



尽管现代静脉麻醉药输注系统取得了明显的进步,但与吸入麻醉药的挥发装置相比,无论在理论还是在实际应用的方便程度上都存在着较大差距。输注系统发展的近期目标就是使输注系统达到与挥发罐那样的临床方便程度和药动学-药效学的准确性。要实现这一目标,必须将现代药动学-药效学的概念与计算机控制的输注系统相结合。
靶目标控制输注技术(target controlled infusion,TCI)又称为靶控输注、计算机辅助持续输注(computer assisted continuous infusion,CACI)和计算机控制输注泵(computercontrolled infusion pump,CCIP)等,是由药物动力学理论与计算机技术相结合而产生的给药方法,能快速达到并维持设定的血浆或效应部位药物浓度,并根据临床需要随时调整给药。
静脉麻醉药输注系统的发展历程是一个相对缓慢而漫长的过程,其主要的发展历程跨越了4 个世纪。在1657年英国的Christopher Wren 首次用羽毛茎将鸦片注射到人体静脉后,人们初步认识了循环系统,并通过静脉途径给药。2 个多世纪以后,法国的Rynd 发明了带注射器的真空针头,使得静脉给药更为方便。随着对循环系统和经静脉途径给药的进一步认识,初期输注系统的发展主要集中在如何准确地输注液体。注射器与依靠重力驱动的输注装置的结合是很长一段时间内主要依赖的输注方式。20 世纪80年代,人们开始微机辅助输液泵的研究工作。Schuttler 设计了最早的微机辅助输液泵,并且用于阿芬太尼与依托咪酯麻醉的维持取得成功。Alvis 等根据芬太尼三室药物动力学模型设计了计算较为周密的微机辅助输液泵系统,他们将其用于冠状动脉手术麻醉的诱导与维持,血药浓度实测值与微机预期值之间获得良好相关,而且芬太尼用量少、血流动力学稳定。TCI 的发明将输注系统的发展推向了高潮。
对于TCI,目前的研究主要致力于如何将计算机辅助输注技术与现代药动学-药效学完美结合,以达到预期的药效动力学效果。由此,以现代药动学的房室模型理论为基础,将群体药动学参数嵌入程序中控制输注系统,随时调整输注速率,并通过计算分析获得相应的靶血浆或靶效应室药物浓度已成为现实。输注泵经过计算的输注速率应该与使用者所希望达到的预期血浆药物浓度或效应室浓度相一致(“open-loop” control)。
TCI 系统的硬件包括输注泵、控制输注泵运转的微机以及当微机发生错误时关闭系统的安全机制。软件包括药动学模型以及与药物输注有关的特殊参数(图4-10)。
图4-10 靶控输注系统的组成
TCI 分为闭环式(closed loop)和开环式(open loop)2 种。两者的不同在于闭环输注系统有自动反馈调节,可将机体对药物的实时反应如肌肉松弛程度、心率、血压等变化及时反馈,并根据这种反馈效应改变药物的输注速率。开环输注系统是由医师根据临床需要实施药物效应的目标输注。在闭环控制输注期间,反馈效应是由监护设施完成的,例如周围神经刺激器或者脑电图等。相比而言,对于开环输注系统,反馈信号是根据房室模型所计算的预期血浆药物浓度。对于这2 种输注方式,计算机控制的规则是考虑在调定点和反馈信号以及所产生的控制信号方面的不同。这种控制信号可改变泵的指令,以获得期望的调定点。
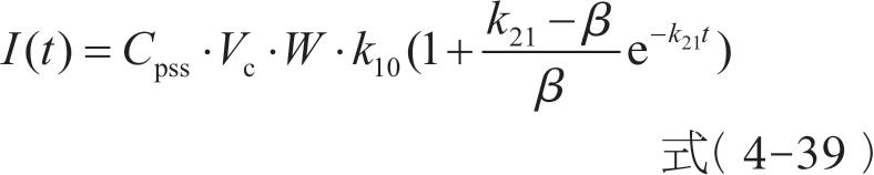
Schwilden 于1983年首次报告运用计算机辅助指数衰减输注方式进行依托咪酯和阿芬太尼静脉麻醉。其方法是采用二室线性药代动力学模型,为达到一定的目标血药浓度,首先快速推注一个初始剂量(initial bolus,B;又称负荷量loading dose),然后为补偿因药物消除(drug elimination,E)和向外周室转运(drug transferred,T)引起的血药浓度下降,以持续输注方式向中央室补充药物。这就是著名的BET方案。早期的研究通常采用BET 方案。
式中, C pss 表示预期目标稳态浓度; V c 表示中央室表观分布容积; W 表示患者体重应用中首先给予初始剂量,然后以指数衰减输注。将ET 部分合并,得:
当 t →∞时,药物在体内的分布达到稳态,房室之间的转运速率为0,输注速率恒定为药物的消除速率 E 。中央室的表观分布容积 V c 通常以L/kg 为单位,具体计算时应乘以相应的体重。
由于一些药物不允许快速静脉推注,国内段世明报道了基于二室模型而不需首次剂量的单纯指数衰减输注方案,在5 t 1/2α (分布半衰期)的时间内达到稳定的目标血药浓度,并始终维持。5 t 1/2α 相当于药物在静脉注射后自血液向全身分布并达到基本平衡的时间。除一室模型药物外,多数药物的分布半衰期明显短于消除半衰期,因此该方法大大缩短了达到稳态浓度的时间。其输注速率:
式中, β 为消除半衰期。此方案同样可以较快速地达到并维持一定的目标浓度。
任何TCI 系统在投入应用之前,必须对其性能进行测试和评价。系统性能评测通常采用计算机模拟的预期浓度与实际血药浓度的一致性分析。TCI 系统的精确性以预期浓度(
C
p
)与实测浓度(
C
m
)的误差来衡量,对于每个实测浓度与预期浓度的误差用执行误差(performance error)的百分数(
PE
%)表示。计算公式为
对于系统效果的评价,通常用以下指标:
代表达到预期浓度系统的误差。偏离可以用中位执行误差(median performance error,MDPE),即执行误差的中位数表示。
代表达到预期浓度所期望的测定值的误差。不准确度用中位绝对执行误差(median absolute performance error,MDAPE),即执行误差绝对值的中位数表示。
代表一定时间内的执行效果的稳定度,用每小时的执行误差的绝对值(APE)变化表示。
代表执行误差的易变性。摆动用中位绝对偏差(median absolute deviation of the performance error from the MDPE,MDADPE),即执行误差相对于MDPE的偏差绝对值的中位数表示。
TCI 系统控制程序的主要功能就是通过控制输注泵的给药速率,使计算机模拟的预期浓度趋近于实测浓度。有许多因素可对TCI 系统产生影响,从而导致系统出现偏离或摆动。
影响TCI 系统的精确性的因素主要有:
传统的药物动力学研究方法以单剂量注射给药后连续采样进行分析,然而以持续滴注给药或坪浓度给药所得的参数与传统方法差异较大。因此,有人认为药物动力学参数估算时的给药方式应尽量与TCI的给药方式一致,所得的参数才会更加满意。
应用TCI 系统于临床药物治疗之前,要对系统的机械精度进行校正,即测定预计输出的药液体积与实际输出的药液体积是否一致。通常在解决问题的算法正确的前提下,软件和硬件引起的偏差较小。血液样品的检测精度也会影响药物动力学参数和执行误差的计算。
患者的个体差异包括患者个体参数与群体参数间的差异和患者在不同的生理病理状况下自身的变异。利用群体药物动力学参数进行TCI,个体间变异所致的误差不可避免。
尽管开环TCI 对于输注系统而言,向着“挥发罐”的概念已经取得了很大的进步,但仍然面临着许多难题。
由于使用的强效静脉麻醉药是溶解或悬浮在小容量的液体中的,所以无论开环或闭环输注系统,输注泵必须能够准确、微量地输注所期望的溶液量。现代的微量泵在计算机控制下,输注速率最快每5~30 秒可改变1 次,且输注误差在5%~10%,基本符合了对输注泵精度的要求。然而计算机需要的是以秒为单位的输注速率,而现有的输注泵在机械性能方面仍未达到真正的恒定持续输注,瞬时流量误差常随时间出现积累。
TCI 系统的正确使用基于药物动力学参数的准确性,现有的药物动力学计算方法使用的是研究一部分患者或志愿者的方法,可能并不能代表所有的群体药动学。至于药效学,已有的研究表明,由于麻醉方法的差异、所用麻醉药的差异、静脉麻醉药的相互作用等因素的存在,静脉麻醉药或镇痛的浓度范围(治疗窗)差异在几倍到十几倍。
由于控制参数的取样时间频繁,闭环控制输注无疑在临床麻醉中更能精确地反映患者的生理变化,但是目前缺乏能同时测定镇静、镇痛和肌松、应激反应等麻醉要素的设备。
因此,如何解决这些问题是闭环控制输注系统的临床应用所面临的重要难题。不容置疑,将来TCI 在计算机化的输注技术、药理学和新药开发等方面都会有很大的发展。
最佳控制输注系统应符合以下几个要求:①控制系统必须提供可接受的系统性能,包括诱导时间(即达到靶浓度的时间)、超射的浓度和程度、达到稳态的时间、稳态时摆动的程度、靶浓度与实测浓度的最大差值。②控制系统必须能够对输注期间的一些特殊情况作出相应的调整,如注射器的更换或者人为使反馈信号中断(如断电时泵关闭)等。③控制系统的控制机制还必须说明血浆与效应室之间的非平衡问题。尽管许多TCI 采用的靶浓度是血浆药物浓度,但效应室浓度作为靶浓度更符合逻辑。当血浆药物浓度作为靶浓度时,许多药物的作用会发生明显的延迟效应(即血浆药物浓度明显滞后于效应时的药物浓度)。而将效应室浓度作为靶浓度时,就可较快地获得药物作用部位的治疗浓度。