



我们可以进一步讨论反射波和透射波振幅的大小以及反射相位的变化。为了避免混淆,首先规定电场矢量的正方向。最容易处理的是垂直入射的情况。通常取 z 轴垂直于界面,正方向沿着入射波方向。 x 和 y 轴位于界面内。规定入射波、反射波和透射波的电场矢量的正方向相同(例如都从纸面向外)。对于电场,我们选择最简单的约定,同时由于这些矢量也符合右手坐标系法则,所以也就包含了对磁场矢量的隐含约定,如图1-2所示。
图1-2 垂直入射时所取的电场矢量的正方向
因为波是垂直入射的,所以 E 和 H 两者平行于界面,并且在界面两边它们都是连续的。由于在第二介质中显然没有反射波,故
由
=H
,得
在入射介质中,有正方向行进和负方向行进的两种波。用符号
、
分别表示
E
和
H
在第一介质中的各个分量,它们之间有下列关系:
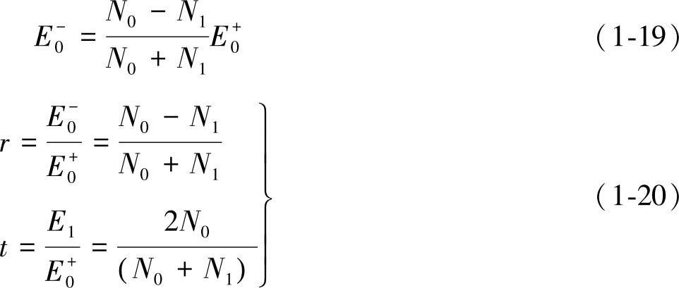
应用边界条件
将式(1-16)的第二式和式(1-15)代入式(1-14),得
即
故有
式中, r 、 t 称为振幅反射系数和透射系数,或称菲涅尔反射系数和透射系数。
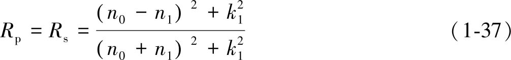
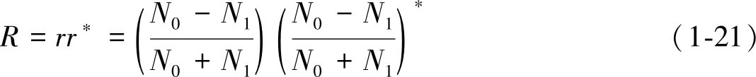
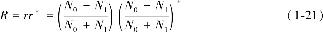
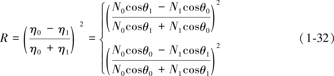
由坡印廷矢量平均值的表示式可知,强度反射率 R 为
上面讨论的是垂直入射的情况,但其结果不难推广到倾斜入射的情况。这时我们需分别对p -偏 振和s -偏 振规定电场矢量的正方向,符号如图1-3所示,这和垂直入射时所取的约定规则是一致的。
图1-3 倾斜入射时所取的电场矢量的正方向
只要引进有效导纳
η
,用
η
0
和
η
1
代替式(1-20)和式(1-21)中的
N
0
和
N
1
,便可求得倾斜入射时的反射率。类似于式
,
η
可定义为磁场强度的切向分量与电场强度的切向分量之比,即
η 不仅与入射角有关,而且依赖于 E 和 H 相对于入射平面的方位。可以证明,任何特定方位都可以归纳为两个标准方位的组合:
E 在入射面内,这个波称为TM波(横磁波)或称p -偏 振波;
E 垂直于入射面,这个波称为TE波(横电波)或称s -偏 振波。
下面分别讨论TM波和TE波的反射系数和透射系数。
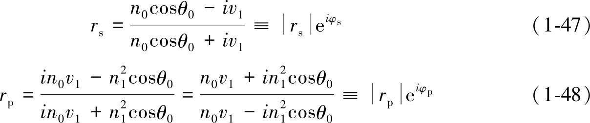
TM波(p -偏 振): H 垂直于入射面,故 H 与界面平行,因此
而 E 与界面成 θ 倾角,故
因为
r 0 为垂直于界面的单位波矢量。由 η 的定义,有
TE波(s -偏 振): E 与界面平行,而 H 成 θ 倾角。用与上面相似的证明,得到
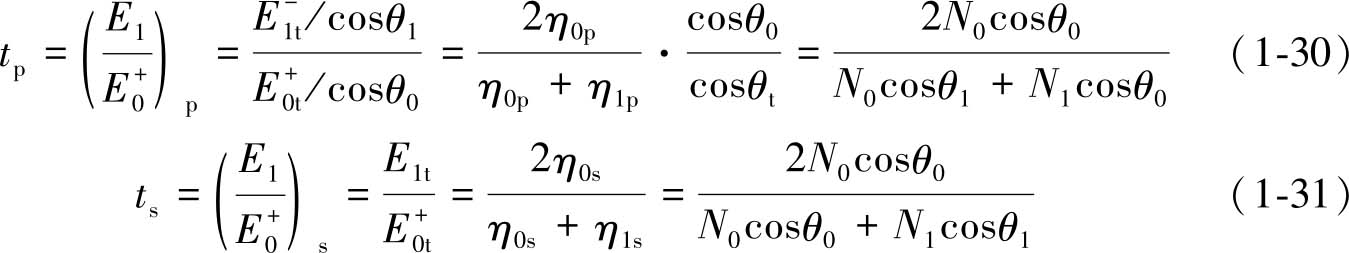
现在菲涅尔反射系数可以写成
同样,透射系数可以写成
强度反射率是
正如前面所述,由于透射光束和入射光束的截面积不同,所以透射率定义为透射光强度的垂直分量与入射光强度垂直分量之比。故透射率为
式(1-28)~式(1-31)就是菲涅尔公式,是薄膜光学中最基本的公式之一。因为光在薄膜中的行为,实际上是光波在分层介质的诸界面上的菲涅尔系数相互叠加的结果,所以可借助这些系数分析多层膜的特性。
上面讨论了两种介质都是非吸收介质的情况,但即使第二介质是吸收介质,菲涅尔公式也是有效的。与上述情况不同的只是这种介质的折射率 N 1 为复数, N 1 =n 1 -ik i 。由折射定律
得
可见 θ 1 为复数,并且除了 θ 0 =θ 1 = 0,即垂直入射的特殊情况外, θ 1 不再代表折射角。在 θ 0 =θ 1 = 0这种特殊情况下,菲涅尔反射系数的表达式有如下简单的形式:
反射率则为
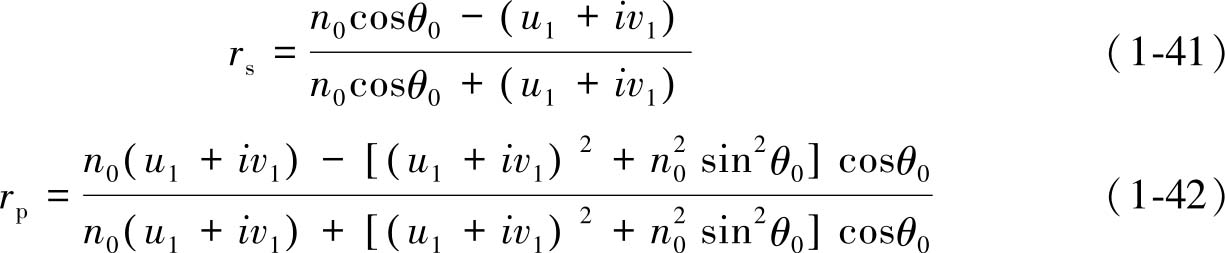
当光束倾斜入射时,情况要复杂得多。这时菲涅尔反射系数为
我们必须记住 N 1 cos θ 1 值是一个复数值
它必须在第四象限。如令
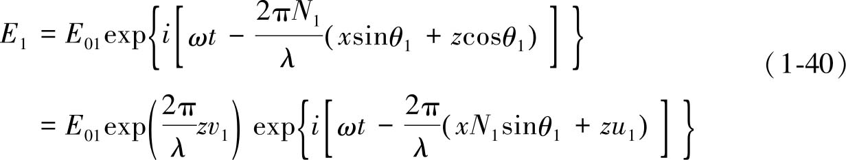
则必须有 u 1 > 0, v 1 > 0。这可以容易地得到证明。在吸收介质中传播的波可以写成如下形式:
只有当
v
1
<0,才表示电场强度沿着
z
方向按指数衰减。同时由于
n
1
>0,
k
1
>0,而且通常
k
1
>
n
1
,所以
必须在第三象限,而它的二次方根则在第二或第四象限。因为
v
1
<
0,所以
u
1
必须大于零。
于是菲涅尔反射系数可以改写成如下形式
对在吸收介质中传播的波,菲涅尔透射系数没有实际意义,因为波的衰减取决于它在介质中的行进路程。复数
和
的幅角是反射波的位相变化,反射率由模的二次方确定。
全反射是值得专门叙述一下的。在这里,在这里,虽然第二介质是透明介质,我们仍然要利用复数折射角的概念。全反射发生在光从光密媒质传播到光疏媒质,即
n
0
>n
1
的时候,而且要入射角
θ
0
超过上式所给定的临界角
(全反射角)
由斯涅尔定律得
当
时,sin
θ
1
=
1,即
θ
1
=
90
°
,因而光沿着和界面相切的方向射出。现在我们要讨论的是当入射角超过临界角时反射位相的变化。在
的情况下
令 n 1 cos θ 1 ≡ iv 1 ,只有 v 1 < 0才符合物理模型。
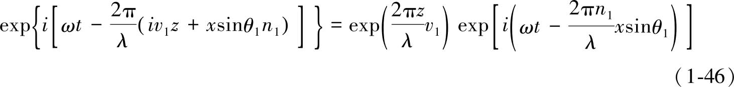
写出光波在第二介质中的位相因子
可见 v 1 取负值才表示电场在第二介质中是一按指数衰减的衰减场。同时上式也说明全反射条件下,在第二介质中电场的等幅面和等位相面是不一致的。等幅面垂直于 z 轴,而等位相面垂直于 x 轴。
为了把菲涅尔公式(1-36)和式(1-37)应用到全反射情况,只需做如下修改。使 xu 1 = 0, iv 1 =n 1 cos θ 1 ,于是有
在全反射情况下,反射光将发生位相变化。式(1-47)、式(1-48)中,
=
1。两式都具有
这种形式,因此
α
是
的幅角(即
=a
e
iα
,其中,
a
和
α
都是实数),则
即
因此
由此可见,两个分量受到不同的位相跃变,因此,线偏振光经全反射后通常也变成椭圆偏振光。
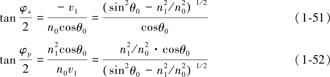
对相对位相差 Δ=φ s -φ p ,有