



晶闸管是晶体闸流管的简称,又称为可控硅整流器,以前被简称为可控硅,是最早出现的电力电子器件之一,属于半控型电力电子器件。1956年美国贝尔实验室发明了晶闸管,1957年美国通用电气公司开发出世界上第一只晶闸管产品,并于1958年达到商业化。由于其导通时刻可以控制,而且各方面性能均明显胜过汞弧整流器,因而立即受到普遍欢迎,从此开辟了电力电子技术迅速发展和广泛应用的崭新时代,其标志就是以晶闸管为代表的电力半导体器件的广泛应用。自20世纪80年代以来,晶闸管的地位开始被各种性能更好的全控型器件所取代,但是由于其所能承受的电压和电流容量仍然是目前电力电子器件中最高的,而且价格低、工作可靠,因此在大容量、低频的电力电子装置中仍占主导地位。
晶闸管这个名称往往专指晶闸管的一种基本类型,即普通晶闸管。但从广义上讲,晶闸管还包括许多类型的派生器件,如快速、双向、逆导、门极关断及光控等晶闸管。
晶闸管是一种四层半导体三个PN结的三端大功率电力电子器件,其外形、结构和电气符号如图2-4所示。
图2-4 晶闸管外形、结构和电气符号
从外形上看,晶闸管主要有螺栓型和平板型两种封装结构,均引出阳极A、阴极K、门极(控制极)G三个连接端。对于螺栓型封装,通常螺栓是阳极,制成螺栓状是为了与散热器紧密连接,且安装方便,另一侧较粗的端子为阴极,细端子为门极。螺栓型结构散热效果较差,一般用于允许电流小于200A的元件。平板型封装的晶闸管可由两个散热器将其夹在中间,两个平面分别是阳极和阴极,引出的细长端子为门极。平板型封装散热效果好于螺栓型结构可用于允许电流在200A以上的元件。冷却散热器的介质可分为空气和水,冷却方式分为自冷、风冷和水冷。风冷和水冷都是强迫冷却,由于水的热容量比空气大,所以在大容量或一定容量却需要减小散热器体积的情况下,采用水冷方式。
晶闸管内部是PNPN四层半导体结构,分别命名为P 1 、P 2 、N 1 、N 2 四个区。P 1 区引出阳极A,N 2 区引出阴极K,P 2 区引出门极G。四个区形成J 1 、J 2 、J 3 三个PN结。当门极不加电压时,AK之间加正向电压,J 1 和J 3 结承受正向电压,J 2 结承受反向电压,因而晶闸管不导通,称为晶闸管的正向阻断状态,也称为关断状态。当AK之间加反向电压时,J 1 和J 3 结承受反向电压,晶闸管也不导通,称为反向阻断状态。因此可得出结论:当晶闸管门极不加电压时,无论AK之间所加电压极性如何,在正常情况下,晶闸管都不会导通。
为了说明晶闸管的工作原理,可将晶闸管的四层结构等效为由P 1 N 1 P 2 和N 1 P 2 N 2 两个晶体管V 1 和V 2 构成,如图2-5所示。可以看出,这两个晶体管的连接特点是:一个晶体管的集电极电流就是另一个晶体管的基极电流。当GK之间加正向电压时,AK之间也加正向电压,电流 I G 流入晶体管V 2 的基极,产生集电极电流 I C2 ,它构成晶体管V 1 的基极电流,放大了的集电极电流 I C1 ,进一步增大V 2 的基极电流,如此形成强烈的正反馈,使V 1 和V 2 进入饱和导通状态,即晶闸管导通状态。此时,若去掉外加的门极电流,则晶闸管因内部的正反馈会仍然维持导通状态。所以晶闸管的关断是不可控制的,而若要使晶闸管关断,则必须去掉阳极所加的正向电压,或者给阳极施加反向电压,也可以设法使流过晶闸管的电流降低到接近于零的某一数值以下。因此,对晶闸管的驱动过程更多的是触发,产生注入门极的触发电流 I G 的电路称为门极触发电路。也正是由于通过其门极只能控制其导通,不能控制其关断,所以晶闸管才被称为半控型器件。
图2-5 晶闸管的等效电路
设晶体管共基极电流放大倍数为 α ,按照晶体管的工作原理,可列出以下方程:
式中, α 1 和 α 2 分别是晶体管V 1 和V 2 的共基极电流放大倍数; I CBO1 和 I CBO2 分别是晶体管V 1 和V 2 的共基极漏电流。由式(2-1)~式(2-4)可得
晶体管的特性是在低发射极电流下 α 是很小的,而当发射极电流建立起来之后, α 迅速增大。因此,在晶体管阻断状态下,即 I G =0时, α 1 + α 2 是很小的。由式(2-5)可知,此时流过晶闸管的漏电流只是稍大于这两个晶体管漏电流之和。当门极有电流注入使各个晶体管的发射极电流增大以致 α 1 + α 2 趋近于1时,流过晶闸管的阳极电流 I A 趋近于无穷大,使得器件饱和导通。由于外电路负载的限制, I A 实际上会维持在某个有限值。
通过理论分析和实验验证表明:
1)只有晶闸管阳极和门极同时承受正向电压时,晶闸管才能导通,两者缺一不可。
2)晶闸管一旦导通后,门极将失去控制作用,门极电压对管子以后的导通与关断均不起作用,故门极控制电压只要是有一定宽度的正向脉冲电压即可,这个脉冲称为触发脉冲。
3)要使已导通的晶闸管关断,必须使阳极电流降低到某一个数值以下。这可通过增加负载电阻降低阳极电流,使其接近于零,也可以通过施加反向阳极电压来实现。
另外,晶闸管在以下几种情况下也可能被触发导通:阳极电压升高至相当高的数值造成雪崩效应;阳极电压上升率d u /d t 过高;结温较高;光直接照射硅片,即光触发。这些情况除了由于光触发可以保证控制电路与主电路之间的良好绝缘而应用于高压电力设备中之外,其他都因不易控制而难以应用于实践。只有门极触发是最精确、迅速而可靠的控制手段。光触发的晶闸管称为光控晶闸管(Light Triggered Thyristor,LTT),将在晶闸管的派生器件中简单介绍。
1.静态特性
静态特性又称为伏安特性,指的是器件端电压与电流的关系。下面介绍晶闸管阳极伏安特性和门极伏安特性。
(1)晶闸管的阳极伏安特性 晶闸管的阳极伏安特性曲线如图2-6所示。晶闸管阳极伏安特性分为两个区域。第Ⅰ象限为正向特性区,第Ⅲ象限为反向特性区。在正向特性区,当晶闸管两端加正向电压且门极加触发信号时,晶闸管导通。而当 I G =0时,晶闸管处于正向阻断状态,只有很小的正向漏电流流过。如果正向电压超过临界极限正向转折电压 U bo ,则漏电流将急剧增大,器件由高阻线区经虚线负阻区到低阻区而导通。导通后的晶闸管特性与二极管正向特性相仿。随着门极电流的增大,正向转折电压降低。即使通过较大的阳极电流,晶闸管本身的压降也很小,在1V左右。导通期间,如果门极电流为零,并且阳极电流降至接近于零的某一数值 I H 以下,则晶闸管又回到正向阻断状态, I H 称为维持电流。
当晶闸管承受反向阳极电压时,由于J 1 和J 3 两个PN结处于反向偏置,器件处于反向阻断状态,只流过一个很小的漏电流。随着反向电压的增加,反向漏电流略有增大。一旦阳极反向电压超过一定限度,到反向击穿电压后,外电路如无限制措施,则反向漏电流急剧增大,导致晶闸管发热造成永久性损坏。
图2-6 晶闸管的阳极伏安特性
(2)晶闸管的门极伏安特性 晶闸管的门极触发电流是从门极流入晶闸管,从阴极流出的。阴极是晶闸管主电路与控制电路的公共端。门极触发电流也往往是通过触发电路在门极和阴极之间施加触发电压而产生的。从晶闸管的结构图可以看出,门极和阴极之间存在一个PN结J 3 ,其伏安特性称为门极伏安特性。门极伏安特性是指这个PN结上正向门极电压 U G 与门极电流 I G 间的关系。晶闸管门极伏安特性如图2-7所示。由于这个结的伏安特性有较大分散性,无法找到一条典型的代表曲线,只能用极限高阻门极特性和一条极限低阻门极特性之间的一个区域来代表所有器件的门极特性。在晶闸管的正常使用中,门极PN结不能承受过大的电压、过大的电流及过大的功率,这就是门极伏安特性区的上限,它分别用门极正向峰值电压 U FGM 、门极正向峰值电流 I FGM 、门极峰值功率 P GM 来表征。另外门极触发也有一个灵敏度问题,为了保证可靠、安全的触发,门极触发电路所提供的触发电压、触发电流和功率都应限制在晶闸管门极伏安特性曲线中的可靠触发区(为图中的AK-D-E-F-G-L-C-B-A区域)内,其中, U GT 为门极触发电压, I GT 为门极触发电流。
图2-7 晶闸管门极伏安特性
2.晶闸管的动态特性
在大多数电子电路分析中,都将晶闸管当作理想开关处理,而在实际运行时,器件导通及关断过程中,由于器件内部载流子的变化,器件的开与关都不是立即完成的,而是需要一定时间才能实现。器件上电压、电流随时间变化的关系称为动态特性。晶闸管突加电压或电流时的工作状态,往往直接影响电路的工作稳定性、可靠性及可运行性。特别是高频电力电子电路中更应该注意。晶闸管的动态特性如图2-8所示,图中给出了晶闸管导通和关断过程的波形。
图2-8 晶闸管的动态特性
(1)晶闸管的导通过程 晶闸管正常导通是通过门极,即在正向阳极电压的条件下,门极施加正向触发信号使晶闸管导通,使晶闸管由截止转变为导通的过程称为开通过程。如图2-8所示,描述的是使门极在坐标原点时刻开始受到理想阶跃电流触发的情况。在晶闸管处于正向阻断状态的情况下,突加门极触发信号,由于晶闸管内部正反馈过程及外电路电感的影响,晶闸管受触发后,阳极电流的增长需要一定的时间。从门极突加控制触发信号时刻开始,到阳极电流上升到稳定值的10%需要的时间,称为延迟时间 t d ;而阳极电流从10%上升到稳定值的90%所需要的时间,称为上升时间 t r ;延迟时间和上升时间之和,称为晶闸管的开通时间 t gt ,即
普通晶闸管的延迟时间为0.5~1.5μs,上升时间为0.5~3μs,延迟时间随门极电流的增大而减小。上升时间除反映晶闸管本身特性外,还受到外电路电感的严重影响。延迟时间和上升时间还与阳极电压的大小有关,提高阳极电压能够显著缩短延迟时间和上升时间。
(2)晶闸管的关断过程 晶闸管的关断方式通常采用外加反电压的方法,反电压可利用电源、负载和辅助换流电路来提供。图2-8描述的是对已导通的晶闸管,外电路所加电压在某一时刻突然由正向变为反向(如图中点画线波形)的情况。原处于导通的晶闸管当外加电压突然由正向变为反向时,由于外电路电感的影响,其阳极电流衰减时必然也有一个过渡过程。阳极电流将逐步衰减到零,然后同电力二极管的关断动态过程类似,会流过反向恢复电流,经过最大值 I RM 后,再反向衰减。同样,由于外电路电感的影响,会在晶闸管两端产生反向峰值电压 U RRM 。最终反向恢复电流减至接近于零,晶闸管恢复对反向电压的阻断能力。从正向电流降到0开始,到晶闸管反向恢复电流减小至接近于0的时间,称为晶闸管的反向阻断恢复时间 t rr 。反向恢复过程结束后,由于载流子复合过程较慢,晶闸管要恢复到具有正向电压的阻断能力还需要一段时间,故这一时间称为正向阻断恢复时间 t gr 。在正向阻断恢复时间内,如果重新对晶闸管施加正向电压,则晶闸管会重新正向导通,而这种导通不是受门极控制信号控制导通的。所以实际应用中,晶闸管应当施加足够长时间的反向电压,使晶闸管充分恢复到对正向电压的阻断能力,电路才能可靠工作。晶闸管的电路换向关断时间为 t q ,它是 t rr 与 t gr 之和,即
普通晶闸管的关断时间约为几百微秒。
要正确使用晶闸管,除了要了解晶闸管的静态、动态特性外,还必须定量地掌握晶闸管的一些主要参数。值得注意的是普通晶闸管在反向稳态下,一定是处于阻断状态的。而与电力二极管不同,晶闸管在正向电压工作时不但可能处于导通状态,也可能处于阻断状态。在提到晶闸管的参数时,断态和通态都是指正向的不同工作状态,因此“正向”二字可以省略。
1.晶闸管的电压参数
(1)断态不重复峰值电压 U DSM 断态不重复峰值电压是指晶闸管在门极开路时,施加于晶闸管的正向阳极电压上升到正向伏安特性曲线急剧拐弯处所对应的电压值,即断态最大瞬时电压。“不重复”表明这个电压不可长期重复施加。它是一个不能重复,且每次持续时间不大于10ms的断态最大脉冲电压(国标规定重复频率为50Hz,每次持续时间不超过10ms)。断态不重复峰值电压 U DSM 值应小于正向转折电压 U bo ,所留裕量大小由生产厂家自行规定。
(2)断态重复峰值电压 U DRM U DRM 是指晶闸管在门极开路而结温为额定值时,允许重复(每秒50次、每次持续时间不大于10ms)加在晶闸管上的正向断态最大脉冲电压。规定断态重复峰值电压 U DRM 为断态不重复峰值电压 U DSM 的90%。
(3)反向不重复峰值电压 U RSM U RSM 是指晶闸管门极开路,晶闸管承受反向电压时,对应于反向伏安特性曲线急剧拐弯处的反向峰值电压值,即反向最大瞬时电压。它是一个不能重复施加,且持续时间不大于10ms的反向脉冲电压。反向不重复峰值电压 U RSM 应小于反向击穿电压,所留裕量大小由生产厂家自行规定。
(4)反向重复峰值电压 U RRM 晶闸管在门极开路而结温为额定值时,允许重复(每秒50次、每次持续时间不大于10ms)加在晶闸管上的反向最大脉冲电压。规定反向重复峰值电压 U RRM 为反向不重复峰值电压 U RSM 的90%。
(5)额定电压 U R 通常取晶闸管的断态重复峰值电压 U DRM 和反向重复峰值电压 U RRM 两者中较小的标值作为器件的额定电压。
由于晶闸管在工作中可能会遇到一些意想不到的瞬时过电压,因此为了确保管子安全运行,在选用晶闸管时,应该使其额定电压为正常工作电压峰值 U M 的2~3倍,以作为安全裕量。
晶闸管产品的额定电压不是任意的,而是有一定的规定等级。额定电压在1000V以下时,每100V是一个电压等级;在1000~3000V时,每200V为一个电压等级。
(6)通态峰值电压 U TM U TM 是指额定电流时管子导通的管压降峰值,一般为1.5~2.5V,且随阳极电流的增加而略微增加。额定电流时的通态平均电压降一般为1V左右。
2.晶闸管的电流参数
(1)通态平均电流 I T(AV) 国标规定通态平均电流是晶闸管在环境温度为40℃和规定的散热冷却条件下,稳定结温不超过额定结温时所允许流过的最大工频正弦半波电流的平均值。将该电流按晶闸管标准电流系列取整数值,称为该晶闸管的通态平均电流,定义为晶闸管的额定电流。
与电力二极管的正向平均电流一样,这个参数是按照正向电流造成的器件本身的通态损耗的发热效应来定义的。因此在使用时同样应像电力二极管那样,按照实际波形的电流与晶闸管所允许的最大正弦半波电流所造成的发热效应相等(即有效值相等)的原则来选取晶闸管的此项电流定额,并应留一定的安全裕量(安全系数)。一般取其通态平均电流为按有效值相等的原则所得计算结果的1.5~2倍。
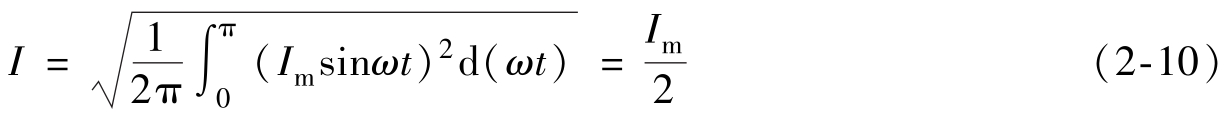
设单相工频半波电流峰值为 I m 时的波形如图2-9所示。
图2-9 晶闸管的通态平均电流
通态平均电流 I T(AV) (额定电流)为
正弦半波电流有效值为
晶闸管有效值与通态平均电流的比值
=1.57,(正弦半波平均值与有效值之比为1∶1.57),即额定电流为100A的晶闸管,其允许通过的电流有效值为157A。
在实际电路中,由于晶闸管的热容量小,过载能力低,因此在实际选择时,一般取1.5~2倍的安全裕量。故已知电路中某晶闸管实际承担的某波形电流有效值为 I ,则按式(2-11)选择晶闸管的额定电流(通态平均电流)
例2.1 在半波整流电路中,晶闸管从π/3时刻开始导通。负载电流平均值为40A,若取安全裕量为2,试选取晶闸管额定电流。
解 设负载电流峰值为 I m ,则负载电流平均值与电流峰值的关系为
流过晶闸管电流有效值为
根据有效值相等原则,并考虑安全裕量2.0
晶闸管额定电流为
则可选取额定电流为150A或100A的晶闸管。
(2)维持电流 I H 维持电流 I H 是指晶闸管维持导通所必需的最小电流,一般为几十到几百毫安。维持电流与结温有关,结温越高,维持电流越小,晶闸管越难关断。
(3)擎住电流 I L 擎住电流 I L 是指晶闸管刚从阻断状态转化为导通状态并除掉门极触发信号时,能维持器件导通所需的最小电流。一般擎住电流比维持电流大2~4倍。
(4)浪涌电流 I TSM 浪涌电流 I TSM 是指晶闸管在规定的极短时间内所允许通过的冲击性电流值,通常 I TSM 是额定电流的10~20倍。浪涌电流有上下两个级,这个参数可作为设计保护电路的依据。
3.其他参数
(1)断态电压临界上升率d u /d t 断态电压临界上升率d u /d t 是指在额定结温和门极开路条件下,不会导致晶闸管从断态到通态转换的外加电压最大上升率。如果在阻断的晶闸管两端所施加的电压具有正向的上升率,则在阻断状态下相当于一个电容的J 2 结会有充电电流流过,被称为位移电流。此电流流经J 3 结时,起到类似门极触发电流的作用。如果电压上升率过大,使充电电流足够大,就会使晶闸管误导通。使用中实际电压上升率必须低于此临界值。为了限制d u /d t 上升率,可以在晶闸管阳极与阴极之间并联一个RC阻容缓冲电路,利用电容两端电压不能突变的特点来限制电压的上升率。
(2)通态电流临界上升率d i /d t 通态电流临界上升率d i /d t 是指在规定的条件下,晶闸管由门极触发导通时,管子能承受而无有害影响的最大通态电流上升率。如果电流上升率过大,则晶闸管一导通,便会有很大的电流集中在门极附近的小区域内,从而造成局部过热而使晶闸管损坏。为了限制电路电流上升率,可在阳极主电路中串入一个小电感,用于限制d i /d t 过大。
(3)门极触发电流 I GT 和门极触发电压 U GT 门极触发电流 I GT 是指在室温下,晶闸管阳极施加6V正向电压时,器件从断态到完全导通所必需的最小门极电流。门极触发电压 U GT 是指产生 I GT 所需的门极电压值。门极PN结特性的分散性大,即使同一型号的晶闸管所需的 I GT 、 U GT 相差都可能很大,此外环境和器件工作温度也会影响触发特性,温度高时 I GT 和 U GT 会明显降低,温度低时 I GT 和 U GT 也会有所增加。为了保证触发电路对同一型号晶闸管在不同环境温度时都能正常触发,要求触发电路提供的触发电流、触发电压值,适当大于标准规定的 I GT 和 U GT 上限值,但不能超过门极所规定的各种参数的极限峰值。
晶闸管除上述介绍的参数之外,还有开通时间和关断时间等参数。
1.快速晶闸管
快速晶闸管(Fast Switching Thyristor,FST)包括所有专为快速应用而设计的晶闸管,有常规的快速晶闸管和工作在更高频率的高频晶闸管,可分别应用在400Hz和10kHz以上的斩波或逆变电路中。由于对普通晶闸管的管芯结构和制造工艺进行了改进,快速晶闸管的开关时间以及d u /d t 和d i /d t 的耐受量都有了明显改善。从关断时间来看,普通晶闸管一般为数百微秒,快速晶闸管为数十微秒,而高频晶闸管则为10μs左右。与普通晶闸管相比,高频晶闸管的不足在于其电压和电流定额都不易做高。由于工作频率较高,故选择快速晶闸管和高频晶闸管的通态平均电流时不能忽略其开关损耗的发热效应。
2.逆导晶闸管
逆导晶闸管(Reverse Conducting Thyristor,RCT)是将晶闸管反并联一个二极管集成在一个管芯上的集成器件,其电气符号和伏安特性如图2-10所示。由伏安特性明显看出,当逆导晶闸管阳极承受正向电压时,其伏安特性与普通晶闸管相同,即工作在第Ⅰ象限;当逆导晶闸管阳极承受反向电压时,由于反并联二极管的作用反向导通,呈现出二极管的低阻特性,因此器件工作在第Ⅲ象限。由于逆导晶闸管具有上述伏安特性,故特别适用于有能量反馈的逆变器和斩波器电路,使得变流装置体积小、重量轻、成本低,特别是因此简化了接线,消除了大功率二极管的配线电感,使晶闸管承受反向电压时间增加,有利于快速换流,从而提高装置的工作频率。
图2-10 逆导晶闸管的电气符号和伏安特性
3.双向晶闸管
双向晶闸管(Triode AC semiconductor switch,TRIAC或Bi-Directional triode thyristor)是一个具有NPNPN五层结构的三端器件,有两个主电极T 1 和T 2 ,一个门极G。它在正、反两个方向的电压下均能用一个门极控制导通。因此,双向晶闸管在结构上可看成是一对普通晶闸管的反并联,其电气符号和伏安特性如图2-11所示。由伏安特性曲线可以看出,双向晶闸管反映出两个晶闸管反并联的效果。第Ⅰ和第Ⅲ象限具有对称的阳极特性。双向晶闸管在交流调压电路、固态继电器和交流电动机调速等领域应用较多。由于其通常用在交流电路中,因此不是用平均值而是用有效值表示其额定电流。这一点需与普通晶闸管的额定电流加以区别。在交流电路中,双向晶闸管承受正、反两个方向的电流和电压。在换向过程中,由于各半导体层内的载流子重新运动,可能造成换流失败。为了保证正常换流能力,必须限制换流电流和电压的变化率在规定的数值范围内。
图2-11 双向晶闸管的电气符号和伏安特性图
4.光控晶闸管
光控晶闸管(Light Triggered Thyristor,LIT)又称为光触发晶闸管,是采用一定波长的光信号触发其导通的器件,其电气符号和伏安特性如图2-12所示。小功率光控晶闸管只有阳极和阴极两个端子,大功率光控晶闸管则带有光缆,光缆上装有作为触发光源的发光二极管或半导体激光器。由于采用光触发,从而确保了主电路与控制电路之间的绝缘,同时可以避免电磁干扰,因此绝缘性能好且工作可靠。光控晶闸管在高压大功率的场合占据重要位置,例如高压输电系统和高压核聚变等装置中,均有光控晶闸管的应用。
图2-12 光控晶闸管符号、伏安特性