



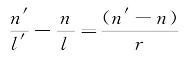
单个球面折射光路计算公式:
单个球面反射光路计算公式:
其中l和l'表示物距和像距,n和n'表示物像空间折射率,r为球面曲率半径。
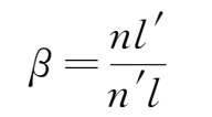
垂轴放大率:
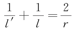
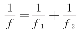
理想光学系统的物像位置公式:
其中f'为光学系统的焦距。
理想光学系统的组合光焦度:
其中Ф 1 和Ф 2 表示两个镜片的光角度,d为两个镜片的距离
薄透镜光焦度:
cv 1 和cv 2 表示两个面的曲率。
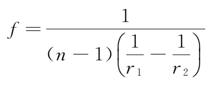
薄透镜焦距计算:
r 1 和r 2 表示两个面的曲率半径。
两个薄透镜焦距组合公式:
利用CAXCAD软件中的理想透镜,可以验证和求解经典的理想光学系统,下面利用实例进行操作。
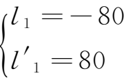
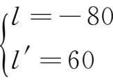
实例01 :一个薄透镜对某一物成实像,放大率为-1×,今以另一个薄透镜紧贴在第一透镜上,则见像向透镜方向移动20 mm,放大率为原先的3/4倍,求两块透镜的焦距为多少?
利用高斯公式和组合焦距公式,设两个透镜焦距分别为f' 1 、f' 2 ,l 1 、l' 1 是第一个透镜成像时的物像距,l、l'是两个透镜组合系统成像时的物像距。根据已知条件可列出如下方程组:
分别将
和
代入公式
-
=
=Ф
i
,可得Ф
1
=1/40,Ф =7/240,对于薄透镜有Ф =Ф
1
+Ф
2
成立,故可得知Ф
2
=Ф-Ф
1
=1/240,即f'
1
=40 mm,f'
2
=240 mm
利用两个理想透镜建立系统:
图1-35
理想表面面型的数据和扩展数据如图1-35和图1-36所示,主要用来展示理想透镜的焦距(Focal Length)。
图1-36
图1-37中左右两端分别是物像点,第一个平面表示焦距为40 mm的理想透镜,第二个表示焦距为0或无穷大的理想透镜,对应图1-36的表面数据。
图1-37
将第二理想透镜焦距设定为240(图1-38):
图1-38
像面移动20 mm(图1-39):
图1-39
光学系统外观(图1-40):
图1-40