灵活机动,不存在任何一种经济预警方法可以“放之四海而皆准”,数学方法不能“包打天下”,非数学方法亦然,根据预测对象的特点选择合适的方法才是正道.多年的经济预警实践证明,预警方法的复杂性与预警结论的科学性不成正比,单纯追求复杂的数学方法不能很好地解决经济预警问题.自2013年中国人民大学“中国经济安全报告”项目启动以来,报告课题组在顾海兵教授的指导下对报告所用的经济预测方法进行梳理,对每一种方法及其适用性进行分析.
(1)专家调查法.专家调查法是以专家作为索取信息的对象,依靠专家的知识和经验,由专家通过调查研究对问题作出判断、进行评估和预测的一种方法.其中作为专家调查法的一种特殊方法——专家文献法是在调查一定时期特定范围专家研究成果的基础上,根据研究需要对专家文献进行整理归纳、统计分析和信息挖掘,以此综合专家观点、提炼学界共识、形成预测依据的方法.
这类方法适用于经济预测的指标具有如下特征,即关注的研究机构众多,形成了系统的预测制度,同时,这类指标受多种因素影响,机理复杂,对其预测需要投入大量研究力量,故应采取间接分析法,参考借鉴并综合吸收众多研究机构的预测意见.
(2)固定增长率法.固定增长率法是根据前期观测计算出的预测对象在一定时期内的平均变化率来分析其变化趋势.其具体操作步骤如下:
设
g
i
=经济变量
x
i
在第
i
期的发展速度,
g
=
x
0
,
x
1
,…,
x
r
的平均发展速度,
g
i
=
x
i
/
x
(
i
-1)
,
g
为各
g
i
的平均值.又
表示该经济变量在第(
r
+
k
)周期的预测值.一般地,若
g
i
围绕着
g
波动,范围不超过5%,即可以应用固定增长率法预测值,这里的波动要求是无规则的.
预测公式:
这里的 g 可以用算数平均确定:
这类方法适用于经济预测的指标具有如下特征,即预测对象增长率或增长量大致持续稳定.
(3)移动平均法.移动平均法又称定长平均,在每次预测中,我们对远期数据存而不用,仅取
m
个近期数据作平均,平均化的数据序列的起点顺序移动变化,只利用
,
,…,
作平均.
其多步预测公式为:
或
(本报告选用上一个公式)
式中,
=
1,
m
为移动期数,
k
为预测步数(期数).
移动平均法每次使用的数据个数是一定的,可以减少存储成本,但是由于总是选取最近的数据,因而容易失去一些原始数据的信息.
(4)回归预测法.回归预测法是在分析现象自变量和因变量之间相关关系的基础上,建立变量之间的回归方程,并将回归方程作为预测模型,根据自变量在预测期的数量变化来预测因变量变化.回归分析法适用于指标与其他若干可观测的指标具有线性关联,经拟合形成的回归方程 R 值较高,且影响因素显著的情况(具体见表1-6).
表1-6 指标适用预测方法分类
资料来源:作者整理与计算.
当然,每一种预测方法都是从一个侧面揭示预测对象的动态特征,但也不可避免地陷入片面,因此在国家经济安全预测预警实践中,应运用多种方法交叉验证,从不同的角度综合分析才能更加接近事物的本来面目.
【本章执笔:王甲、顾海兵】