



在计算机科学中,二叉树是一种重要的数据结构。许多实际问题抽象出来的数据结构往往是二叉树形式,即使是一般的树也能简单地被转换为二叉树形式。
遍历是对树的一种最基本的运算。所谓的遍历二叉树,就是按照一定的规则和顺序扫描二叉树的所有节点,使得树上的每个节点都能被访问一次,而且只被访问一次。
本节将介绍二叉树的遍历原理和具体的实现方法。
二叉树是每个节点最多有两个子树的树结构。通常将子树分为“左子树”和“右子树”。二叉树的每个节点最多只有两棵子树(不存在度大于2的节点),二叉树的子树有左右之分,次序不能颠倒。二叉树的第 i 层最多有2 i -1 个节点。深度为 k 的二叉树最多有2 k -1个节点。
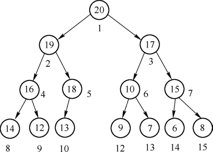
假设下面的一组数据序列,如表2.1所示。
表2.1 数据序列与对应的节点编号
图2.1 二叉树的结构
用二叉树表示表2.1中所示的数据序列,如图2.1 所示,圆圈内的数字为该节点数据的值,圆圈外的数字为所对应节点的编号。
我们经常希望访问树中的每一个节点并且查看它的值。常见的二叉树遍历分为按深度优先遍历和按广度优先遍历。
在深度优先级中,我们希望从根节点访问最远的节点。与图的深度优先搜索不同的是,不需要记住访问过的每一个节点,因为树中不会有环。前序遍历(Pre-Order Traversal)、中序遍历(In-Order Traversal)和后序遍历(Post-Order Traversal)都是深度优先遍历的特例。
与深度优先遍历不同,广度优先遍历会先访问离根节点最近的节点。二叉树的广度优先遍历又称层序遍历(Level-Order Traversal)。
1.层序遍历
层序遍历就是按二叉树从上到下、从左到右依次扫描二叉树中的每个节点。对于图2.1给出的二叉树结构,按层序遍历数据的顺序为
20→19→17→16→18→10→15→14→12→13→9→7→6→8
2.前序遍历
前序遍历就是先访问根节点,再访问左节点,最后访问右节点。显然,在前序遍历中,访问父节点优于访问子节点。对于图2.1给出的二叉树结构,按前序遍历数据的顺序为
20→19→16→14→12→18→13→17→10→9→7→15→6→8
前序遍历用于创建树的“副本”,也用于获取表达式树上的前缀表达式。
3.中序遍历
中序遍历就是先访问左节点,再访问根节点,最后访问右节点。显然,在中序遍历中,访问父节点的次序位于左右子节点之间。对于图2.1给出的二叉树结构,按中序遍历数据的顺序为
14→16→12→19→13→18→20→9→10→7→17→6→15→8
在二叉搜索树(Binary Search Trees,BST)的情况下,中序遍历以非递减顺序给出节点。
4.后序遍历
后序遍历就是先访问左节点,再访问右节点,最后访问根节点。显然,在后序遍历中,先访问完左右子节点之后再访问父节点。对于图2.1给出的二叉树结构,按后序遍历数据的顺序为
14→12→16→13→18→19→9→7→10→6→8→15→17→20
后序遍历用于删除树,其对于获取表达式树的后缀表达式也非常有用。
基于递归的方法,在LoongIDE软件工具中使用C语言实现深度优先遍历(前序遍历、中序遍历和后序遍历)和广度优先遍历(层序遍历)算法的代码如代码清单2-1所示。
注 :工程文件夹设置为:E:\loongson1B_training_example\example_2_1。
代码清单2-1 深度和广度优先遍历的C语言代码(递归实现)
注 :读者可以定位到本书提供资源的\loongson1B_training_example\example_2_1目录中,使用LoongIDE软件工具打开example_2_1.lxp工程文件。
本节将介绍如何对设计进行编译,并将设计下载到龙芯1B开发板进行验证。具体实现步骤如下所示。
(1)编译程序代码,给龙芯1B硬件开发平台上电。
(2)在Windows操作系统中,进入设备管理器界面。在该界面中,找到虚拟出来的串口端口号,如图2.2所示。在本书所使用的计算机中,虚拟出的串口端口号为COM5。
(3)启动PuTTY(64-bit)软件工具,自动弹出“PuTTY Configuration”对话框,如图2.3所示。在该对话框中,选中“Session”选项,按如下设置参数。
图2.2 虚拟出来的串口
图2.3 “PuTTY Configuration”对话框
① Connection type:Serial(通过复选框设置)。
② Serial line:COM5(通过文本框设置)。
③ Speed:115200(通过文本框设置)。
(4)单击“Open”按钮,退出“PuTTY Configuration”对话框,进入命令行模式。
(5)在LoongIDE主界面主菜单下,选择Debug->Run,开始运行程序,在PuTTY命令行界面中则会打印出使用不同方法得到的遍历结果,如图2.4所示。
图2.4 PuTTY命令行模式下打印的信息(反色显示)
深度和广度优先遍历的C语言代码(非递归实现)如代码清单2-2所示。注意,代码中的tree[10]=0,对应表2.1中的空节点NULL。
代码清单2-2 深度和广度优先遍历的C语言代码(非递归实现)
注 :读者可以定位到本书提供资源的\loongson1B_training_example\example_2_2目录中,使用LoongIDE软件工具打开example_2_2.lxp工程文件。
本节将介绍如何对设计进行编译,并将设计下载到龙芯1B开发板进行验证。具体实现步骤如下所示。
(1)编译程序代码,给龙芯1B硬件开发平台上电。
(2)启动并配置PuTTY(64-bit)软件工具。
(3)在LoongIDE主界面主菜单下,选择Debug->Run,开始运行程序,在PuTTY命令行界面中则会打印出使用不同方法得到的遍历结果,如图2.5所示。
图2.5 PuTTY命令行模式下打印的信息(反色显示)
在bsp_start.S文件中,添加如代码清单2-3所示的实现深度和广度优先遍历算法(非递归实现)。注意,代码中的tree[10]=0对应表2.1中的空节点NULL。
代码清单2-3 在bsp_start.S文件中添加实现深度和广度优先遍历算法(非递归实现)的汇编语言代码
注 :读者可以定位到本书提供资源的\loongson1B_training_example\example_2_3目录中,使用LoongIDE软件工具打开example_2_3.lxp工程文件。
本节将介绍如何对前面所设计的汇编语言代码进行编译,并在龙芯1B硬件开发平台上进行调试和验证。具体实现步骤如下所示。
(1)编译程序代码,给龙芯1B硬件开发平台上电。
(2)如图2.6所示,在代码清单2-3中设置断点。
图2.6 在代码清单2-3中设置断点
(3)在LoongIDE主界面主菜单下,选择Debug->Run,进入调试器界面。
(4)单击“CPU Registers”标签,在“CPU Registers”标签页中找到寄存器名字为“a0”的一行,并用鼠标左键双击该行。注意,寄存器a0中保存着层序遍历结果的首地址。
(5)弹出“View Memory”对话框,如图2.7所示。从图2.7中可知,层序遍历的结果保存在存储空间地址为0x80212816开始的位置。在该对话框中,设置下面的参数。
① Count:15。(通过“Count”标题右侧的旋转按钮设置)。
② Data Type:short(通过选择“short”前面的复选框设置)。
(6)单击图2.7中的“Fetch”按钮。在图2.7的右侧窗口中,从地址0x80212816开始保存着层序遍历的结果。
(7)单击图2.7中的按钮图标
,退出“View Memory”对话框。
(8)在“CPU Registers”标签页中找到寄存器名字为“a1”的一行,并用鼠标左键双击该行。注意,寄存器a1中保存着前序遍历结果的首地址。
(9)弹出“View Memory”对话框,如图2.8所示。从图2.8中可知,前序遍历的结果保存在存储空间地址为0x80212834开始的位置。
(10)单击图2.8中的按钮图标
,退出“View Memory”对话框。
图2.7 “View Memory”对话框(1)
图2.8 “View Memory”对话框(2)
(11)在“CPU Registers”标签页中找到寄存器名字为“a2”的一行,并用鼠标左键双击该行。注意,寄存器a2中保存着中序遍历结果的首地址。
(12)弹出“View Memory”对话框,如图2.9所示。从图2.9中可知,中序遍历的结果保存在存储空间地址为0x80212852开始的位置。
(13)单击图2.9中的按钮图标
,退出“View Memory”对话框。
(14)在“CPU Registers”标签页中找到寄存器名字为“a3”的一行,并用鼠标左键再次双击该行。注意,寄存器a3中保存着后序遍历结果的首地址。
(15)弹出“View Memory”对话框,如图2.10所示。从图2.10中可知,后续遍历的结果保存在存储空间地址为0x80212870开始的位置。
图2.9 “View Memory”对话框(3)
图2.10 “View Memory”对话框(4)
(16)单击图2.10中的按钮图标
,退出“View Memory”对话框。