



前面我们说过,我们能够把任意一个自旋态表示成基底
和
的线性组合。现在我们尝试对矢量
和
做类似的处理,它们代表的是
x
轴的方向。先从
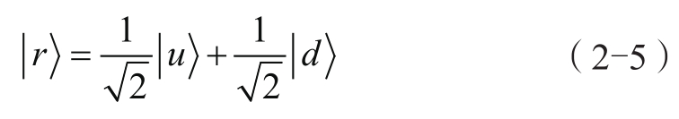
开始。在第1讲的内容中,如果装置
初始制备出了一个态
,然后旋转去测量
σ
z
,测量结果一定是“向上”和“向下”的概率相等。所以
和
都要等于1/2,满足这一点的矢量如下:
粗看起来,这样的选择有点任意,但后面我们能够看到,其中的任意性不会超过对 x 轴和 y 轴方向选择的任意性。
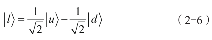
接着我们来看看矢量
。我们知道,当自旋被制备到向左时,测量结果显示,
σ
z
向上和向下的概率依然是各为1/2。但这样还不够,还要有额外的条件来决定
和
的数值。前面我讲过为什么说
和
是正交的,因为当自旋向上时,它绝对不会同时向下。而所谓向上和向下这个方向并没有什么特殊的,向左和向右也是如此。具体来说,如果自旋是向右的,那么测量到它向左的概率为0。用公式2-3类推可以得到:
如此就能确定
的形式为:
练习2-1:
证明公式2-5中矢量
与式2-6中的
正交。
我们对
的选择依然存不确定性,这叫作相位任意性(phase ambiguity)。假设在
上乘以一个任意的复数
z
,这不会影响到它和
的正交关系,但一般来说将破坏归一性(也就是模的长度为1)。但如果选择
z
=e
i
θ
(其中
θ
是任意实数),归一化就不会受到影响了,因为e
i
θ
本身具有单位长度,那么
依然等于1。由此,具有
z
=e
i
θ
形式的复数被称为相因子,这种不确定性就叫作相位任意性。后面我们会发现,所有可以测量的物理量对全局的相因子都不敏感,所以我们在描述一个态的时候往往会忽略相因子。