



地球的形状呈东西方向长、南北方向短的梨形,通过地轴的平面在地球表面的切痕为椭圆。因此,地球的数学模型可以表述为椭圆绕地轴旋转的椭球体。旋转椭球体一般用赤道长半径、极轴短半径和扁率3个指标描述。到目前为止,全球采用的旋转椭球体模型共10余种,表2-1为常用坐标系下的旋转椭球体参数。根据体积相等的原则,把各种椭球体模型均一化以后,地球模型被简化为球体,其平均半径约为6371km。
表2-1 常用坐标系下的旋转椭球体参数
国际民用航空组织规定,全球民航于1998年1月1日开始统一采用WGS-84(world geography system-84)坐标系。我国在1975年以前采用从苏联引进的克拉索夫斯基椭球体,建立了北京-54坐标系;1975年以后公布的测绘资料采用IAG-75(International Association Geodesy-75)椭球体,建立了西安-80坐标系。
远距导航常采用以地球为中心的坐标系,主要有两种坐标系:一种是以地心为坐标原点的空间直角坐标系——地心坐标系;另一种是地球球面坐标系,又称地理坐标系,常用地理坐标系表示方式为( L , λ , h )3个字母分别代表纬度、经度、高度。这两种坐标系都和飞机位置有一一对应的关系。
空间直角坐标系如图2-1所示,其坐标原点在旋转椭球体的中心, Z 轴和地球自转轴重合,正向沿地球自转方向, X 轴和 Y 轴在赤道平面内, X 轴穿过本初子午线, Y 轴穿过东经90°子午线。
图2-1 空间直角坐标系
若已知飞机所在位置的纬度 L 和经度 λ ,飞机飞行高度为 h ,在假设地球是球体的前提下,由图2-1可知,飞机在地球直角坐标系中的坐标为
式中, R L 为将地球看作正球体时的半径,其值为6371393m。
由于地球实际上是椭球体,为了更好地描述飞机在椭球体上的位置,通常采用以下公式描述地理坐标系和空间直角坐标系的关系。
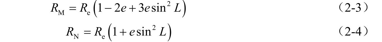
式中, R N 为卯酉圈曲率半径。
子午圈和卯酉圈的定义如图2-2所示。
图2-2 子午圈和卯酉圈的定义
在图2-2中,设 P 点为地球椭球面上的一点, n 为 P 点处的椭球面的法线,直线 NS 为椭球面的对称轴,过 P 点作 NS 的垂直截面,该截面所得到的平面曲线 lPl 称为过 P 点的纬圈。过 P 点和直线 NS 作一个截面,所得到的平面曲线 mPm 称为过 P 点的子午圈(经圈)。过 P 点作纬圈 lPl 的切线 tPt ,切线 tPt 和法线 n 形成的截面所得到的平面曲线 rPr 称为 P 点的卯酉圈。 P 点所在子午圈的曲率半径 R M 和 P 点所在卯酉圈的曲率半径 R N 称为旋转椭球面在 P 点的主曲率半径。 R M 与 R N 的计算公式分别为式(2-3)和式(2-4),即