



本节研究随机Navier-Stokes-Voight方程的解的适定性,并证明方程存在全局随机吸引子.
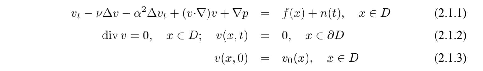
我们研究下列三维随机Navier-Stokes-Voight (SNSV)方程:
 
   
    其中D ⊂
     是带有光滑边界∂D的有界区域,v=v(x,t)是速度向量,p是压力项,ν>0是kinematic黏性系数,α是表示流体弹性的长度参数,f是给定的外力场,n(t)是随机力场,记作
    是带有光滑边界∂D的有界区域,v=v(x,t)是速度向量,p是压力项,ν>0是kinematic黏性系数,α是表示流体弹性的长度参数,f是给定的外力场,n(t)是随机力场,记作
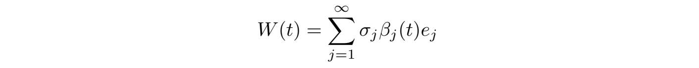
     .我们假设W(t)是H-值无限维布朗运动,具有形式
    .我们假设W(t)是H-值无限维布朗运动,具有形式
   
 
   
    其中
     是完备概率空间(Ω,F,P)上的一列独立标准布朗运动(期望记作
    是完备概率空间(Ω,F,P)上的一列独立标准布朗运动(期望记作
     ),
    ),
     是标准正交基.
    是标准正交基.
   
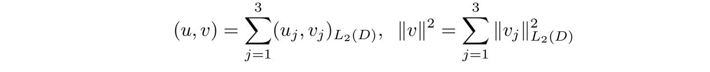
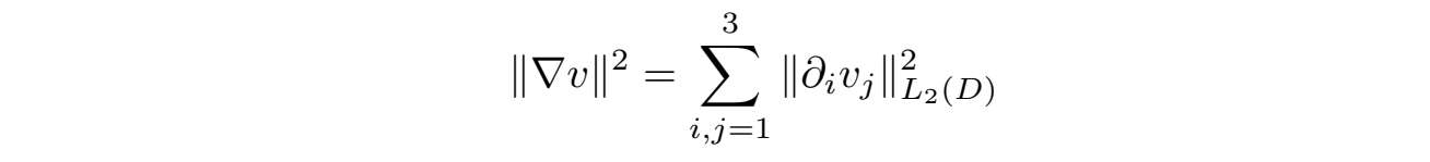
本节我们用到以下数学记号:
·L p (D),1⩽p⩽∞和H s (D)分别是通常的Lebesgue和Sobolev空间.
·对v=(v 1 ,v 2 ,v 3 )和u=(u 1 ,u 2 ,u 3 ),我们记
 
    
   ·记
 
   ·H是集合V按(L 2 (D) 3 ) 范数的闭包.
·P是从( L 2 (D) 3 ) 到空间H的Helmholz-Leray正交投影.
·A:=−P ∆是定义在 H 2 (D) 3 ∩ V上满足齐次Dirichlet边界条件的Stokes算子.算子A是空间H的正定自伴算子,其逆算子A−1是从H到H的紧算子.
    ·我们记
     ,0 <
    ,0 <
     ⩽
    ⩽
     ⩽···是Stokes算子A的特征函数
    ⩽···是Stokes算子A的特征函数
     对应的特征值.
    对应的特征值.
   
    ·
     :=
    :=
     ,
    ,
     =
    =
     ,s∈
    ,s∈
     . V=
    . V=
     =
    =
     ∩ H是Hilbert空间,运用Poincaré不等式,有
    ∩ H是Hilbert空间,运用Poincaré不等式,有
     =H.
    =H.
   
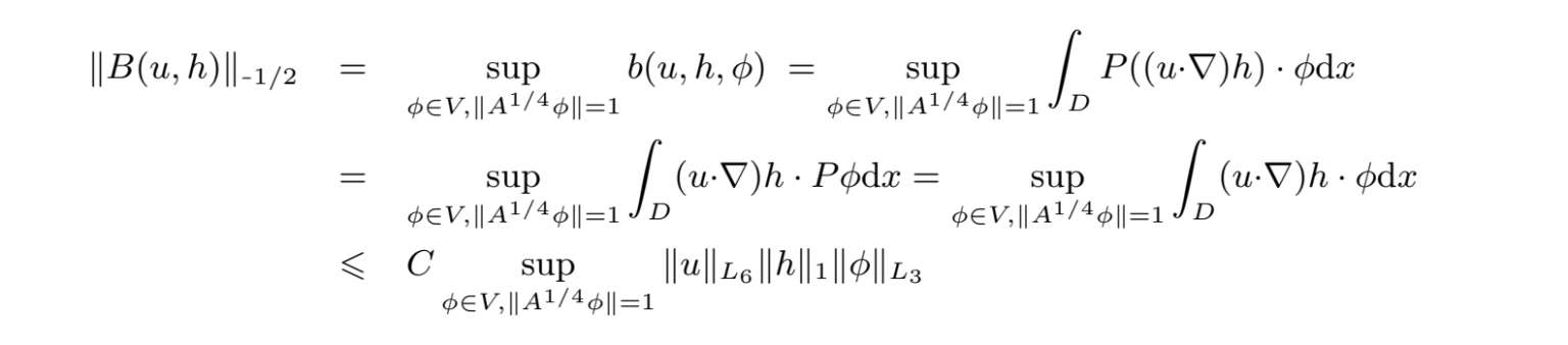
·对u,v,w∈V,我们定义下面双线性形式
 
   和三线性形式
 
   
     可以看成V×V→
    可以看成V×V→
     的连续算子,其中
    的连续算子,其中
     是V的对偶空间(见文献[82]).
    是V的对偶空间(见文献[82]).
   
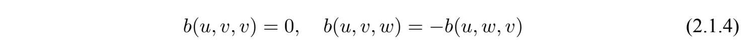
·对任意u,v,w∈V,有
 
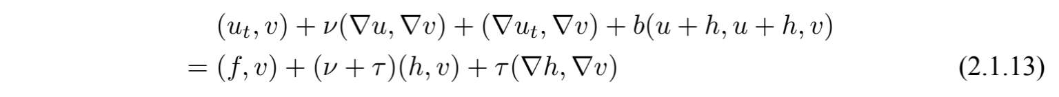
   将SNSV方程的每一项通过Helmholz-Leray正交投影到散度为零的空间中,这样项∇p将会消失,为了书写方便,我们把P f和P n仍然记作f和n,这样得到下列方程:
 
   不失一般性,我们令α=1.
下面我们研究上述方程解的存在性和唯一性,考虑下列辅助方程:
 
   
    不难看出算子(I+A)是正定自伴的,其逆算子(I+A)−1存在且是紧的,满足
     =
    =
     .这样方程(2.1.7)的形式等价于下列Ornstein-Uhlenbeck方程:
    .这样方程(2.1.7)的形式等价于下列Ornstein-Uhlenbeck方程:
   
 
   
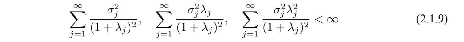
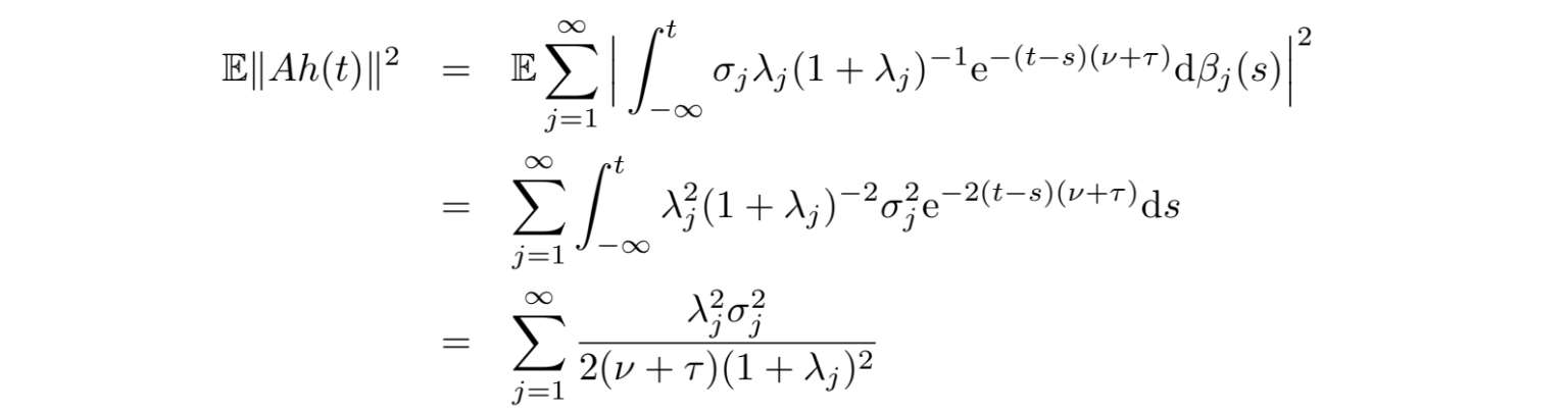
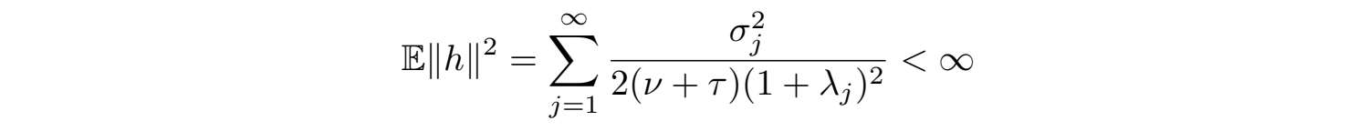
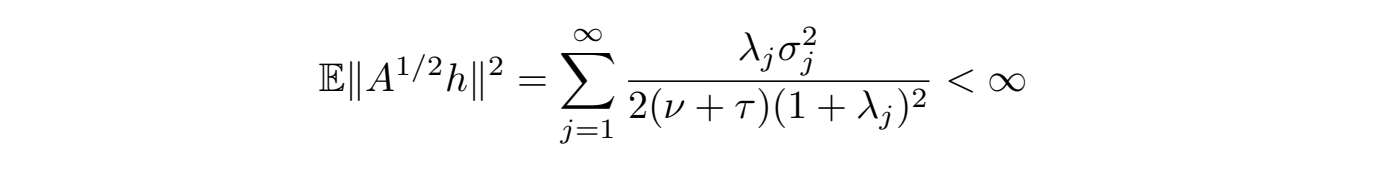
    因为W(t)是H-值的Wiener过程,我们有
     < ∞,从而
    < ∞,从而
   
 
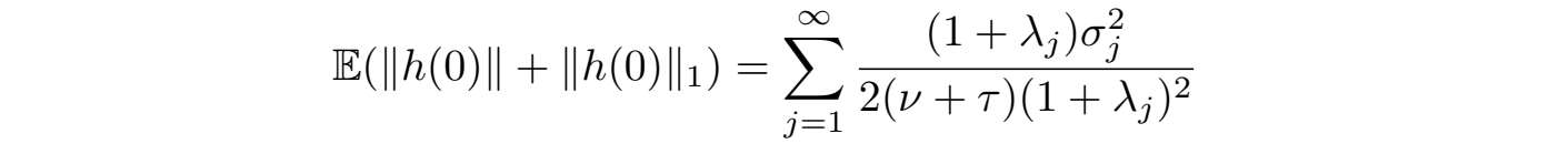
   从文献[83]可知,过程
 
   取值于D(A)有连续轨道的稳定遍历的解.特别地,运用(2.1.9),有
 
   是有限的.类似的,我们有
 
   和
 
   
    
     注
    
    2.1:
    
     需要特别指出,因为我们在Navier-Stokes方程上加了正则项
    
     ,从而形成
    
    
     了SNSV方程,这里我们仅仅需要假设W(t)是H-值的布朗运动,相比于H. Crauel、A.
    
    
     Debussche和F. Flandoli
    
    
     
      [15]
     
    
    
     条件更弱,在文献[15]中,W(t)需要是D(A)-值的布朗运动.
    
     ,从而形成
    
    
     了SNSV方程,这里我们仅仅需要假设W(t)是H-值的布朗运动,相比于H. Crauel、A.
    
    
     Debussche和F. Flandoli
    
    
     
      [15]
     
    
    
     条件更弱,在文献[15]中,W(t)需要是D(A)-值的布朗运动.
    
   
通过变换u(t)=v(t)−h(t),得到u(t,x)满足下面随机系数方程
 
   我们接下来给出方程(2.1.11)~(2.1.11)的解的适定性,在此之前先给出解的定义.
定义2.1.1 函数u∈C([0,T],V )称为方程(2.1.11)~(2.1.11)的弱解,若满足对∀v∈V,有
 
   成立.
    
     定理2.1.1
    
    假设
     和
    和
     ∈V,对
    ∈V,对
     . e. ω∈Ω,下列结论成立:
    . e. ω∈Ω,下列结论成立:
   
(i)在时间[t 0 ,∞)上,方程(2.1.11)~(2.1.12)存在唯一解,满足u∈C[t 0 ,∞),V .
(ii)记解为u(t,ω;t 0 ,u 0 ),映射u 0 7→u(t,ω;t 0 ,u 0 )对t⩾t 0 是连续的.
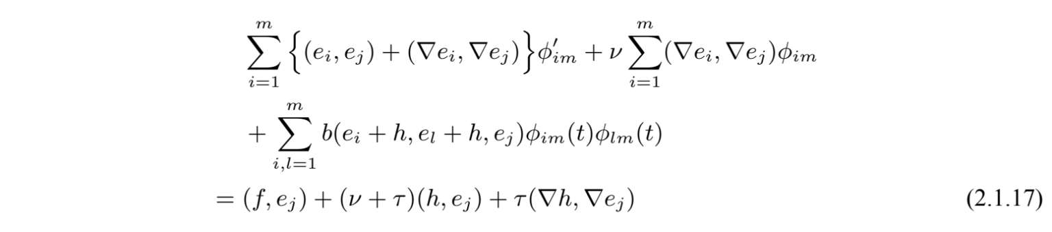
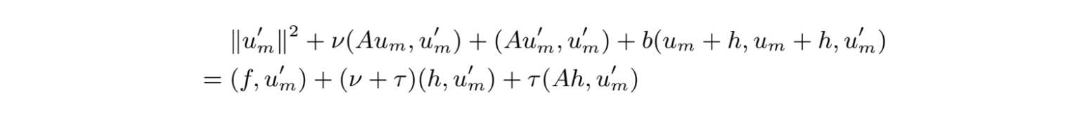
证明 :我们应用Feado-Galerkin方法,记m是任意给定的正数.对每一个m,方程(2.1.13)的逼近解u m 满足
 
   则有
 
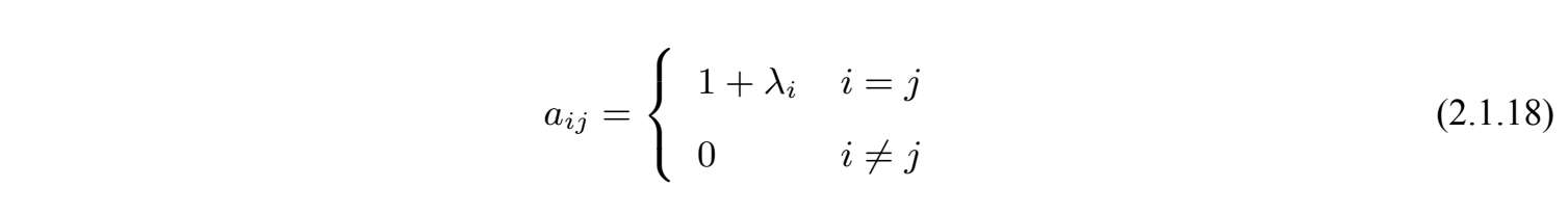
   其中u 0 m 是V中的u 0 到由e1,···,e m 张成的有限维空间上的正交投影,满足当m→∞时,u 0 m 强收敛于u 0 .系统(2.1.15)形成了函数ϕ 1 m ,···,ϕ mm 的一阶常微分方程,有
 
   矩阵的元素a ij 满足
 
   或
 
   该矩阵是可逆的(见文献[84,引理3]).为此我们得到方程
 
   
    其中
     .由常微分方程理论,在某个时间段[0,T]上,这个方程存在最大解.
    .由常微分方程理论,在某个时间段[0,T]上,这个方程存在最大解.
   
    下面我们将得到
     的一些先验估计.估计
    的一些先验估计.估计
     ∈
    ∈
     (0,T;V )∩
    (0,T;V )∩
     (0,T;V )将在下节给出,这里先给出
    (0,T;V )将在下节给出,这里先给出
     ∈
    ∈
     (0,T;V )的估计.
    (0,T;V )的估计.
   
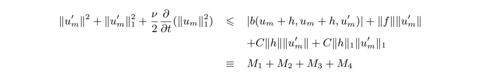
    在方程(2.1.15)上乘以
     并对j=1,···,m,求和,我们有
    并对j=1,···,m,求和,我们有
   
 
   然后我们得到
 
   运用(2.1.4)、Hölder不等式、Ladyzhenskaya不等式 [82,85,86] 、Sobolev不等式 [87] 和Young不等式,推出
 
   和
 
    
   对上式关于时间积分,
 
   
    因为
     (0,T;V )∩
    (0,T;V )∩
     (0,T;V )且
    (0,T;V )且
     ,
    ,
     是有限的,可以推出
    是有限的,可以推出
     ∈
    ∈
     (0,T;V ).从而有
    (0,T;V ).从而有
     ∈
    ∈
     (0,T;V )⊂ C([0,T],V ).令m→∞,我们得到了方程(2.1.13)存在一弱解.
    (0,T;V )⊂ C([0,T],V ).令m→∞,我们得到了方程(2.1.13)存在一弱解.
   
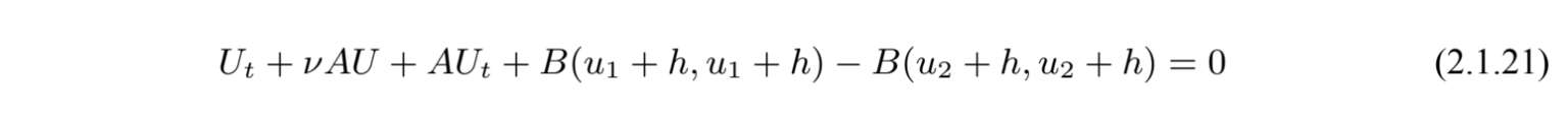
    唯一性的证明是经典的:假设
     具有相同初值方程(2.1.11)的解,令U(t)=
    具有相同初值方程(2.1.11)的解,令U(t)=
     −
    −
     ,则U(t)满足方程
    ,则U(t)满足方程
   
 
   方程两边关于U(t)做内积,运用(2.1.4)、Hölder不等式、Ladyzhenskaya不等式、Sobolev不等式和Young不等式,有
 
   可以推出
 
   应用Gronwall引理,我们推出方程解的唯一性,同时得到u(t)∈V连续依赖初值.
    由映射
     +h(t,w)可以定义一随机流函数ϕ(t,w),其满足
    +h(t,w)可以定义一随机流函数ϕ(t,w),其满足
   
 
   
    下面证明在0时刻存在随机吸收集K(w).令B是V中的有界集,对
     ,u是方程(2.1.11)~(2.1.12)的解且u
    
     s
    
    =v
    
     s
    
    −h(s,w).
    ,u是方程(2.1.11)~(2.1.12)的解且u
    
     s
    
    =v
    
     s
    
    −h(s,w).
   
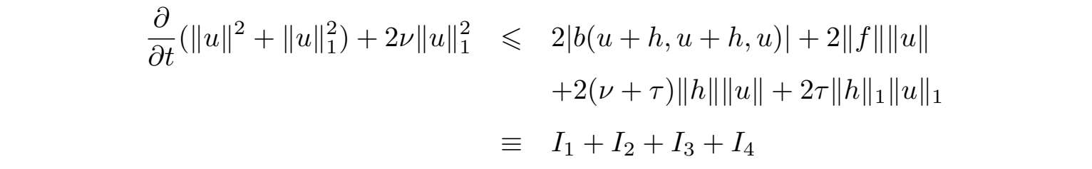
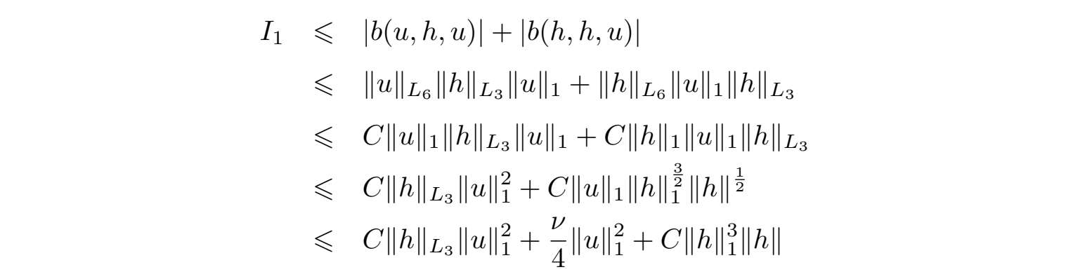
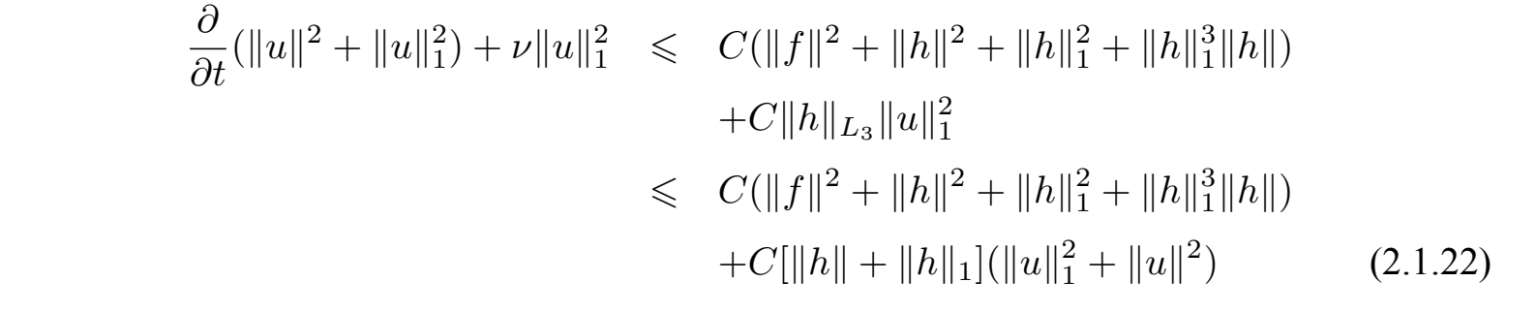
对方程(2.1.11)关于u做内积,得到
 
   运用(2.1.4)、Hölder不等式、Ladyzhenskaya不等式、Sobolev不等式和Young不等式,可得
 
   和
 
   我们得出
 
   由Poincaré不等式不难看出
 
   
    其中
     :=
    :=
     ,由(2.1.22)可得
    ,由(2.1.22)可得
   
 
    
   
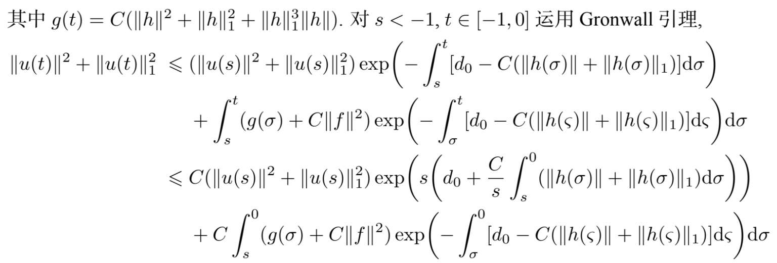
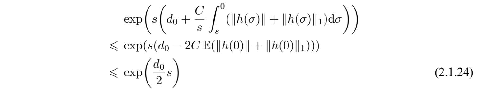
    因为h(t)是取值于D(A) ⊂
     ⊂ H的遍历过程,当s→−∞时,我们有
    ⊂ H的遍历过程,当s→−∞时,我们有
   
 
   于是存在s 0 (w),使得当s < s 0 (w)时,
 
   并且当τ足够大时,
 
   可以任意小,因此
 
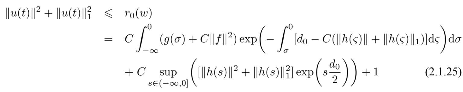
   类似文献[88],我们有g(s)至多按多项式增长,又g(t)与指数衰减的函数相乘,由此可知上式积分存在.我们得到存在依赖B和w的时刻s 1 (w,B),满足当s < s 1 (w,B),t∈[−1,0]时,下式成立.
 
   
    记K(w)是V中半径为
     的球,我们得到对V中任意有界集B,存在
    的球,我们得到对V中任意有界集B,存在
     ,满足当s <
    ,满足当s <
     时,
    时,
   
 
   这就意味着在0时刻存在吸收集K(w).为了得到全局随机吸引子,需要对紧性进行研究.
我们有下面渐近紧的一些结论.
定理2.1.2 [8,11,89] 若半群S(t):V→V能被分解成
 
   
    其中Z(t)是V中的紧算子,若存在连续函数k:
     ×
    ×
     满足R>0,当t→∞时,k(t,R)→0且有
    满足R>0,当t→∞时,k(t,R)→0且有
   
 
   成立,则有S(t):V→V,t⩾0是渐近紧的.
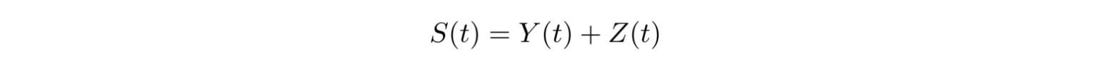
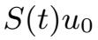
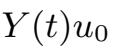
定理2.1.3 方程(2.1.11)生成的半群S(t)在空间V中渐近紧.
    
     证明
    
    :令
     ∈V .我们首先将S(t)分解成
    ∈V .我们首先将S(t)分解成
     =
    =
     +
    +
     ,其中Y (t)是由以下方程生成的半群
    ,其中Y (t)是由以下方程生成的半群
   
 
   
    然后有z(t)=
     是以下方程的解
    是以下方程的解
   
 
   其中u方程(2.1.11)具有初值u 0 的解.
对方程(2.1.27)两边关于y做内积,由文献[44]可得半群Y (t):V→V是指数压缩的.
    由Hölder不等式和Sobolev不等式,有
     ⩽
    ⩽
     和
    和
     ⩽
    ⩽
     ⩽
    ⩽
     ⩽
    ⩽
     .这里我们仅验证
    .这里我们仅验证
     ,其他类似.
    ,其他类似.
   
 
    
   
    由上述不等式和文献[44]的命题3.1 可知,(2.1.27)的解属于
     ,这意味着算子Z(t)映V入
    ,这意味着算子Z(t)映V入
     .又因嵌入
    .又因嵌入
     ⊂ V是紧嵌入,由定理2.1.2 可知S(t)是渐近紧的.
    ⊂ V是紧嵌入,由定理2.1.2 可知S(t)是渐近紧的.
   
定理2.1.4 三维随机Navier-Stokes-Voight方程(2.1.1)~(2.1.3)具有全局随机吸引子.
证明 :因h(t)是D(A) ⊂ V值的,由嵌入定理和定理2.1.3 可得随机流φ对P-a. e. w在V中是渐近紧的.由定理1.1.2 我们得到存在全局随机吸引子A(ω),其吸收任意一个非随机有界集B ⊂ V .
注 2.2: 若进一步假设v0∈D(A),对方程(2.1.11)两边关于Au(t)做内积,我们也将得到在 空间V 2 中存在随机全局吸引子.