购买
下载掌阅APP,畅读海量书库
立即打开
畅读海量书库
扫码下载掌阅APP

2.1 电阻电路的等效变换

2.1 电阻电路的等效变换

具有两个出线端的部分电路通常被称为 二端网络 ,如果这个二端网络中含有独立电源,则称为 有源二端网络 ;如果不含独立电源,则称为 无源二端网络 。在图2.1a中,A部分电路是由电源和电阻构成的,是有源二端网络。B部分电路是由几个电阻构成的,是无源二端网络。

图 2.1 电路的等效变换

2.1.1 等效变换电路

对电路进行分析和计算时,有时可以把电路中某一部分简化,即用一个较为简单的电路替代原电路。图2.1a中的B这个无源二端网络就可以利用电阻的串并联公式用一个电阻 R eq 替代,如图2.1b所示,使整个电路得以简化。进行替代的条件是使图2.1中B部分和C部分电路有相同的伏安特性(相同的电压和电流),电阻 R eq 称为 等效电阻 。当图2.1a中B部分电路被 R eq 替代后,A部分电路的任何电压、电流和功率都将维持与原电路相同,这就是电路的“等效概念”,即当电路中某一部分(二端网络)用其等效电路替代后,未被替代部分的电压、电流和功率均应保持不变。

用等效电路的方法求解电路时,需要注意的是“ 对外等效 ”的概念。电压、电流和功率保持不变的部分仅限于二端网络以外的电路。等效后的电路与原来的部分显然是不同的,例如把图2.1a所示电路简化后,不难按图2.1b求得端子1-1’左部分的电流 i 和端子1-1’的电压 u ,它们分别等于原电路中的电流 i 和电压 u 。如果要求图2.1a中B部分电路的各电阻的电流,就必须回到原电路,根据已求得的电流 i 和电压 u 求解。所谓“对外等效”也就是对端口外部电路的作用效果相等。

习惯上把图2.1a与图2.1b说成是互为等效变换电路。电路等效变换的目的是为简化电路,可以方便地求出结果。

例2.1 求图2.2所示电路中电压源发出的功率 P

图 2.2 例2.1电路

:这是一个电阻的混联电路,右侧1Ω电阻和2Ω电阻串联,再和中间6Ω电阻并联,然后和左侧2Ω电阻串联,利用第1章电阻的串并联等效公式,可以简化为一个单回路电路。

总的等效电阻为

R eq =(1+2)//6Ω+2Ω=4Ω

等效以后就是一个单回路电路,电压源发出的功率 P 就等于等效电阻消耗的功率

2.1.2 电阻星形联结与三角形联结之间的等效变换

有的电路的混联是无法用串并联合并的。比较典型的有电阻的星形与三角形联结,两者之间可以进行等效变换。

图 2.3所示是一种具有桥形结构的电路,它是测量中常用的一种电桥电路,其中的电阻既非串联又非并联。 R 1 R 3 R 5 R 2 R 4 R 5 )各个电阻有一端接在一个公共结点上,另一端则分别接到3个端子上,构成一个 Y联结 或称为星形联结 );电阻 R 1 R 2 R 5 R 3 R 4 R 5 )各个电阻分别接在3个端子的每两个之间,构成一个△ 联结 或称为三角形联结 )。

图 2.3 电桥电路

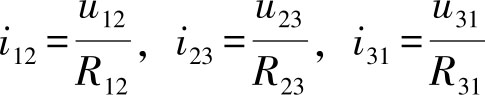
Y联结和△联结都是通过3个端子与外部相连。图2.4a、2.4b分别示出接于端子1、2、3的Y联结和△联结的3个电阻。端子1、2、3与电路的其他部分相连,图中没有画出电路的其他部分。当两种联结的电阻之间满足一定的关系时,它们在端子1、2、3以外的特性可以相同,就是说它们可以互相等效变换。如果在它们的对应端子之间具有相同的电压,即 u 12 = u 23 = u 31 ,而流入对应端子的电流分别相等,即 i 1 = i′ 1 i 2 = i′ 2 i 3 = i′ 3 ,在这种条件下,它们彼此等效。这就是Y-△等效变换的条件。

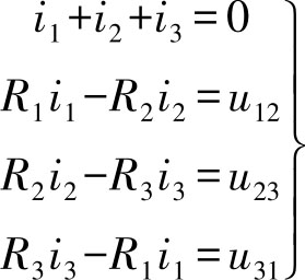
对于图2.4a所示的Y联结电路,根据KCL和KVL求出端子电压与端子电流之间的关系方程组为

图 2.4 Y联结和△联结

可以解出电流为

对于图2.4b所示的△联结电路,各电阻中电流为

根据KCL,图2.4b中的△联结电路端子电流分别为

由于两个等效电路对应的端子电压、电流均相等,故式(2-1)与式(2-2)中电压 u 12 u 23 u 31 前面的系数应该对应相等。于是得到

式(2-3)就是根据Y联结的电阻确定△联结的电阻的公式。

由式(2-3)可求出

式(2-4)就是根据△联结的电阻确定Y联结的电阻的公式。

式(2-3)和式(2-4)的共同规律是端子1、2、3的“互换性”。为了便于记忆,以上互换公式可归纳为

分析这两个公式的量纲可以发现这两组公式的量纲式为Ω=Ω·Ω/Ω,所以乘积项一定在分子上——此为“积上”。式(2-3)是求△联结的电阻的公式,“△”字的“一”在下,则“和”在上;式(2-4)是求Y联结的电阻的公式,“Y”字的“一”在上,则“和”在下。此为“和平”,合起来即为“积上和平”。

若Y联结中3个电阻相等,即 R 1 = R 2 = R 3 = R Y ,则等效△联结中3个电阻也相等,由式(2-12)可以求出它们等于

例2.2 求图2.5a所示桥形电路的总电阻 R 12

图 2.5 例2.3的图

:将结点①、③、④内的△电路用等效Y电路替代,得到图2.5b。利用式(2-4)得

然后用串、并联的方法,得到图2.5c~图2.5e,所以

2.1.3 二端口网络的输入电阻

二端口网络向外引出一对端子,这对端子可以与外部电源或其他电路相连接。对一个端口来说,从它的一个端子流入的电流一定等于从另一个端子流出的电流。图2.6a所示是一个二端口网络的图形表示。

图 2.6 二端口网络的输入电阻

如果一个二端口网络内部含电阻,则应用电阻的串、并联和Y-△变换等方法,可以求得它的等效电阻。如果二端口网络内部除电阻以外还含有受控源,但不含任何独立电源,可以证明(见3.3节),不论内部如何复杂,端口电压与端口电流均成正比,如图2.6a所示,定义此端口的 输入电阻

端口的输入电阻也就是端口的等效电阻,但两者的含义有区别。求端口的等效电阻的一般方法称为电压、电流法,即在端口加以电压源 u s ,然后求出端口电流 i ;或在端口加以电流源 i s ,然后求出端口电压 u ,如图2.6b和c所示。根据式(2-7),

图 2.6b中二端口网络的输入电阻可通过电阻串并联化简求得,图2.6c电路具有桥形结构,应用Y-△变换才能简化。

例2.3 求图2.7所示的ab右侧二端口网络的输入电阻。

图 2.7 例2.3的图

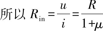
:对电路写KVL方程有

- u + Ri-μu =0

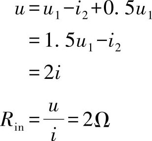
例2.4 求图2.8所示电路的输入电阻。

图 2.8 例2.4的图

:设端口电压、电流如图所示。由电路得

u 1 =2 i

由KCL得

i + i 2 =2 i 2

所以

i = i 2

由KCL得 zEBFFFqNcEEMr3J2qlWsy4JtM8QTUWm63qwcvS6efWkWHBrIDQHw/+ImwiYLWn5h

点击中间区域
呼出菜单
上一章
目录
下一章
×