



反射膜在光学薄膜中有着重要的地位。近年来,随着LED和激光器行业的快速发展,市场对于高反射薄膜的要求越来越高。普遍要求高反膜具有更高的反射率、更小的吸收率以及更低的散射损耗。相比于吸收率比较大的金属膜,介质高反膜无疑具有更好的光学特性。
对于光学仪器中的反射镜来说,单纯金属膜的特性已能满足常用要求,在某些应用中,若要求的反射率高于金属膜所能达到的数值,则可以在金属膜上加镀额外的介质层,以提高它们的反射率,我们可以称为金属增强型高反膜。为了得到更高抗激光损伤阈值的薄膜,介质增强型金属膜很难达到要求,这是因为金属膜的吸收率比较大,很容易被高能激光损坏,这就需要镀制全介质高反膜,由于这种介质高反膜具有最大的反射率和最小的吸收率,因而在光学薄膜的制备中得到了广泛应用。全介质高反膜的设计方法如下:
在折射率为
n
g
的基片上镀以光学厚度为
λ
0
/4的高折射率(
n
1
)的膜层后,由于空气/膜层和膜层/基片界面的反射光同位相,使反射率大大增加。对于中心波长
λ
0
单层膜和基片组合的导纳为
,垂直入射的反射率为
用高、低折射率交替的每层 λ 0 /4厚的介质多层膜能够得到更高的反射率。这是因为从膜系所有界面上反射的光束,当它们回到前表面时具有相同位相,从而产生相长干涉。对这样一组介质膜系,在理论上可望得到接近于100%的反射率。
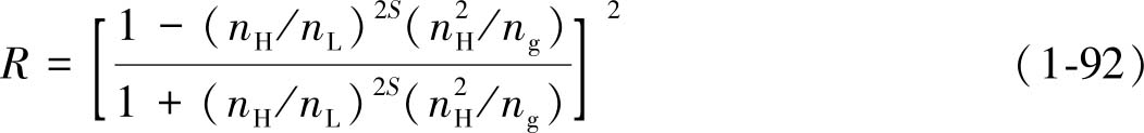
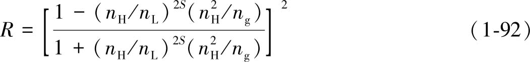
如果用 n H 和 n L 表示高、低折射率膜层的折射率,并使介质膜系两边的最外层为高折射率层,其每层的厚度均为 λ 0 /4,则对于中心波长 λ 0 有
式中, n g 是基片的折射率;2 S +1是多层膜的层数。因而,当光在空气中垂直入射时,中心波长 λ 0 的反射率,也即极大值的反射率为
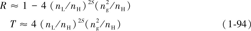
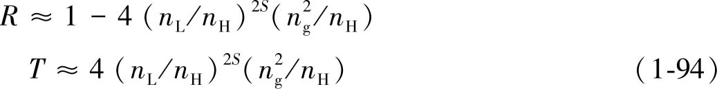
n H / n L 的值越大或层数越多,则反射率越高,如果
则
这说明,当膜系的反射率很高时,额外加镀两层将使膜系的透射率缩小( n L /n H ) 2 倍。理论上只要增加膜系的层数,反射率可无限地接近100%。实际上由于膜层中的吸收、散射损耗,当膜系达到一定的层数时,继续加镀两层并不能提高其反射率,相反由于吸收、散射损耗的增加,而使反射率下降。因此,膜系中的吸收和散射损耗限制了介质膜系的最大层数,在设计膜系时要综合考虑吸收和散射带来的影响。
对于高反膜的设计,一般应用多层规整膜系就能满足实际要求。图1-9为设计的膜系G/(HL) 14 H/AIR的理论反射率曲线,平均理论反射率可以达99.99%以上。
但实际镀制的薄膜,尤其是常规热蒸发下制备的光学薄膜会存在一定的吸收,消光系数不可忽略,因此在薄膜设计中为了得到更优膜系,需要引入薄膜消光系数。引入消光系数后设计的膜系G/(HL) 14 H/AIR的理论反射率及吸收率曲线如图1-10所示,可见实际反射率有所下降。
图1-9 膜系G/(HL) 14 H/AIR的理论反射率及吸收率曲线(未考虑消光系数)
图1-10 膜系G/(HL) 14 H/AIR的理论反射率及吸收率曲线(考虑消光系数)