



等分配法是设计初期,即论证方案阶段,当产品没有继承性,而且产品定义并不十分清晰时所采用的最简单的分配方法。
等分配法的原理是,对于简单的串联系统,认为其各组成单元的可靠性水平均相同。设系统有 n 个单元串联而成, R i = R , i =1,2,…, n ,则系统可靠度 R s 为:
若给定系统可靠度指标为
,则由上式分配给各单元的可靠度指标
为:
假设各单元寿命服从指数分布(对于电子产品,服从指数分布),则:
式中:
—分配给第i个单元的故障率;
—系统的故障率指标。
等分配方法虽然简单,但不太合理。因为在实际系统中,一般不可能存在各单元可靠性水平均等的情况,但对一个新系统,在方案论证阶段,进行初步分析是可取的。
评分分配法适合于论证、方案和初步设计阶段,用于分配系统的基本可靠性,并假设产品服从指数分布。在缺少可靠性数据的情况下,通过有经验的设计人员或专家对影响可靠性的最重要的因素进行打分,并对评分值进行综合分析而获得各单元产品之间的可靠性相对比值,根据相对比值对每个分系统或设备分配可靠性指标。应用这种方法时,时间一般应以系统工作时间为基准。评分分配法实施步骤如下。
1)确定评分因素,给出评分依据,建立评分准则
评分分配法通常考虑的因素有:复杂度、技术水平、工作时间和环境条件,在有信息数据支持情况下可考虑故障后果和可达性。在工程实际中可以根据产品的特点而增加或减少评分因素,确定评分因素后,应建立评分准则。评分准则是给专家提供的评分依据,该步骤中应确定各类因素的评价分数及范围,以及各分值的说明,其分值越高说明可靠性越差。
复杂程度:它是根据组成单元的元部件数量以及它们组装的难易程度来评定。最复杂的评10分,最简单的评1分,具体如表4-4所示:
表4-4复杂程度因素评分准则
技术成熟水平:根据单元目前技术水平和成熟程度评定。水平最低的评10分,水平最高的评1分,具体准则如表4-5所示。
表4-5技术成熟水平因素评分准则
工作时间:根据单元工作时间来评定。单元工作时间最长的评10分,最短的评1分,具体准则如表4-6所示。
表4-6工作时间因素评分准则
环境条件:根据单元所处的环境来评定。单元工作过程中会经受极其恶劣而严酷的环境条件的评10分,环境条件最好的评1分,具体准则如表4-7所示。
表4-7环境条件因素评分准则
故障后果:根据故障发生后造成的损失进行评定。单元工作过程中出现故障会导致极其严重后果的评10分,不足以造成危害的评1分,具体准则如表4-8所示。
表4-8故障后果因素评分准则
可达性:根据被评产品达到同级产品最长时间的百分比进行评定。可达性极差的评10分,可达性极好的评1分,具体准则如表4-9所示。
表4-9可达性因素评分准则
2)对影响因素进行评分,并计算评分,专家对影响因素进行评分,并将结果填表4-10。
表4-10专家评分表
在每位专家都对所有因素打分后,求其算术平均分r ij :
式中: r ij —第i个单元,第j个因素的平均得分; m —打分专家数量; t ij (q)—第 q 个专家给第 i 个单元产品,第 j 个因素的打分(其中 i =1,2…, n , j =1,2…, k , q =1,2…, m )。将产品的评分结果填入表4-11。
表4-11评分结果表
3)计算评分分配系数C i
使用下式计算每个单元产品总评分:
式中: r ij —第 i 个单元,第 j 个因素的评分数; j =1—复杂程度; j =2—技术成熟水平; j =3—工作时间; j =4—环境条件;……; j = k 。
系统的总评分数:
式中, i =1,2,…, n 为单元数。
第 i 个单元的评分分配系数:
式中:ω i —第 i 个单元评分数;ω—系统的总评分数。
4)计算分配结果
设系统的可靠性参数为故障率,其指标为
,分配给每个单元的故障率
为:
式中: i —单元数( i =1,2…, n ); C i —第 i 个单元的评分系数。
5)处理结算结果
把分配得到的故障率
求倒数得到MTBF,并对结果进行圆整化。
6)编写分配报告
使用评分分配法的注意事项如下:
a)参与评分的人员应是有工程经验、充分了解评分对象的专家,一般人数不得少于5位;
b)在确定评分因素时,应结合系统特点,选取影响系统可靠性的主要因素作为评分因素;
c)确定该系统中已定型的“货架”产品或已单独给定可靠性指标的产品;
d)如果遇到明显与其他评分专家不同的给分,询问该专家评分原因,以确定其是否对准则理解有误。
[例4-1] 某系统共由18个分系统组成,其中五个分系统是采用已使用过的产品并已知其MTBF值(见表4-12)。系统的可靠性指标规定值MTBF=2.9(h)。使用评分分配法对其余13个分系统进行分配。
表4-12已知MTBF的分系统
计算得到上述5个分系统的MTBF COTS 总和为:
则需分配的指标
为:
用评分法分给13个分系统,其分配结果如表4-13所示。
表4-13可靠性分配结果
比例组合分配法是根据相似老系统中各单元产品的故障率或单元预计数据进行分配的一种方法。比例组合分配法可以对系统的故障率、MTBF等基本可靠性指标进行分配。本方法的实质是认为原有系统基本上反映了一定时期内产品能实现的可靠性,新系统的个别单元不会在技术上有重大突破,那么按照现实水平,可把新的可靠性指标按其原有能力成比例地进行调整。本方法只适用于新、老系统结果相似,而且有老系统统计数据或是在已有各组成单元预计数据基础上进行分配的情况。
比例组合分配法实施步骤如下:
a)确定比例系数k
根据新系统的可靠性指标(故障率)和相似老系统的可靠性指标(故障率),并按下式计算比例系数 k :
式中:
—新系统可靠性指标(故障率);
—老系统可靠性指标(故障率);
k
—比例系数。
b)获取相似老系统中每个组成单元的故障率
将已有老系统的使用统计数据,或可靠性预计获得的各单元产品的故障率,填入表4-14中。
表4-14某相似老系统各单元产品故障率
c)计算新系统中各单元故障率
使用下式计算分配给新系统第
i
个组成单元的故障率
:
式中:
—分配给第i个单元的可靠性指标(故障率);
—相似老系统中第
i
个单元的可靠性指标(故障率);
k
—比例系数。
d)处理计算结果
把分配得到的故障率求倒数得到MTBF,并对结果进行圆整化。
e)编写分配报告
使用比例组合分配法的注意事项如下:
a)该方法只能在新、老系统功能、结构、使用环境相似的条件下应用;
b)老系统各单元产品故障率可以获取。
[例4-2]
某系统其故障率
=256.0× 10
-6
/h,各单元产品故障率见表4-15中的第3列所示。设计的新系统,其组成部分与老系统基本一致,新系统的故障率要求为
=200.0× 10
-6
/h,用比例组合分配法分配结果如下:
a)求得比例系数:
=0.781 25。
b)通过统计得到相似老系统组成单元故障率,建立表4-15,并将数据输入到第3列;
c)计算新系统中各子系统故障率,见表4-15中第4列;
d)计算MTBF,并将结果圆整化,见表4-15中第5、6列。
表4-15某系统各单元故障率
(续表)
1)精确解法
利用比例组合法的基本原则,即各组成单元故障率的分配值
与该单元原有的故障率λ
i
之比值相等,且与新、老产品故障率之比相等:
式中: K -比例因子。
由于各单元的寿命服从指数分布:
式中:
-新产品第
i
个单元的可靠度;
t
i
-新产品中第
i
个单元的任务时间(h)。
根据产品的具体情况,建立其数学模型,将所有单元的可靠度
代入式(4-13)中的
,新产品要求的可靠度
已知,由此算出K值,再利用式(4-12)或(4-13)得到各单元故障率
或可靠度
的分配值。
2)工程近似法
当由于模型复杂,使得求精确解比较困难时,可用下述方法求近似解,计算步骤如下:
a)按原有的故障率数据计算比例因子C i :
b)按下式求出第一次分配给各单元的可靠度
:
式中:
—新产品要求的可靠度。
c)由
按可靠性模型进行计算,得出新产品按第一次分配值计算的可靠度
,按下式求出其与要求的可靠度
的对数差值:
d)按下式将差值Δ再用比例组合法分配给各单元,得到第二次修正的分配值
e)反复进行c、d两步,直至Δ足够小,一般修正2~3次即可满足工程精度要求。
以上计算过程可以通过填写表4-16来实现。
表4-16非串联模型比例组合法计算表
此法用于组成产品各单元的可靠性数据已知,但产品的可靠性不能满足规定要求,这时就需要改进原设计,提高各单元的可靠性,对产品的可靠性进行再分配。根据以往的经验,可靠性越低的产品越容易改进,反之则越困难,因此,此法的基本思想是:将原来可靠度较低的单元的可靠度都提高到某个值,而对于原来可靠度较高的单元的可靠度仍保持不变,此法仅适用于串联模型。
再分配法具体步骤如下:
a)按各单元可靠度大小,由低到高将它们依次排列为:
b)将可靠度较低的
都提高到某个值
R
0
,而原来可靠度较高的
保持不变,则产品可靠度
R
s
为:
c)使
R
0
满足规定的产品可靠度指标要求
,即:
d)确定 k 0 和 R 0 ,即确定哪些单元的可靠度需要提高以及提高到什么程度,令:
则: k 0 就是满足以下不等式的 j 的最大值:
即:
AGREE分配法是适用于电子产品的一种方法,该方法根据各单元产品的重要程度、复杂程度以及工作时间进行可靠性指标分配,是工程应用广泛的一种分配方法。 AGREE分配法可以对系统进行任务可靠性分配,分配的指标是任务可靠度。
AGREE分配法的实施步骤如下:
1)确定参数
a)确定第 i 个单元产品包含的器件数量 n i ;
b)确定第 i 个单元产品的工作时间 t i ;
c)确定第 i 个单元产品的重要度系数ω i 。
重要度系数ω i 是单元产品故障影响系统任务完成的程度,其数值可根据实际经验(或统计数据)来确定,也可通过可靠性模型、FMECA或FTA等方法得到。ω i =1,说明该单元产品的故障将直接导致系统任务失败,一般是串联模型;ω i <1,说明该单元产品故障,系统不一定不能完成任务,一般是有冗余设计,或是某些故障不足以影响系统完成任务。
2)计算分配给第 i 个单元的MTBCF
由下式计算分配给第 i 个单元的MTBCF:
式中:
N
—整个系统的基本构成部件数量;
t
i
—第
i
个单元产品工作时间,单位为小时(h);ω
i
—第i个单元的重要度系数;
n
i
—第
i
个单元产品包含的器件数量;
—系统的任务可靠度分配值。
3)计算分配给第i个单元的任务可靠度
由下式计算分配给第
i
个单元的任务可靠度
式中:
t
i
—第
i
个单元产品工作时间,单位为小时( h);
—分配给第
i
个单元产品的MTBF,单位为小时(h)。
4)编写可靠性分配报告。
[例4-3] 某系统要求工作12 h的可靠度为0.923,该系统的各单元产品有关参数见表4-17,用AGREE分配法分配各单元可靠度的过程为:
a)确定第 i 个单元产品包含的器件数量 n i ,见表4-17第3列;
b)确定第 i 个单元产品工作时间 t i ,见表4-17第4列;
c)确定第 i 个单元产品的重要度系数ω i ,见表4-17第5列。
d)计算分配到每个单元产品的MTBCF:
将结果填入到表4-17第6列中。
e)根据
计算分配到每个单元产品的任务可靠度:
将结果填入表4-17中。
表4-17某系统各单元分配参数和指标
此法用于产品各单元可以利用GJB/Z299C或其他可靠性基本失效数据手册预计得出的可靠性指标的情况。
在指标分配过程中,可以先进行各单元指标预计,暂取预计值作为分配值,再通过验算确认分配值是否已满足产品的可靠性要求,若满足要求,则各单元预计值即为分配值;若未达到要求,再根据情况由上至下对各单元指标进行调整,或选择适当的分配方法进行重新分配,直至满足产品指标要求。
此法用于新老产品极为相似,可靠性指标要求相近,且老产品的可靠性数据完整可靠的情况。这时可采用工程相似的办法,根据经验,对老产品各单元的可靠性数据进行适当调整,便可确定出新产品及其各单元的可靠性指标分配值。
在重量、体积和成本等约束条件下,使可靠度为极大值的可靠性分配;或是在一定的可靠度要求下使产品的重量、体积和成本等为极小值的可靠性分配,可以采用拉格朗日乘数法。
拉格朗日乘数法是一种将有约束最优化问题转换为无约束问题的求优方法。由于引入了一种待定系数:拉格朗日因子λ,所以可利用这种因子将原约束最优化问题的目标函数和约束条件组合成称为拉格朗日函数的新目标函数,新目标函数的无约束最优解就是原目标函数的约束最优解。
假定系统由k个装置所组成,系统可靠度指标值为 R S ,待求的各装置的可靠度分配值为 R i ( i =1,2,…, k )。
根据系统可靠性计算方法,已知系统的可靠度表达式是可以写出来的。令系统可靠度与组成装置的可靠度有下列函数关系:
一般当装置的可靠度 R i 值越大时,系统的可靠度 R S 也会越大,因此,式(4-26)的函数是一个对 R i 的单调递增函数。
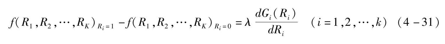
另外,还需建立可靠度与体积、重量和成本等约束条件的数学表达式。第 i 个装置的可靠度的限制条件表示为可靠度 R i 的函数 G i ( R i ),系统的限制条件为对各装置求和:
引入拉格朗日因子λ作φ函数:
式中:λ为待定常数。
令φ函数对 R i 的偏导数等于零,即为其极值存在的条件,可以得到 k 个方程:
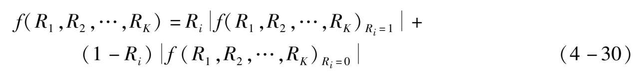
由系统的全概率公式(4-26)可以写成:
将式(4-29)代入式(4-30)中可得:
将该式与
联立,可解出待定常数λ及各装置可靠度之分配值
R
i(
i
=1,2,…,
k
)。
在该方法应用中,比较困难的是写出约束条件与装置可靠度的数学表达式 G i ( R i ),即重量、体积和成本等的增加使可靠度增加多少的关系式。由于在设计中采取贮备或降额方式的不同,具体的数学关系式是不同的。在实际应用中可采取工程上容许的近似,以使问题简化,通常为先定出几个竞争性的方案,算出各方案的估计费用、重量及体积和对应的可靠度,最后选取可接受的方案。