



在上一节中我们曾讨论了平面电磁波在单一界面上的反射和折射。在界面上应用边界条件可以写出
因为应用边界条件写出的p -分 量和s -分 量的等式形式是相同的,所以不再区分p -分 量和s -分 量的情形。同时除了另作说明外, E 和 H 都是指电场或磁场的切向分量,不再指明下标t。
在光学上,处于两个均匀媒质之间的均匀介质膜的性质特别重要,因此我们将比较详细地来研究这一情况。假定所有媒质都是非磁性的( μ r =1)。
如图1-4所示,单层薄膜的两个界面在数学上可以用一个等效的界面来表示。膜层和基底组合的导纳是 Y ,由式(1-54)和式(1-55),可以知道
图1-4 单层薄膜的等效界面
式中,
Y=H
0
/E
0
,
。
于是如同单一界面的情形,单层膜的反射系数可表示为
只要确定了组合导纳 Y ,就可以方便地计算单层膜的反射和透射特性。因此,问题就归纳为求取入射界面上 H 0 和 E 0 的比值。对于组合导纳 Y 的表达式,推导过程如下:
如图1-5所示,薄膜上下界面上都有无数次反射,为便于处理,我们归并所有同方向的波,正方向取+号,负方向取-号。
和
是指在界面1和2上的
,符号
、
、
和
等具有同样的意义。
图1-5 单层膜的电场情况
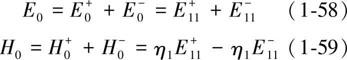
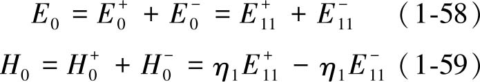
现在界面1,应用 E 和 H 的切向分量界面两侧连续的边界条件写出:
对于另一界面2上具有相同坐标的点,只要改变波的位相因子,就可以确定它们在同一瞬时的状况。正向行进的波的位相因子应乘以
,而负向行进的波的位相因子应乘以
。其中
即
所以
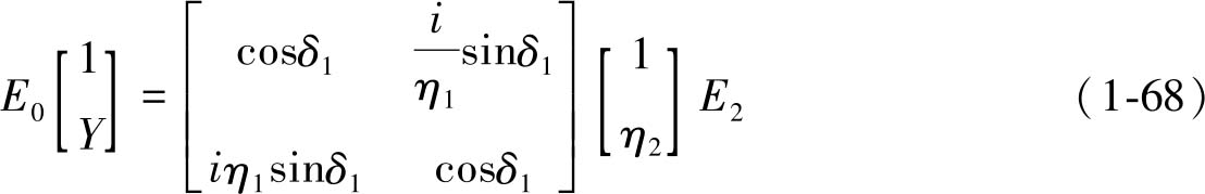
这可用矩阵的形式写成
在基片中没有负向行进的波,于是在界面2应用边界条件可以写成
因此
写成矩阵形式为
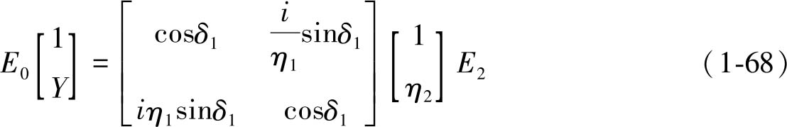
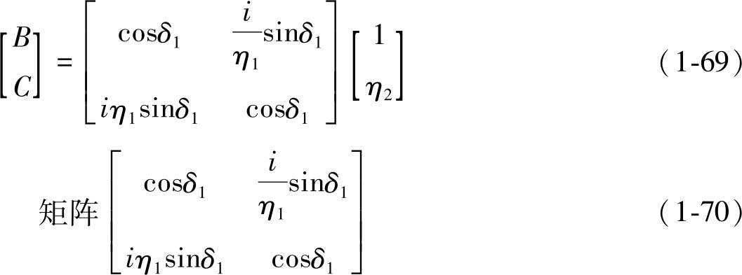
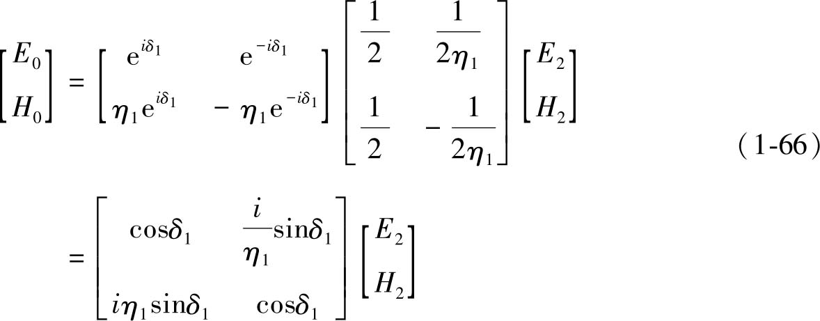
将此式代入式(1-62),得
因为, E 和 H 的切向分量在界面两侧是连续的,而且由于在基片中仅有一正向行进的波,所以式(1-65)就把入射界面的 E 和 H 的切向分量与透过最后界面的 E 和 H 的切向分量联系起来。又因为
于是式(1-66)可以写成
令
称为薄膜的特征矩阵。它包含了薄膜的全部有用的参数。其中
δ
1
=
;对p
-分
量,
η
1
=
n
1
/cos
θ
1
,而对s
-分
量,
η
1
=n
1
cos
θ
1
。后面将会看到,在分析薄膜特性时,这一矩阵式非常有用的。
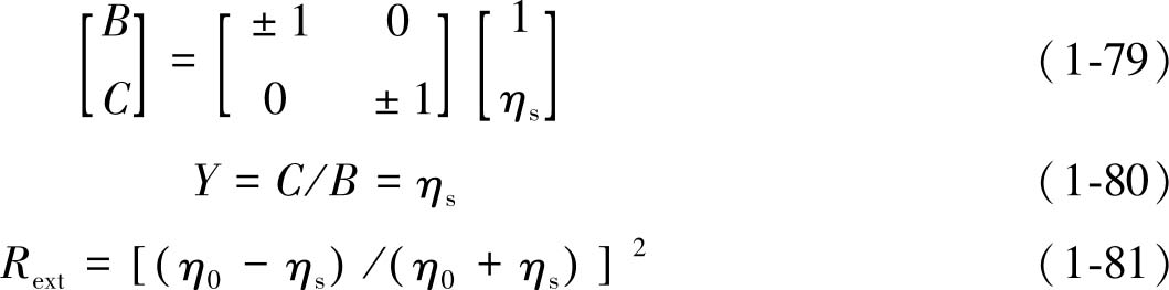
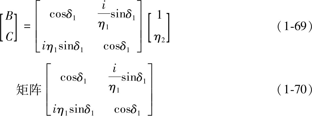
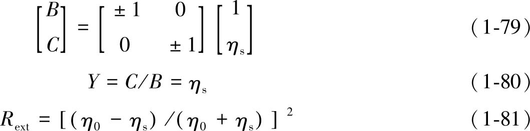
矩阵
定义为基片和薄膜组合的特征矩阵。显然,由
得
故振幅反射系数为
能量反射率为
由
矩阵的表达式可以知道,当薄膜的有效光学厚度为1
/
4波长的整数倍时,即
或其位相厚度为
的整数倍,即
在参考波长处会出现一系列的极值。
对于厚度为 λ 0 / 4奇数倍,即 m= 1,3,5,…的情形,有
,这通常称为四分之一波长法则。
而对于厚度为 λ 0 / 4偶数倍,即 m= 2,4,6,…的情形,有
在参考波长 λ 0 处,它对于膜系的反射或透射特性没有任何影响,因此被称为“虚设层”。当然在其他波长上,薄膜的特征矩阵不再是单位矩阵,对膜系的特性是具有影响的。因而,半波长厚度的虚设层通常用于平滑膜系的分光特性。当厚度为1 / 4波长的奇数倍时,反射率是极大还是极小,视薄膜的折射率是大于还是小于基片的折射率而定。当膜的光学厚度取 λ 0 / 2的整数倍时,反射率也是极值,且视它们的折射率而定,只是情况恰巧相反。这些结果表示在图1-6上。
图1-6 单层介质膜的反射率随其光学厚度的变化关系
膜的折射率为 n 1 , n 0 = 1.0, n 2 = 1.5,入射角 θ 0 = 0°。由于1 / 4波长厚度的薄膜在多层膜设计中用得非常广泛,因而有一些简便的速写符号。