



在生产过程和科学实验中,要对各种各样的参数进行检测和控制,就要求传感器能够感受被测非电量的变化,并将其不失真地变换成相应的电量,这取决于传感器的基本特性,即输入-输出特性。如果把传感器看做二端口网络,即有两个输入端和两个输出端,那么传感器的输入-输出特性是与其内部结构参数相关的外部特性。传感器的基本特性可用静态特性和动态特性来描述。
传感器的静态特性是指当被测量的值处于稳定状态时的输入-输出关系。只考虑传感器的静态特性时,输入量与输出量之间的关系式中不含有时间变量。衡量静态特性的重要指标是线性度、灵敏度、迟滞特性、重复性和漂移等。
1)线性度 传感器的线性度是指传感器的输出量与输入量之间数量关系的线性程度。输入-输出关系可分为线性特性和非线性特性两种。从传感器的性能来看,希望其具有线性关系,即具有理想的输入-输出关系。但实际的传感器大多为非线性的,若不考虑迟滞和蠕变等因素,传感器的输入-输出关系可用一个多项式表示,即
式中: a 0 为输入量 x 为零时的输出量; a 1 为传感器线性灵敏度, a 2 ,…, a n 为非线性项系数。
式(1-1)中的各项系数决定了特性曲线的具体形状。
静态特性曲线可通过实际测试获得。在实际使用中,为了便于标定和数据处理,希望得到线性的输入-输出关系,因此引入各种非线性补偿环节。如采用非线性补偿电路或计算机软件进行线性化处理,从而使传感器的输入-输出关系为线性或接近线性。若传感器非线性的方次不高,且输入量变化范围较小,可用一条直线(切线或割线)近似地代表实际曲线的一段,使传感器输入-输出特性线性化,如图1-2所示。所采用的直线称为拟合直线。实际特性曲线与拟合直线之间的偏差称为传感器的非线性误差(或线性度),通常用相对误差 r L 表示,即
式中,Δ L max 为最大非线性绝对误差, Y FS 为满量程输出。
从图1-2中可见,即使是同类传感器,拟合直线不同,其线性度也是不同的。选取拟合直线的方法很多,用最小二乘法求取的拟合直线的拟合精度最高。
图1-2 几种直线拟合方法
2)灵敏度 灵敏度 S 是指传感器的输出量增量Δ y 与引起输出量增量Δ y 的输入量增量Δ x 的比值,即
对于线性传感器,它的灵敏度就是其静态特性的斜率( S =Δ y /Δ x 为常数),即
而非线性传感器的灵敏度为变量,用 S =d y /d x 表示。传感器的灵敏度如图1-3所示。
图1-3 传感器的灵敏度
3)迟滞特性 传感器的正行程(输入量增大)与反行程(输入量减小)的输入-输出特性曲线不重合的现象称为迟滞特性,如图1-4所示。也就是说,对于同一大小的输入信号,传感器的正、反行程输出信号大小不相等。迟滞特性是由于传感器敏感元件材料的物理性质和机械零部件的缺陷所造成的,如弹性敏感元件的弹性滞后、运动部件摩擦、传动机构的间隙、紧固件松动等。
迟滞大小通常由实验来确定。迟滞误差 r H 可由下式计算:
式中,Δ H max 为正、反行程输出值之间的最大差值。
4)重复性 重复性是指传感器在输入量按同一方向作全量程连续多次变化时,所得特性曲线不一致的程度,如图1-5所示。重复性误差属于随机误差,常用标准偏差 σ 表示,也可用正、反行程中的最大偏差Δ R max 表示,即
图1-4 迟滞特性
图1-5 重复性
5)漂移 传感器的漂移是指在外界的干扰下,输出量发生与输入量无关的、不需要的变化。漂移包括零点漂移和灵敏度漂移等。其中,零点漂移或灵敏度漂移又可分为时间漂移和温度漂移。时间漂移是指在规定的条件下,零点或灵敏度随时间推移而发生的缓慢变化。温度漂移是指由环境温度变化而引起的零点或灵敏度的变化。
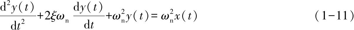
传感器的动态特性是指其输出量对随时间变化的输入量的响应特性。当被测量随时间变化(即时间的函数)时,则传感器的输出量也是时间的函数,它们之间的关系要用动态特性来表示。一个动态特性好的传感器,其输出量将再现输入量的变化规律,即具有相同的时间函数。实际上,除非具有理想的比例特性,否则输出信号不会与输入信号具有相同的时间函数,这种差异就是所谓的动态误差。
为了说明传感器的动态特性,下面简要介绍动态测温问题。在被测温度随时间变化或传感器突然插入被测介质中,以及传感器以扫描方式测量某温度场的温度分布等情况下,都存在动态测温问题。例如,把一个热电偶从温度为 t 0 的环境中迅速插入一个温度为 t 的恒温水槽中(插入时间忽略不计),这时热电偶测量的介质温度从 t 0 突然上升到 t ,而热电偶反映出来的温度从 t 0 变化到 t 需要经历一段时间,即有一段过渡过程,如图1-6所示。热电偶反映出来的温度与介质温度的差值就称为动态误差。之所以会造成热电偶输出波形失真和产生动态误差,是因为温度传感器有热惯性(由传感器的比热容和质量大小决定)和传热热阻,使得在动态测温时传感器的输出总是滞后于被测介质的温度变化。这种热惯性是热电偶固有的,它决定了热电偶测量快速温度变化时会产生动态误差。影响动态特性的“固有因素”在任何传感器中都必然存在,只是其表现形式和作用程度不同而已。
图1-6 动态测温
动态特性除了与传感器的固有因素相关,还与传感器输入量的变化形式相关。也就是说,在研究传感器动态特性时,通常是根据不同输入变化规律来考察传感器的响应的。
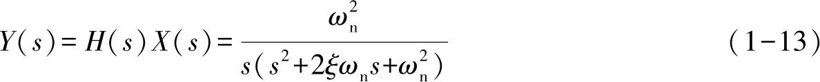
虽然传感器的种类和形式很多,但它们一般可以简化为一阶或二阶系统(高阶可以分解成若干个低阶环节),因此一阶和二阶的传感器是最基本的。传感器的输入量随时间变化的规律是多种多样的,下面在对传感器动态特性进行分析时,采用最典型、最简单、易实现的正弦信号和阶跃信号作为标准输入信号。对于正弦输入信号,传感器的响应称为频率响应或稳态响应;对于阶跃输入信号,则称为传感器的阶跃响应或瞬态响应。
1)瞬态响应特性 传感器的瞬态响应是时间响应。在研究传感器的动态特性时,有时需要在时域中对传感器的响应和过渡过程进行分析,这种分析方法就是时域分析法,传感器对所加激励信号的响应称为瞬态响应。常用激励信号有阶跃函数、斜坡函数、脉冲函数等。下面以传感器的单位阶跃响应来评价传感器的动态性能指标。
(1)一阶传感器的单位阶跃响应。在工程上,一般将式(1-7)视为一阶传感器单位阶跃响应的通式。
式中: x ( t )、 y ( t )分别为传感器的输入量和输出量(均为时间的函数);表征传感器的时间常数,具有时间“秒”的量纲。
一阶传感器的传递函数:
对初始状态为零的传感器,若输入一个单位阶跃信号:
由于 x ( t )为单位阶跃信号, X ( s )=1 /s ,传感器输出的拉普拉斯变换为
一阶传感器的单位阶跃响应信号为
一阶传感器的单位阶跃响应曲线如图1-7所示。由图1-7可见,传感器存在惯性,它的输出不能立即复现输入信号,而是从零开始,按指数规律上升,最终达到稳态值。理论上,传感器的响应只在 t 趋于无穷大时才达到稳态值,但实际上当 t =4时其输出已达到稳态值的98.2%,可以认为已达到稳态。越小,响应曲线形状越接近于阶跃函数。因此,值是一阶传感器重要的性能参数。
(2)二阶传感器的单位阶跃响应。二阶传感器的单位阶跃响应的通式为
式中, ω n 为传感器的固有频率, ξ 为传感器的阻尼比。
二阶传感器的传递函数为
传感器输出的拉普拉斯变换为
二阶传感器对阶跃信号的响应在很大程度上取决于阻尼比 ξ 和固有频率 ω n 。固有频率 ω n 由传感器的主要结构参数所决定, ω n 越高,传感器的响应越快。当 ω n 为常数时,传感器的响应取决于阻尼比 ξ 。图1-8所示为二阶传感器的单位阶跃响应曲线。阻尼比 ξ 直接影响超调量和振荡次数。当 ξ =0时,为临界阻尼,超调量为100%,产生等幅振荡,达不到稳态;当 ξ >1时,为过阻尼,无超调也无振荡,但达到稳态所需时间较长;当 ξ <1时,为欠阻尼,衰减振荡,达到稳态值所需时间随 ξ 的减小而加长;当 ξ =1时,响应时间最短。
图1-7 一阶传感器的单位阶跃响应曲线
图1-8 二阶传感器的单位阶跃响应曲线
实际应用中,常按欠阻尼来调整, ξ 取0.7~0.8为最佳。对于时域分析,系统可以快速进入稳态误差[±(2~5)%]范围;对于频域分析,从实现不失真测试的条件出发,可以获得较为合适的综合特性,幅频特性的变化不超过5%,相频特性接近于直线,所产生的相位失真很小。
(3)瞬态响应特性指标。给传感器输入一个单位阶跃信号时,其输出特性如图1-9所示。瞬态响应特性指标的定义如下所述。
图1-9 瞬态响应特性指标
【时间常数】 一阶传感器时间常数越小,响应速度越快。
【延时时间 t d 】 传感器输出达到稳态值的50%所需的时间。
【上升时间 t r 】 传感器输出达到稳态值的90%所需的时间。
【最大超调量
σ
p
】
传感器输出超过稳态值的最大值,
σ
p
=
×100%。
【峰值时间 t p 】 响应曲线到达第一个峰值所需的时间。
【响应时间 t s 】 响应曲线衰减到稳态值±5%或±2%范围内所需的时间。
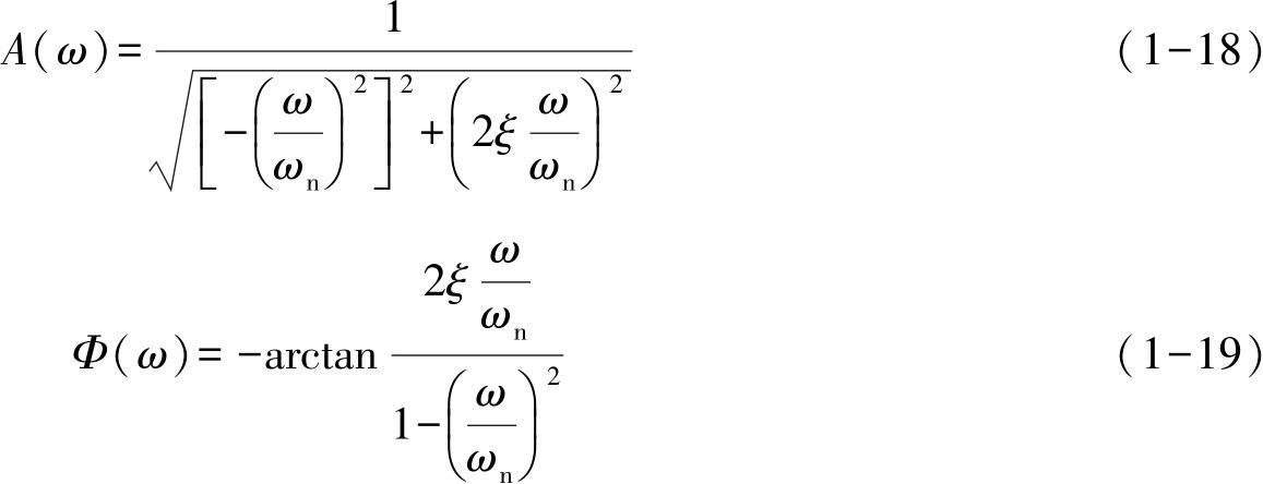
2)频率响应特性 传感器对正弦输入信号的响应特性,称为频率响应特性。频率响应法是从传感器的频率特性出发研究传感器的动态特性的。
(1)一阶传感器的频率响应。将一阶传感器的传递函数中的 s 用j ω 代替后,即可得到频率特性表达式,即
幅频特性:
相频特性:
图1-10所示为一阶传感器的频率响应特性曲线。
从式(1-15)、式(1-16)和图1-10可以看出,时间常数越小,频率响应特性越好。当 ω ≪1时, A ( ω )≈1, Φ ( ω )≈0°,表明一阶传感器输出与输入为线性关系,且相位差很小,输出 y ( t )比较真实地反映了输入 x ( t )的变化规律。因此,减小可以改善传感器的频率特性。
图1-10 一阶传感器的频率响应特性曲线
(2)二阶传感器的频率响应。由二阶传感器的传递函数式(1-12)可写出它的频率特性表达式,即
其幅频特性和相频特性分别为
图1-11所示为二阶传感器的频率响应特性曲线。从式(1-17)、式(1-18)和图1-11可见,二阶传感器频率响应特性的好坏主要取决于传感器的固有频率
ω
n
和阻尼比
。当
ξ
<1、
ω
n
≪
ω
时,
A
(
ω
)≈1,
Φ
(
ω
)很小,此时传感器的输出
y
(
t
)再现了输入
x
(
t
)的波形。通常,固有频率
ω
n
至少应大于被测信号频率
ω
的3~5倍。
为了减小动态误差和扩大频率响应范围,一般需要提高传感器固有频率
ω
n
。而固有频率
ω
n
与传感器运动部件质量
m
和弹性敏感元件的刚度
k
有关,即
ω
n
=
。增大刚度
k
或减小质量
m
均可提高其固有频率,但刚度
k
的增加会使传感器灵敏度降低。所以,在实际应用中,应综合各种因素来确定传感器的各个特征参数。
静态特性和动态特性并不能完全描述传感器的性能。表1-1列出了在选择传感器时应当考虑的传感器和待测量有关的另一些特性。除了这些传感器特性,测量方法也必须始终适合于应用。例如,在测量流量时,若插入流量计对疏通段造成显著妨碍,也会引起误差。
图1-11 二阶传感器的频率响应特性曲线
表1-1 选择传感器时应当考虑的一些特性
※传感器的静态特性和动态特性必须与待测量的要求相适合。
1)输入特性——阻抗 待测量的输出阻抗决定了传感器的输入阻抗。前面所介绍的传感器静态特性和动态特性都不能反映组合的传感器——测量系统的真实性能。用方块图描述传感器或测量系统时,忽略了传感器要从测量系统提取某些功率这一事实。若这种功率提取使待测量的值改变,便视为存在加载误差。方框图只适用于方框之间没有能量交换的场合。输入阻抗的概念能使我们确定何时会出现加载误差。
当对一个量 x 1 进行测量时,总是涉及另一个量 x 2 ,因此乘积 x 1 · x 2 具有功率的量纲。例如:在测量力时,总存在速度;在测量流量时,总存在压力差;在测量温度时,总存在热流;在测量电流时,总存在电压差;等等。
若非机械变量是在空间中的两点或区域之间被测量的,则它们被指定为作用变量(电压、压力、温度);若它们是在空间中的某一点或某个区域处被测量,则被指定为流动变量(电流、体积流、热流)。对于机械变量则采用相反的定义,即在某一点上的测量为作用变量(力、力矩),而在两点之间的测量为流动变量(线速度、角速度)。
对于可以用线性关系来描述的元件,输入阻抗 Z ( s )定义为输入作用变量的拉普拉斯变换与相关流动变量之商。输入导纳 Y ( s )定义为 Z ( s )的倒数。 Z ( s )和 Y ( s )往往随频率变化而变化。当考虑很低的频率时,则用刚性和柔性代替阻抗和导纳。
为了使加载误差最小,测量作用变量时,必须使输入阻抗很高。若 x 1 是作用变量,则
从测量系统提取的功率为 P = x 1 x 2 。若要使 P 维持最小,则必须使 x 2 尽可能小。因此,输入阻抗必须很高。
为了在测量流动变量时维持 P 最小,必须使 x 1 很小,从而要求低输入阻抗(即高输入导纳)。
为了获得高输入阻抗,可能需要变更元器件值或重新设计系统,并使用有源器件。对于有源器件,大部分功率都来自辅助电源,而不是来自被测系统。另一个可供选择的方案是利用平衡法进行测量,因为只有当输入变量的值改变时,才有显著的耗用功率。
传感器的输出阻抗决定了接口电路所需的输入阻抗。电压输出要求高输入阻抗,以使检测电压
接近传感器的输出电压。相反,电流输出则要求低输入阻抗,以使输入电流
接近传感器的输出电流。
2)可靠性 传感器只有在规定条件下和规定时间内无故障工作才是可靠的。在统计学上,高可靠性意味着按要求工作的概率接近于1(即在所考虑的期间,该传感器的部件几乎不失效)。失效率是指某一产品每单位寿命测度(时间、周期)的失效数与保持完好的产品数之比。