



任给空间直角坐标系中的一条直线 L ,所谓直线 L 的方程,就是直线 L 上任意点 M 的坐标( x , y , z )所满足的一个方程,并且满足这个方程的点 M ( x , y , z )一定在直线 L 上。本节将在空间直角坐标系中建立直线的方程,并讨论空间中直线与直线、直线和平面的夹角及点到直线的距离.
如果一个非零向量
平行于一条已知直线
L
,则称
s
是直线
L
的
方向向量
.显然,直线上的任何一向量都平行于该直线的方向向量.
由于过空间一点只可作一条直线平行于已知直线。因此,当直线
L
上一点
和它的一方向向量
s
=
为已知时,直线也就完全确定了。下面来建立这条直线
L
的方程.
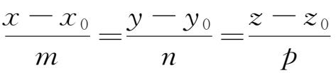
设
为直线
L
上的任一点,那么向量
=
与
L
的方向向量
平行(图7-21),于是存在数
t
,使
图7-21
从而
消去 t ,得
反过来,如果点
M
满足方程(7-10),那么向量
与
s
平行,则点
M
一定在直线
L
上。因此方程(7-10)就是直线
L
的方程,这个方程称为直线
L
的
点向式方程
或
对称式方
程
.称方程组(7-9)为直线
L
的
参数方程
.
特别地,若方程(7-10)中 m , n , p 中有一个为零,例如 m =0,而 n , p ≠0时,方程(710)应理解为
当 m , n , p 中有两个为零,例如 m = n =0,而 p ≠0时,方程(7-10)应理解为
例如,方程
表示的是一条过点
M
0
(1,3,-2)且平行于向量
s
=(2,0,5)的直线
L
,
L
的方程还可写成
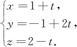
例1 求过点(1,-1,2)且与平面 x +2 y - z =0垂直的直线的点向式方程和参数方程.
解 由于所求直线与平面 x +2 y - z =0垂直,故可取平面的法向量(1,2,-1)作为直线的方向向量,故所求直线的点向式方程为
直线的参数方程为
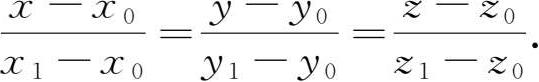
例2 试求过已知点 M 0 ( x 0 , y 0 , z 0 )与 M 1 ( x 1 , y 1 , z 1 )的直线 L 的方程.
解
过点
M
0
,
M
1
作向量
=(
x
1
-
x
0
,
y
1
-
y
0
,
z
1
-
z
0
),因点
M
0
,
M
1
在直线
L
上,故向量
可作为直线
L
的方向向量,又点
M
0
(
x
0
,
y
0
,
z
0
)在直线
L
上,故直线
L
的方程为
空间直线L还可以看作空间两个平面 Ⅱ 1 和 Ⅱ 2 的交线,如果两个相交的平面 Ⅱ 1 和 Ⅱ 2 的方程分别为 A 1 x + B 1 y + C 1 z + D 1 =0和 A 2 x + B 2 y + C 2 z + D 2 =0,那么它们的相交直线 L (图7-22)上任意一点的坐标应同时满足这两个平面方程,即应满足方程组
图7-22
反过来,如果点 M ( x , y , z )的坐标满足方程组(7-11),则点 M ( x , y , z )既在平面 Ⅱ 1 上又在平面 Ⅱ 2 上,从而必在它们的相交直线 L 上,故式(7-11)就是直线 L 的方程,称方程组(7-11)为 空间直线的一般方程 .
通过空间一直线 L 的平面有无限多个,只要在这无限多个平面中任意选取两个,把它们的方程联立起来,所得方程组就是直线 L 的一般式方程.
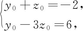
例 3 用点向式方程和参数方程表示直线
解
方程组中两个方程所表示的平面法向量分别是
n
1
=(1,1,1),
n
2
=(2,-1,3),两平面的交线与
n
1
,
n
2
均垂直,即与
n
1
×
n
2
平行,故可取
j
-3
k
为交线的方向向量.
取直线上的一点( x 0 , y 0 , z 0 ).不妨取 x 0 =1,代入方程组,得
解得 y 0 =0, z 0 =-2.
根据式(7-9)和式(7-10),得直线的点向式方程为
进而可得直线的参数方程为
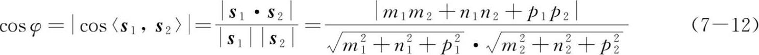
两直线的方向向量的夹角称为
两直线的夹角
.通常规定
设直线
L
1
和
L
2
的方向向量分别为
s
1
=(
m
1
,
n
1
,
p
1
)和
s
2
=(
m
2
,
n
2
,
p
2
),由于直线
L
1
和
L
2
的夹角
,故直线
L
1
和
L
2
的夹角可由公式
确定.
从两直线垂直、平行的充分必要条件可得下列结论:
直线 L 1 和 L 2 互相垂直的充分必要条件是 m 1 m 2 + n 1 n 2 + p 1 p 2 =0;
直线
L
1
和
L
2
互相平行的充分必要条件是
例4
求直线
和
的夹角.
解 直线 L 1 和 L 2 的方向向量分别是 s 1 =(1,-4,1)和 s 2 =(2,-2,-1),设直线 L 1 和 L 2 的夹角为 φ ,则由式(7-12)得
因此
.
设直线
L
与平面
Ⅱ
的法线(平面的垂线)的夹角为
,则θ的余角
φ
称为
直线
L
与平面
Ⅱ
的夹角
(图7-23).
图7-23
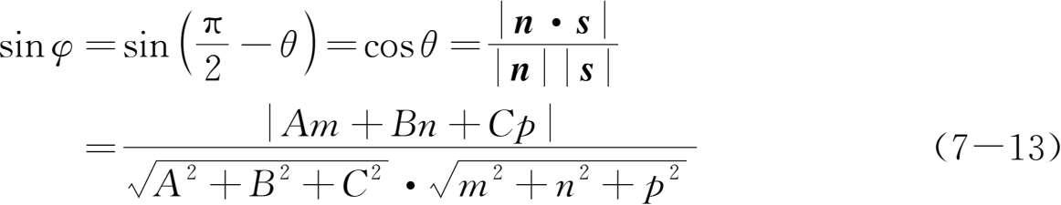
如果直线 L 的方向向量为 s =( m , n , p ),平面Ⅱ的法线向量为 n =( A , B , C ),则直线 L 与平面 Ⅱ 的法线的夹角 θ 满足
又由于
,故直线
L
与平面
Ⅱ
的夹角
φ
可由公式
确定。并且可以推得下列结论:
直线
L
与平面
Ⅱ
垂直的充分必要条件是
;
直线 L 与平面 Ⅱ 平行的充分必要条件是 Am + Bn + Cp =0.
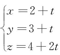
例5
求直线
与平面
Ⅱ
:2
x
+
y
+
z
-6=0的交点与夹角.
解
将直线
L
的方程写成参数方程
,并代入平面方程得
2(2+ t )+(3+ t )+(4+2 t )-6=0,
解得 t =-1.把 t =-1代入直线的参数方程,得交点坐标为(1,2,2).
又直线 L 的方向向量为 s =(1,1,2),平面 Ⅱ 的法向量为 n =(2,1,1),由式(7-13)得
因此直线
L
与平面
Ⅱ
的夹角
.
设直线
L
的对称式方程为
,求直线
L
外一点
M
1
(
x
1
,
y
1
,
z
1
)到直线
L
的距离
d
(图7-24).
图7-24
过直线
L
上点
M
0
(x
0
,y
0
,z
0
)作向量
,设以向量
和直线
L
的方向向量
为邻边的平行四边形的面积为
S
,则
.又
S
=
d
×
,故
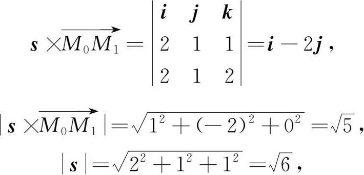
例6
求点
M
1
(1,0,2)到直线
的距离.
解 直线 L 的方向向量 s =(2,1,1),直线上一点 M 0 的坐标为(-1,-1,0),故
又
所以
有时用平面束的方程解题比较方便,现在来介绍它的方程.
设直线 L 由方程组
所确定,其中系数 A 1 、 B 1 、 C 1 与 A 2 、 B 2 、 C 2 不成比例。建立三元一次方程
其中 λ 为任意常数。因为 A 1 、 B 1 、 C 1 与 A 2 、 B 2 、 C 2 不成比例,所以对于任何一个λ值,方程(7-16)的系数 A 1 + λA 2 、 B 1 + λB 2 、 C 1 + λC 2 不全为零,从而方程(7-16)表示一个平面。若一点在直线 L 上,则点的坐标必同时满足方程(7-14)和方程(7-15),因而也满足方程(7-16),故方程(7-16)表示通过直线 L 的平面且对于不同的 λ 值,方程(7-16)表示通过直线 L 的不同的平面。反之,通过直线 L 的任何平面[除平面(7-15)外]都包含在方程(7-16)所表示的一族平面内。通过定直线的所有平面的全体称为 平面束 ,而方程(7-16)就作为通过直线 L 的 平面束的方程 [实际上,方程(7-16)表示缺少平面(7-15)的平面束].
例7
求直线
在平面
x
+
y
+
z
=0上的投影直线的方程.
解
过直线
的平面束的方程为(
x
+
y
-
z
-1)+
λ
(
x
-
y
+
z
+1)=0,
即
其中
λ
为待定常数。该平面与平面
x
+
y
+
z
=0垂直的条件是(1+
λ
)·1+(1-
λ
)·1+(-1+
λ
)·1=0,即
λ
+1=0,由此得
λ
=-1.代入式(7-17),得投影平面的方程为2
y
-2
z
-2=0,即
y
-
z
-1=0.所以投影直线的方程为
1.用点向式方程及参数方程表示直线
2.求过两点 P 1 (3,-2,1)和 P 2 (-1,0,2)的直线方程.
3.求过点(4,-1,3)且平行于直线
的直线方程.
4.求过点(2,-3,1)且垂直于平面2 x +3 y + z +1=0的直线方程.
5.求过点(0,1,2)且与直线
垂直相交的直线方程.
6.过点(-1,2,0)向平面 x +2 y - z +1=0作垂线,求垂足坐标.
7.求直线
与直线
的夹角.
8.求直线
与平面
x
-
y
+2
z
=0的夹角.
9.求过点 M 0 1,0,-2且垂直于平面2 x - y +3 z =0的直线方程.
10. 求直线
在平面4
x
-
y
+
z
=1上的投影直线的方程.