



浅层地热能区域调查评价的目的是为浅层地热能区域资源的开发利用规划布局提供依据。主要任务是查明开发利用规划中浅层地热能区域资源赋存条件与分布规律,包括查明地质条件、水文地质条件、浅层地温场等,进行浅层地热能开发利用适宜性分区和浅层地热能资源潜力、地质环境影响和经济效益评价,为地源热泵工程的预可行性评价提供依据。
浅层地热能区域评价是在浅层地热能区域资源开发利用适宜性评价的基础上,进一步对浅层地热能区域资源量进行计算和资源潜力评价,确定合理的开发利用方式及可开发利用量,为区域浅层地热能资源可持续利用和管理提供依据。浅层地热能区域资源计算包括静态储量和可采资源量两部分,评价深度由当地经济发展因素和地质条件决定。浅层地热能区域调查评价内容、指标及方法参见表3-1、表3-2。
表3-1 浅层地热能区域调查评价内容及指标统计表
续表
表3-2 浅层地热能区域调查评价内容及方法统计表
综合以上区域调查评价内容、指标及方法,建立了浅层地热能区域调查评价体系,如图3-1所示。
图3-1 浅层地热能区域调查评价体系示意图
评价参数的确定和求取是进行浅层地热能区域调查评价的关键环节之一,对适宜性分区和评价浅层地热能资源潜力具有非常重要的意义,浅层地热能资源潜力评价如图3-2所示。
图3-2 浅层地热能资源潜力评价示意图
浅层地热能资源潜力评价的参数体系主要包括基础参数、测试参数、计算参数、经验参数及常量参数等,见表3-3。
表3-3 浅层地热能资源潜力评价参数体系表
浅层地热能资源潜力评价内容主要是热容量和换热功率。
(1)热容量。其反映静态储量,指地表以下一定深度范围内岩土体和地下水中单位温差所蕴藏的热量,计算方法主要有体积法和类比法。在潜水位以上为包气带,以下为含水层和相对隔水层,也称为饱水带。岩土体的热量储存于岩土颗粒和空隙中,包气带的岩土空隙中充填的是空气和水,饱水带空隙中则充满了水。体积法分别计算其对应的热容量,并进行累加,即为评价区总的热容量;类比法是根据已有结果类比计算浅层地热能资源条件相似地区的热容量。热容量计算参数的构成如图3-3所示。
图3-3 热容量计算参数的构成示意图
(2)换热功率。可采资源量一般通过换热功率来体现,换热功率是指采用一定的换热方式从岩土体或地下水中单位时间可提取的热量。换热功率不仅受岩土体自身特性的影响,还与开采利用方式密切相关。在地下水地源热泵系统适宜区和地埋管地源热泵系统适宜区计算浅层地热能的换热功率采用的方法不同,前者采用地下水量折算法,后者采用换热量现场测试法,换热功率计算参数的构成如图3-4所示。
图3-4 换热功率计算参数的构成示意图
(1)常规物理参数
主要是通过对岩土体进行测试获取的物理参数。
①岩土体天然密度
单位体积岩土体的质量称为岩土体的密度,单位是g/cm 3 。
②岩土体天然含水率
岩土体中所含水的质量与岩土体颗粒质量之比,称为岩土体的天然含水率,单位是%。
③岩土体孔隙率
岩土体中孔隙所占体积与总体积之比称为岩土体的孔隙率,单位是%。
(2)热物理参数
①岩土体的比热容
单位质量的岩土体温度升高1℃吸收的热量(或降低1℃释放的热量)叫作该岩土体的比热容,单位是kJ/(kg·℃)。
②岩土体热传导系数(热导率)
在岩土体内部垂直于导热方向取两个相距1m、面积为1m 2 的平行平面,若两个平面的温度相差1℃,则在1s内从一个平面传导至另一个平面的热量就定义为该岩土体的热导率,单位是W/(m·℃)。
③平均热导率
该参数是利用Fluent软件模拟换热孔的温度场影响半径时需要设置的一个重要参数,也是标示当地岩土体平均换热能力的一个重要指标。它定义为指定深度内各种岩土层热导率按厚度加权的平均值,单位是W/(m·℃)。
④传热系数
进行换热量现场试验,计量地埋管换热器的进出水温度、流量,在热交换达到稳定的条件下,计算得到换热孔每延米在温差1℃(循环液平均温度与岩土体原始温度比)时的换热功率即为地埋管换热器的传热系数 k s ,单位是W/(m·℃)。
(3)抽水、回灌试验的相关计算参数
抽灌试验的静水位、动水位以及出水量为抽灌试验的实测值,其他参数通过计算或数值模拟获得。抽水、回灌试验相关参数计算方法如下:
式中, K 为渗透系数,m/d; Q 为出水量,m 3 /d; S 为水位降深,m; M 为承压水含水层的厚度,m; R 为抽水井过滤器的半径,m; r 为影响半径,m。
(4)现场换热测试的相关参数
①岩土热响应试验(亦称现场热响应试验)测试的技术要求
在2005年11月30日原中华人民共和国建设部发布的国家标准《地源热泵系统工程技术规范》(GB 50366—2005)基础上,为了使规范更加完善科学,正确指导地埋管地源热泵系统的设计和实施,2008年,中华人民共和国住房和城乡建设部组织相关单位对该国标进行局部修订,统一规范了岩土热响应试验方法,于2009年6月1日起实施。国标规定了岩土热响应试验的测试方法和测试结果的用途,岩土热响应试验须参照该规范附录C的要求。2020年进行的第二次修订进一步明确了必须要进行岩土热响应试验的情形和具体试验要求。此外,地质行业标准《浅层地热能勘查评价规范》(DZ/T 0225—2009)中第5条第4款第4项也对现场热响应试验做出了具体要求。
②平均热导率
在平均导热系数确定的简化分析模型中引入如下假设:
(a)钻孔周围是均匀的(模拟所需是平均参数);
(b)埋管与周围岩土的换热可认为是钻孔中心的一根线热源与周围岩土进行换热,沿长度方向的传热量忽略不计;
(c)埋管与周围岩土的换热强度维持不变(可以通过控制加热功率实现)。
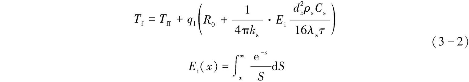
根据上述假设,由换热器与其周围岩土体换热的换热方程确定的管内流体平均温度与深层岩土体的初始温度之间的关系可表达为
式中, d b 为钻孔直径,m; C s 为岩土体的热容,J/(kg·K); λ s 为周围岩土的导热系数,W/(m·℃); q l 为单位长度线热源热流强度,W/m; R 0 为单位长度钻孔内的总热阻,℃/W; T f 为埋管内流体平均温度,℃; T ff 为无穷远处岩土体温度,℃; ρ s 为岩土的密度,kg/m 3 ; τ 为时间,s。
在以上简化模型中有三个未知参数 k s 、 R 0 和 ρ s C s 。其中 ρ s C s 可以通过土样分析测试及选取经验数据进行加权平均计算而得。 λ s 和 R 0 可以利用传热反问题求解结合最优化方法同时确定。根据换热量现场测试,测量回路中水的温度及其所对应的时间,根据已知的数据反推钻孔周围岩土体的导热系数 λ s 和钻孔内热阻 R 0 。将通过传热模型得到的流体的平均温度与实际测量的结果进行对比,通过调整传热模型中周围岩土体的导热系数和钻孔内热阻,当计算得到的结果与实测的结果误差最小时,对应的导热系数值就是所求的结果。
浅层地热能资源潜力评价参数主要是通过物探、钻探、测试、实验、计算及理论模拟等方法获取。
岩土体的热物性测试主要有两种方法:一种是对岩土标本进行室内测定,是传统方法;另一种为现场原位测试,即现场热响应试验。
室内测定,首先根据钻孔取出的岩土样本特征来确定钻孔周围的地质组成,再利用室内仪器测定来确定导热系数。由于区域地质条件的复杂性,即使岩石成分为同一种组成,其热物性参数值的范围也比较大。不同地层的地质条件下导热系数可能相差近十倍,从而导致通过计算得到的换热孔的地埋管长度相差较大,影响地源热泵系统的经济性。此外,成井工艺、管材及埋管方式对换热都有一定影响。相比之下的现场原位测试,是在现场环境通过换热孔直接测量岩土体的热响应,能够较为准确地得到地下岩土的综合热物性参数。
浅层地热能的蕴藏状态、地温场的分布、热量转换规律、开发利用方式及规模等都受地质条件的制约,因此对资源的勘查评价(摸清资源的“家底”)是浅层地热能高效、可持续开发利用的基础。我国对浅层地热能区域调查评价体系的研究历程大致可以分为如下几个阶段:
20世纪80年代至2006年为起步阶段,浅层地热能开发利用以市场推动为主,北京地区2001年到2006年服务面积年平均增长率为150%~200%,但基本不进行资源勘查。浅层地热能开发利用具有一定的盲目性。
以2006年1月1日原中华人民共和国建设部颁布实施的国家标准《地源热泵系统工程技术规范》(GB 50366—2005)为起点,提出了浅层地热能开发利用需要进行场地工程勘查,浅层地热能开发前期进入场地勘查阶段。
行业的快速发展和一些不成功案例的出现给制定发展规划和行业管理工作造成了被动局面。对影响资源开发利用潜力的地质条件认识不够,成为制约行业健康发展的重要原因。地勘单位顺应行业发展需要,发挥专业优势,逐个破解难题,逐渐深化认识。2006年6月,原北京市地勘局组织实施了北京市浅层地温能资源评价示范项目。在北京平原区1800平方千米重点区开展浅层地热能资源勘查评价工作,为浅层地热能勘查评价规范的编写奠定了基础,取得了大量浅层地热能实测数据资料,初步建立了浅层地热能资源评价体系,初步计算评价了北京平原区浅层地热能资源量和开发利用潜力,并为全国开展浅层地热能资源评价工作提供了示范。
2006年10月,原北京市地勘局组织实施了“北京平原区浅层地热能资源地质勘查”项目,工作面积为6400平方千米,重点工作区以城区为主,面积为2000平方千米。经过两年工作,项目首次明确提出浅层地热能属于资源范畴,厘定了浅层地热能资源概念及其资源特点;分析已有的浅层地热能开发利用工程相关数据,结合北京平原区浅层地温能资源地质勘查项目的实际情况,建立了专项调查—适宜性区划—资源评价—地质环境监测调查评价体系。在浅层地热能资源分布规律研究的基础上,对北京平原区浅层地热能的开发利用方式适宜性进行了分区。北京平原区地下水地源热泵适宜区和较适宜区主要位于永定河冲洪积扇、潮白河冲洪积扇和拒马河冲洪积扇的中上部,第四系颗粒较粗,岩性以砂砾石或砂卵砾石为主,含水层赋水性好,单井出水能力较大,地层回灌能力也好,适宜和较适宜区面积为1345km 2 。地埋管适宜区和较适宜区则位于各冲洪积扇中下部,面积为3496km 2 。地层颗粒细,含水层回灌能力差,而地层可钻性强。以北京的经验为基础,原北京市地勘局参与编写了原国土资源部行业标准《浅层地热能勘查评价规范》(DZ/T 0225—2009),指导了全国省会级城市和地级市的勘查评价工作,极大地推动了行业的发展,延伸了地勘单位的工作链。
2008年12月,原国土资源部下发《关于大力推进浅层地热能开发利用的通知》,要求各省、自治区、直辖市国土资源行政主管部门在2010年年底前,组织完成本行政区域内的浅层地热能调查评价工作。根据通知要求,原北京市国土资源局与原北京市地勘局共同组织编制了《北京市浅层地热能调查评价工作方案》,报原国土资源部备案,开展了第二轮北京市浅层地热能调查评价及编制浅层地热能开发利用规划工作。第二轮调查评价工作是按照原国土资源部行业标准《浅层地热能勘查评价规范》(DZ/T 0225—2009)开展的,工作区范围为整个北京市平原区6900km 2 (含延庆县500km 2 ),其中重点工作区面积为1800km 2 ,增加了通州新城、顺义新城等十个新城的浅层地热能勘查评价工作,调查的比例尺为1∶50000。查明了北京市浅层地热能资源赋存条件,进行了现场热响应试验、测试研究与软件模拟。开展了北京市浅层地热能资源开发利用现状调查,建立了北京平原区地源热泵项目分布数据库,进行了北京市浅层地热能资源开发利用适宜性分区。评价了北京市浅层地热能资源潜力,经计算,北京市平原区(含延庆县平原区)浅层地热能热容量为1.95×10 15 kJ,折合标准煤6670万吨。结合浅层地热换热功率和系统能效比计算出北京市浅层地热能资源可供暖面积为7.21亿平方米 [1] ,开展了浅层地热能资源开发利用对地质环境影响评价,结合2007年完成的“北京平原区监测站网建设及环境影响评估”项目,完善了北京市浅层地热能资源地质环境监测系统,对浅层地热能利用采用网络化管理的方法,实现了对地下温度场的监测。研究结果显示北京市浅层地热能资源储量丰富,潜力巨大。
中国地质调查局于2011年开始开展全国的浅层地热能调查评价工作,结果显示,我国336个地级以上城市浅层地热能资源年可开采量折合标准煤7亿吨,大部分土地面积适宜利用浅层地热能,可实现供暖或制冷面积为326亿平方米。