



20世纪30年代发现的增透膜促进了薄膜光学的早期发展。对于推动光学技术发展来说,在所有的光学薄膜中,增透膜起着最重要的作用。直至今天,就其生产的总量来说,它仍然超过所有其他类型的薄膜。因此,研究增透膜的设计和制备技术,对于生产实践有着重要的意义。
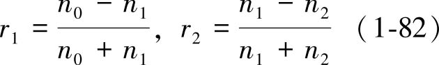
最简单的增透膜,是在玻璃表面上镀一层低折射率的薄膜,如图1-7所示。
图1-7 单层减反射膜矢量图
在界面1和2上的振幅反射系数 r 1 和 r 2 为
从矢量图上可以看到,合振幅矢量随着 r 1 和 r 2 之间的夹角2 δ 1 而变化,合矢量端点的轨迹为一圆周。当膜层的光学厚度为某一波长的1/4时,则两个矢量的方向完全相反,合矢量成为最小
这时如果矢量的模相等,即
,则对该波长而言,两个矢量将完全抵消,出现零反射率。
欲使
,必须使
即
,如
n
0
=
1,则
。
因此,理想的单层增透膜的条件是,膜层的光学厚度为1/4波长,其折射率为入射介质和基片折射率的乘积的二次方根。
单层增透膜的出现,在历史上是一个重大的进展,直至今天仍被广泛地用来满足一些简单的用途。但是它存在两个主要的缺陷:首先,对大多数应用来说,剩余反射还显得太高;此外,从未镀膜表面反射的光线,在色彩上仍保持中性,而从镀膜表面反射的光线破坏了色的平衡。作为变焦距镜头、超广角镜头和大相对孔径等复杂的透镜系统中的增透镀层,是不能符合要求的。
基本上有两个途径可以提高单层膜的性能,即或者采用变折射率的所谓非均匀膜,它的折射率随着厚度的增加呈连续的变化,或者采用几种折射率不同的均匀膜构成增透膜,即所谓多层增透膜。
在玻璃表面上,可用化学蚀刻方法制备折射率连续变化的耐久的增透膜。在波长0.35~2.5μm范围内,能有效地消除玻璃表面的反射,使反射率从8%左右(两个表面)减少到小于0.5%。这种方法是利用了碱性硼硅酸盐中的相分离现象,采用合理的热处理条件,碱性硼硅酸盐相应地分离成两个玻璃相。在一个相中,二氧化硅浓度高达96%左右,即不溶解的浓二氧化硅相;在另一个相中,氧化硼浓度较高,即可溶解的低二氧化硅相。这个可溶解的相,用许多材料(包括大多数无机酸)能够很容易地溶解,留下二氧化硅含量高的相作为多孔骨架的表面薄膜。由于这种薄膜的多孔性和毛细孔尺寸小(半径小于4.0nm),所以其有效折射率比凝聚的二氧化硅薄膜的折射率低得多。这种多孔薄膜的折射率梯度,在利用相分离方法和化学蚀刻方法时是容易控制的。利用这种独特的技术制备的微孔性薄膜,不仅在宽光谱范围内有低的反射率,而且具有惊人的耐久力。这种薄膜在太阳能的应用中是有价值的,在高能量应用(如激光)中也颇有潜力。
对于高透射要求增透膜来说,使用任何一种基片以及常见的中红外薄膜材料,均很难达到接近100%透射率的要求。为此,我们可以在折射率为
n
g
的基片上镀一层
λ
0
/
4厚、折射率为
n
2
的薄膜,这时对于波长
λ
0
来说,薄膜和基片组合的系统可以用折射率为
Y=n
2
2
/n
g
的假想基片来等价。显然,当
n
2
>n
g
时,有
Y>n
g
。也就是说,在玻璃基片上先镀一层高折射率的
λ
0
/
4厚的膜层后,基片的折射率从
n
g
提高到
,然后再镀上
λ
0
/
4厚的低折射率膜层,就能起到更好的增透效果。
从上面的讨论可以知道,在限定两层膜的厚度都是 λ 0 / 4的前提下,欲使波长 λ 0 的反射光减至零,它们的折射率应满足如下关系:
或
如果外层膜确定用折射率为1.38的氟化镁,则内层膜的折射率取决于基片材料。当 n g =1.52时,有 n 2 =1.70;当 n g =1.60时,有 n 2 =1.75。但是,能用于镀膜的材料是有限的,因而折射率的选择也受到了很大的限制。这时我们也可以先确定能够实现的两层膜的折射率,然后通过调整膜层厚度实现零反射。确定膜层厚度的一个方便可行的方法是矢量法。
图1-8所示, n 0 和 n g 分别为入射介质和基片的折射率。 n 1 和 n 2 为折射率已确定的低折射率和高折射率材料的膜层, δ 1 和 δ 2 便是特定的膜层位相厚度,以使波长 λ 0 的反射光能减至零。已知各界面上的振幅反射系数分别为
图1-8 矢量法确定双层增透膜厚度的图解
只有当矢量模 r 1 、 r 2 、 r 3 以及其幅角组成封闭三角形,才能使合矢量为零。因此,只需以 r 1 的始点和终点为圆心,分别以 r 2 和 r 3 为半径作两个圆,两个圆的交点就是满足合矢量为零这一条件的 r 2 和 r 3 头尾相接的点,然后从矢量图上即可量得2 δ 1 和2 δ 2 的值。
根据以上设计思想,求解 δ 1 和 δ 2 ,则可以确定双层增透膜的膜系。
对于双层减反膜系,若不考虑膜层的吸收,设计的双层增透膜在参考波长处的透射率可达100%。
双层增透膜的减反射性能比单层增透膜要优越得多。但它并没有克服单层增透膜的上述两个主要缺陷,尤其是对于冕牌玻璃更是如此。
正如上面所说的,双层增透膜的特性比单层膜要优越得多。但是,在许多应用例子里,即使是一个理想的双层膜,还是会形成过大的反射率或不适宜的光谱带宽度。因此,在这些例子中都要用三层或者更多层的增透膜。许多多层增透膜是由1/4波长层或半波长层构成的,可以看作是 λ 0 /4 -λ 0 /2 W型膜和 λ 0 /4 -λ 0 /4V型膜的改进形式。
λ 0 /4 -λ 0 /2 W型膜在低反射区的中央有一个反射率的凸峰,它相应于单层减反射膜的反射率极小值。为了降低这个反射率的凸峰,又要保持半波长层的光滑光谱特性,可以将半波长层分成折射率稍稍不同的两个1/4波长层。例如,对于下面所示的一个结构
可以改变成
于是在参考波长 λ 0 处的反射率由1.26%减少至0.38%,当然,低反射区的宽度也显著地减小了。
为了增加低反射区的宽度,可以在基底上附加一层低折射率的半波长层,也可以在双层V型膜的基础上构造多层增透膜,例如,在 λ 0 /4 -λ 0 /4 V型膜的中间插入半波长的光滑层,可以得到典型的 λ 0 /4 -λ 0 /2 -λ 0 /4三层增透膜结构。
总的说来,多层组合的各个参数对反射特性的影响可归纳为:调节间隔层的厚度,即变化|π -θ |曲线的位置和形状,可以使反射率极小值移到不同的波数位置上。改变第一层或第二层的厚度,可以使 R 1 曲线相对于 R 2 做水平移动,其结果就是改变低反射光谱的宽度以及反射率 R ;利用不同的折射率值 n 1 和 n 3 ,可以使 R 1 和 R 2 曲线做相对的垂直移动。