



翌日清晨,我收拾了行李,告别旧居,搬进了思南路的新住处。
陈爝没想到我来得这么早,于是和我一起把行李搬上二楼的房间。我用了一天时间布置房间,将带来的东西各归其位。陈爝对我说,除了他卧室里的东西,其他都可以共用,特别是客厅里的书籍,如果有兴趣可随时拿去看,不用和他打招呼。
他得知我的职业后,告诉我他有套珍藏的二十四史,中华书局版,在书架的底层,打开橱门就可以看见,我对此表示了感谢。他书虽然多,却不藏书,把书当工具而已。
至于工作方面,通过石敬周的介绍,我顺利入职成为一名家教。这样让我多了一份收入,并且不需要每天打卡上班。因为没有租金的负担,我的日子似乎过得比从前更舒适了,也多了不少闲钱,可以购置一些自己喜欢的东西。
生活就这样渐渐走上了正轨。
然而,经过几天的接触,我越来越觉得我的室友浑身散发出一种神秘感。
陈爝通常都很晚睡觉,也许是凌晨两点或是三点,总之我从未见他在晚上十二点之前就寝。很多时候,他总是在房间里偷偷地接一些电话,一聊就是好几小时,我总是听见“尸体”“谋杀”这样的词汇,这更让我对他的职业有了兴趣。
有时候接到一通电话,他会立刻动身离开,一两天不回家。有时候从早到晚把自己锁在房间里,一言不发,或在黑板上整日整夜地进行着复杂的运算。对此我都不闻不问,我认为每个人都有隐私,没必要刻意去打探,这是基本的礼貌。
直到有一天,我们在饭桌上聊到了一起轰动全国的谋杀案。
那天下午,我从学生家赶回住地,路过的超市正在大减价,于是买了许多菜。回到住处后,我和陈爝两人联手忙碌了一番,总算搞出了一顿像样的晚餐。说到这儿,我不得不承认陈爝厨艺之精湛,是我无法比拟的。他对烹饪有着自己独特的理解,不过这是后话,先按下不表。
去年四月十二日下午五时许,某陈姓女白领被害于虹口区东宝兴路的出租屋中,警方勘验发现,受害人颈部被切开,身体裸露在外,上身共有刀伤二十处。这个案子引起虹口警方重视,成立专案组进行调查,可由于线索少,出租屋周围人流量大,排查有一定困难,侦破工作陷入僵局。同年八月二十日,在普陀区曹安路上,又发现一位女性遇害,颈部被切开,上身共有刀伤三十六处。
经过法医鉴定,手法系同一人所为。就这样,相同的案件接二连三发生,引起市民高度恐慌,媒体称凶手为“新开膛手”,用大幅版面进行报道。直至今年的四月十五日,已有十名女性被害,凶手依旧逍遥法外。
之后,上海市公安局向社会发布《上海市公安局侦破系列杀人案件宣传提纲》,悬赏二十万元向全社会征集线索,以期早日破案。没想到就在近日,这起困扰警方许久的案件竟然突然告破,凶手是某公司普通职员,被抓后身边同事和邻居都表示不敢相信,还说凶手平时为人善良热情,完全不像一个杀人狂。
当我读到报道后,高兴地对陈爝说:“所以嘛,在中国杀人一定会被抓。想要骗过刑侦大队的老刑警?真是异想天开!”
没想到陈爝却不以为然,对我说道:“刑警们的破案手段相当单一,而且不注重逻辑,喜欢靠经验来办案。当然,经验老到的警察常常能一眼看穿谁是凶手,但也会有走眼的时候。如果运用科学的方法,犯错的概率则会下降很多。”
“但是你不能否认,他们成功了!”我把手中的报纸递给陈爝,“他们在凶手家中找到了大量的证据,而且凶手也自己亲口承认了罪行。”
陈爝接过报纸,冷笑道:“这个案子是我破的。”
“什么!”我以为他在开玩笑。
“我说,这个案子是我破的。上周市局刑侦总队的宋伯雄队长来找过我,让我去参加一次案情讨论会。我在会议上给他们提了些意见。”
陈爝低头吃饭,那口气,就像是在讲一件稀松平常的事。
“我知道你聪明,可这也太离奇了吧?他们为什么请你去?”
“这就要去问他们了。宋队长来电话的时候说,教授,请您务必要帮这个忙。我左右无事,所以就去了。总之我拿到了悬赏的钱,够我花一阵了。”
看陈爝的样子也不像在撒谎。还是他的演技特别好?
“教授?你……你是教授?”
“可以说是,也可以说不是。”他拿起餐桌上的红酒,抿了一口。
“怎么可能,你是怎么破获这个案子的?你又给了他们什么建议?”我平生最讨厌撒谎的人,虽然我和陈爝平时交流并不多,可没想到他竟然是一个信口雌黄的家伙。刑警队怎么可能让一个普通人去参与侦查凶案?又不是侦探小说!
所以我一定要打破砂锅问到底,直到他亲口承认自己是开玩笑的为止。
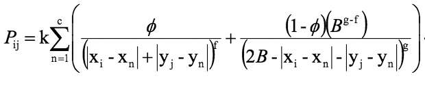
陈爝看我如此认真,也放下了手中的餐具。他站起身,走到了黑板前,然后用粉笔写下了一条复杂的公式:
“这是什么?”
“罗斯莫公式。这是一种分析犯罪行为的数学模型。”陈爝说道,“只要进行一些细微的调整,我们就能计算出凶手的所在地。”
“怎么可能……”
陈爝不理会我的反应,继续解释道:“当你在物理条件非常确定的情况下运用数学时,只要用得正确,数学总能给你正确的答案。连环杀手总会选择他认为随机挑选的地点下手,试图不暴露他真正的住处,可这个公式却可以揭露真相,以很高的概率来锁定凶手的住处,把大海捞针变为杯里捞针。韩晋,如果你有兴趣,我很乐意替你解释一下罗斯莫公式的运算原理。”
我连连摆手:“不用了,我是文科生。那你就是用这个公式算出了凶手的住址?”
陈爝点点头,说道:“当然,这是很重要的一环。接下去只需要一些逻辑推理来辅助这个公式,便可使警方的排查工作更为顺利。其实侦破谋杀案和解决数学难题,本质上是一样的。给你已知的条件,探求未知的解答。只要条件正确,经过缜密的验算,总会得到答案的。”
这件事对我打击很大。
首先不能以貌取人,你认为他只不过是个小白脸,谁会想到竟然是市公安刑警队的特别顾问。自此之后,我对陈爝的兴趣大增,一有空闲,我总会冲上两杯咖啡,和他在客厅中闲聊。因为这样,我也知道了不少关于陈爝过去的事。
他的身世简直像一部小说,若非我亲耳听闻,一定会认为是胡说八道。
陈爝的父亲叫什么名字,他并不愿意告诉我,母亲也从未提起过。我只知道他的母亲姓袁,从事音乐方面的工作。陈爝因为从小在数学方面有惊人的天赋,进入小学后便连跳三级,在一九九九年获得过国际数学奥林匹克竞赛的冠军。终于学校的课程跟不上他的步伐,初中毕业后,他选择退学,在家中自学数学。十六岁那年,他在《符号逻辑杂志》( Journal of Symbolic Logic )发表了关于“连续统假说”的论文,引起数学界关注,被普林斯顿大学数学系录取。他二〇〇四年获得学士学位、二〇〇五年获得硕士学位、二〇〇九年获得博士学位,于二〇一一年受聘加州大学洛杉矶分校任数学系副教授,主攻“解析数论”。
陈爝曾一度被称为“中国最有希望获得菲尔兹奖的青年教授”。这期间,他利用自己的数学知识和逻辑推理,协助洛杉矶警方破获了多起连续杀人案,成为洛杉矶警察厅刑事顾问。因此,洛杉矶郡郡长麦克·安东诺维奇(Michael D.An tonovich)在洛杉矶市政厅,亲自授予陈爝“洛杉矶荣誉市民”称号,并颁发了荣誉证书。
如同网文小说的主角,那一年,他才二十四岁。
可就在两年之后,陈爝突然被驱逐出了学界,遭学校解聘后回国。
其中发生了什么事,陈爝讳莫如深,一直不愿提起。我知道的是,因为他的过失,使学生付出了生命的代价。校方认为陈爝作为一名教职人员,品行不端,言语不逊,没有为人师表的资格。离开美国之后,陈爝辗转去了许多国家,不过都没有长住。他还曾利用自己的数学知识在澳大利亚的赌场赢了不少钱,可回国之后又被诈骗电话骗去大半。
这件事听得我哭笑不得。
经过和陈爝相处的这些日子,我开始发现一些端倪。我说过,他是阿斯伯格综合征患者,有典型的反社会型人格障碍倾向。他对社会适应不良,有时候会说一些匪夷所思的话,毫不顾忌别人的感受。他不会考虑很多,喜欢直接点穿,令别人无法下台。而且,他还从不觉得自己有什么问题。
“我又没说错,那人就是个笨蛋。他为什么还生气呢?”他经常这样问我。
“你不能当面说别人的缺点,这是不礼貌的。”我解释道。
“韩晋,我要是当面说他聪明,这才是讽刺他呢!”
对于他的某些话,我确实无法反驳。他喜欢与人争辩,说话太直容易招人恨,这就是为什么他几乎没有朋友的原因。除此之外,傲慢的性格也是别人不愿和他相处的理由。有些话说得很绝对,不近人情。
记得有一次,我和他在公园散步,我突然说:“我发现你很像福尔摩斯。同样的反社会、同样的敏锐,只不过他是化学家,而你是数学家。”
“你错了。”陈爝摇头道,“福尔摩斯并不是一个优秀的化学家,作为化学家,他是不合格的。”
“你凭什么这样说?”我反问道。
陈爝并没有因为我的质问而恼怒,反而平静地说:“你是否还记得,在《铜山毛榉案》中,福尔摩斯得知他在某一时间需要赶火车,表示要推迟对丙酮的分析?”
“那又如何?”
“丙酮是一种特定的化合物,分子式是CH3COCH3,在小说中,福尔摩斯将丙酮和酮搞错了。还有在《血字的研究》中,福尔摩斯弄错了血液稀释的比例;在《身份案》中,他将二硫化钡和硫酸钡说成了硫酸氢钡;在《工程师的大拇指案》中,他把不含汞的混合物当成了汞合金……这类低级失误在《福尔摩斯探案集》中不胜枚举,你怎么能称他是个化学家呢?在我看来,福尔摩斯只是个业余爱好者而已。”
“那你怎么看同为数学家的莫里亚蒂
教授?他可是比福尔摩斯还要聪明的人!”
“你说的是那本可笑的《一颗小行星动力学》( The Dynamics Of An Asteroid )的作者?”陈爝忍不住笑出声来。
“有什么可笑的?莫里亚蒂教授在二十一岁发表了一篇关于二项式定理的论文,而且风靡欧洲数学界。”
“在莫里亚蒂教授发表这篇论文前四十年,挪威数学家阿贝尔(Niels Henrik Abel)就完整地搞出了被称为‘二次项定理’的数学课题的最后细节。也就是说,他早就让四十年后的天才莫里亚蒂无事可做,这个问题早被完全解决了。好,我们再来谈论一下那本著名的《一颗小行星动力学》著作。一八五二年之后,以牛顿视角来看,小行星的运动研究已经没有更进一步的事可做了。除非莫里亚蒂预知了爱因斯坦的相对论,或者解决了引力中被称为‘三体问题’的课题。但如果真是这样,这种情况对所有运动物体都普遍适用,而不仅仅是针对一颗小行星!”
我被他呛得哑口无言,心里非常愤怒,又说:“他们只是小说里的人物,你不需要这样认真吧?你只要承认福尔摩斯伟大就可以了。”
陈爝耸耸肩,表情无奈地对我说:“你看,我就是这么一个煞风景的人。”