购买
下载掌阅APP,畅读海量书库
立即打开
畅读海量书库
扫码下载掌阅APP

3.1 重点功能和定义

3.1.1 归一化视场和光瞳

在这里通常需要用到四个参数,其中H x ,H y 代表x,y方向的视场坐标,P x ,P y 代表x,y方向的光瞳坐标,这种坐标采用的是归一化的方式。所谓归一化表示每个数值的最小值是-1,最大值1。

例如,物方视场最大高度是20 mm,H y =0.5,表示物方高度为10 mm。同理P y =0表示光瞳中心。对于视场也是一样:

实例文件03-01:Normalized.cax(图3-1)

图3-1

图3-1中左侧为光束起始的物点,其X,Y方向用H x ,H y 表示,中间为系统的光瞳,其X,Y方向用P x ,P y 表示。

在CAXCAD软件中,有很多地方都需要用到归一化视场和孔径,例如光线追迹,应用最多的情况还是在优化过程中对评价函数的控制,很多评价函数(图3-2)需要指定特定的光线,这时就需要输入归一化视场和光瞳数据H x ,H y ,P x ,P y

图3-2

3.1.2 渐晕

渐晕的产生是由于镜片的孔径限制或者边缘全反射等导致特定视场的光束被部分遮挡,对应视场的光照度发生变化,这一点会影响成像面中心和边缘的能量对比。光线被遮挡后,在光瞳上,光的分布减小并且中心会发生改变。这时就需要使用渐晕因子来对光线坐标的位置和角度进行调整,以确保准确的光束可以被计算。

FVDX,FVDY分别表示X,Y方向的中心位置调整。

FVCX,FVCY分别表示X,Y方向的光束大小缩放。

X,Y最终的光瞳坐标分别是:

P' x =FVDX+P x (1-FVCX)  (3.1)

P' y =FVDY+P y (1-FVCY)  (3.2)

P x 和P y 表示原有的光瞳坐标。

在双高斯镜头实例中,将第三个面的有效半口径固定为20 mm(图3-3):

实例文件03-02:Vignetting.cax

图3-3

因图形底部大视场的部分光线无法进入光瞳,导致光束无法充满整个光瞳(图3-4)。此时被遮挡部分的光线是无法正常进入光学系统的,需要设置渐晕因子来调整对应的光束:

图3-4

在视场设置的顶部,有一个可以设置渐晕的按钮SETVIG,点击这个按钮,渐晕因子将会被自动设置,如图3-5所示。

图3-5

设置渐晕因子后,系统的光束传输正常,确保了光束分析结果的正确(图3-6):

图3-6

3.1.3 光线瞄准 Ray Aiming

对于视场角较小的光学系统来说,光学的入瞳决定了入射光束的位置和大小。此时,通常采用一阶光学或近轴光学的入瞳来决定就可以,默认情况下,CAXCAD软件都是这样处理的。而对于有些大角度的光学系统来说,当大视场角度的光线按照近轴计算的入瞳坐标进入系统的时候,会和实际的入瞳位置相差很大,从而导致光束无法找到近轴光瞳(图3-7)。

实例文件03-03:Wide angle lens 100 degree field.cax

图3-7

所以要让光线能够正确地打在指定的入瞳坐标上,就需要用到光线瞄准。

Fast Ray Aiming(图3-8)和Enhanced Ray Aiming是以往常用到的光线瞄准方法,不需要设置渐晕,可是每根光线都需要进行迭代计算,虽然可以达到同样的瞄准效果,但是计算时间会相应增加。两者之间Fast Ray Aiming是推荐使用的方法,因为相较Enhanced Ray Aiming,Fast Ray Aiming迭代的次数会相对较少,速度也会有所提升。

图3-8

CX Ray Aiming(图3-9)的方法,可以让光线快速地进行瞄准,配合设置渐晕就可以完成光线的瞄准任务,如图3-10所示。

图3-9

图3-10

CX Ray Aiming方法是CAXCAD独创的方法,这种方法的好处是光线不需要进行任何的迭代计算,对于光学系统来说,优化和分析的速度都获得了很大的提升,如图3-11所示。

图3-11

当使用光线瞄准后,光阑的尺寸可以指定为近轴光阑(Paraxial)或真实光阑(Real)。

3.1.4 系统孔径 System Aperture

在成像镜头中,有一个限制光束进入镜头大小的器件,这个经常会被使用到的圆孔就被称为光阑。它可以是一个实际独立的元件,也可以是镜头表面的边缘,在前面内容中已经提到过光阑(STOP)在物方所成的虚像——入瞳才是真正限制光束的孔。入瞳仅是系统孔径的一种,CAXCAD一共提供了6种不同的孔径类型如图3-12,表3-1所示。

图3-12

表3-1

以上6种不同类型的系统孔径在本质上是相同的,设置孔径和数值还可以直接使用系统孔径的宏指令(表3-2)。

表3-2

续表

3.1.5 波长 Wavelength

使用快捷键F2打开波长设置,针对多波长的系统都有一个主波长,系统焦距等主要的参数都是以主波长进行计算的。在波长设置窗口中(图3-13),主波长可以进行更改,400~760 nm可见光内的波长范围,窗口的右侧会标记出对应光的颜色(图3-14)。紫外和红外波段将显示黑色,表示光线无法可见。

图3-13

图3-14

3.1.6 视场 Field

使用快捷键F3,打开视场设置,点击窗口顶部的按钮可以设置和删除渐晕,并且RESET可以重置为默认视场。顶部标题处会显示当前视场的类型,如图3-15所示。

图3-15

在视场的设置窗口(图3-16)中,有4种视场类型可以选择,如表3-3所示。

图3-16

表3-3

设定视场数据有两种快速方式,一种是均匀面积法,另外一种是均匀视场采样法。

3.1.7 求解 Solve

求解是镜头参数的快速调整方法,支持曲率半径、中心厚度等表面参数的快速计算。不同的参数支持不同的求解类型。使用比较多的是曲率半径和厚度求解。同时对于大多数参数来说,都支持参数数值的跟随操作。

在镜头的像面距离厚度上进行边缘光线求解(图3-17),可以快速找到的焦点位置。

图3-17

在镜头最后一个面的曲率半径上定义F/#的求解(图3-18),可以改变这个曲率半径,从而固定镜头的F/#。

图3-18

CAXCAD除了提供以上的功能外,还针对系统优化、离轴坐标断点面和公差分析等提供支持,这些功能将在后续章节及实例中详细说明。

3.1.8 表面类型 Surface Type

表面类型是构建透镜结构参数中的一部分,会直接影响光束传输的折射或反射。光学设计的一个重要目标就是设计符合要求的表面形状,这个表面是以公式和参数进行定义的,如图3-19所示。

图3-19

CAXCAD支持多种表面类型,包括球面、圆锥非球面、高次非球面、衍射光栅面等,同时用户可以编写自定义的DLL面型等。每个表面类型的参数设置,都可以通过透镜数据编辑器LDE进行。

表面类型列表见表3-4。

表3-4

这里对两种最常用的表面类型进行说明:

(1)标准面类型图(图3-20):

图3-20

标准面类型的矢高公式:

这里的c表示曲率,它是曲率半径的倒数,r表示孔径的高度,k是二次曲面系数,也就是通常所说的偏心率。

例如:可以利用椭圆的横轴a和纵轴b来表示二次曲面系数:

由k的数值可以判断二次表面的类型:

k >0 竖椭圆

k=0 圆

-1<k <0 横椭圆

k=-1 抛物面

k <-1 双曲面

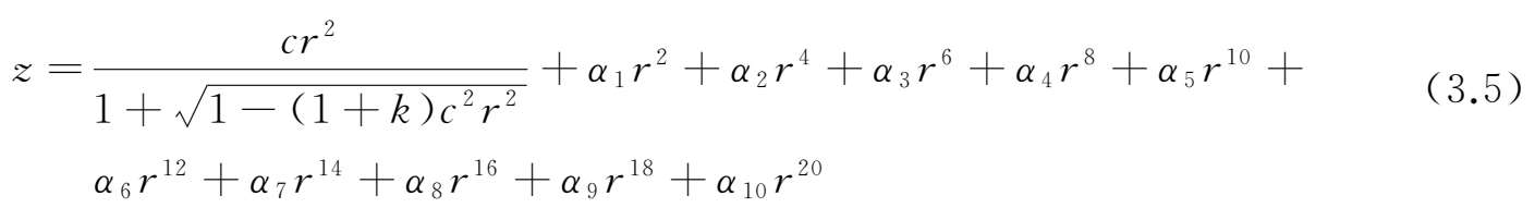
(2)偶次非球面矢高公式

偶次非球面是在标准面的基础上,增加偶次多项式,这样矢高就可以随着孔径的变化具有更高次或更多的变化。

3.1.9 光线追迹 Ray Trace

CAXCAD软件提供了近轴和真实光线追迹的功能。在分析菜单Analysis-Diagnostics Ray Trace里可以利用归一化的视场和孔径,计算任意光线的路径,如图3-21所示。

图3-21 oWo0sLpDVFlPTmPYFPEY7yrk8bFrlqC2Pzaevdc/pWN3MxhaGQLhVdKg0hplLhxn

点击中间区域
呼出菜单
上一章
目录
下一章
×