



5.求三个数使它们的和为平方数,且其中任意一对的和都大于第三个某一个平方数。
设三个数的和是(x+1)
2
;令第一个+第二个=第三个+1,则第三个=
;
令第二个+第三个=第一个+x
2
,则第一个=
从而第二个=
另外还有,第一个+第三个=第二个+平方数。
从而2x=平方数,不妨说=16,得x=8。
所求数为
,
,40。
另外一种解法如下 [1] 。
首先求三个平方数,使其和仍是平方数。例如求一个平方数+4+9仍是平方数,而36恰好适合;因此,4,36,9是具有所要求特性的平方数。
下一步求三个数,使其中任一对数的和=第三个+所给定的数;
在此情况下,假设
第一+第二-第三=4,
第二+第三-第一=9,
第三+第一-第二=36。
此题已解[卷Ⅰ,18],
所求数依次为20,
,
。
从而
6.求三个数,使它们的和是平方数,且其中任意一对的和也是平方数。
令三个数之和为x 2 +2x+1,第一,第二之和为x 2 ,因此第三个为2x+1;
令第二,第三之和为(x-1) 2 ,因此第一个=4x,第二个=x 2 -4x。
但是,第一个+第三个=平方数,即6x+1=平方数,不妨说=121。
从而x=20,且
所求数为80,320,41。
[此处有一个替换解,明显是后来插入的。因为它本质上是一样的,不同的是取6x+1的值为36,从而x=35/6,且所求数为840/36,385/36,456/36。]
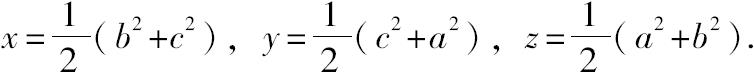
7.求三个成等差的数,使其中任意一对的和均为平方数。
首先求三个成等差的平方数,使其和的一半大于其中任一个数。
令其中第一个,第二个为x 2 ,(x+1) 2 ;
则第三个为x 2 +4x+2=(x-8) 2 ,不妨说。
因此x=62/20或31/10;
从而可取三个平方数为961,1681,2401。
现在求三个数,使其中任意一对的和恰好等于所求出的数。
这三个数的和=5043/2=
,且
这三个数是
,
,
8.给定一个数,求另外三个数使其中任意一对的和加上此给定数均为平方数,且这三个数的和加此给定数也为平方数。
给定数为3。
设所求的第一个+第二个=x 2 +4x+1,
第二个+第三个=x 2 +6x+6,
三个数的和=x 2 +8x+13。
从而第三个=4x+12,第二个=x 2 +2x-6,第一个=2x+7。
还有 第一个+第三个+3=平方数,
即, 6x+22=平方数,不妨说=100。
因此 x=13,且
所求数为33,189,64
9.给定一个数,求另外三个数使其中任意一对的和减去此给定数均为平方数,且这三个数的和减此给定数也为平方数。
给定数为3。
设所求数的 第一个+第二个=x 2 +3,
第二个+第三个=x 2 +2x+4,
三个数的和=x 2 +4x+7。
从而第三个=4x+4,第二个=x 2 -2x,第一个=2x+3。
最后,第一个+第三个-3=6x+4=平方数,不妨说=64。
因此 x=10,且
(23,80,44)是一组解。
10.求三个数,使其中任意一对之积加上一给定数均为平方数。
设给定数是12。取一平方数比如25,并减去12,把差13作为第一,第二两数之积,
并设这两数分别为13x,1/x。
再从另一平方数比如16中减去12,并把差4作为第二,第三两数之积。
因此第三个数=4x。
第三个条件要求52x 2 +12=平方数;这里52=4·13,其中13不是平方数;
但是,如果13是平方数,这个方程就容易解了。 [2]
因此必须找两个数以取代13和4,满足它们的积为平方数,
而其中任何一个数+12也是平方数。
如果两个数均为平方数,则二者之积也是平方数,因此必须找两个平方数,
使其中任何一个+12=平方数。
“按以前讲过的方法,这是容易做到的 [3] ,并且它可使方程容易解出。”
平方数4,1/4满足这一条件。
返回前面的步骤,现在设所求的三个数为4x,1/x和x/4。在此情况下,要解方程x 2 +12=平方数,不妨设=(x+3) 2 。
所以x=1/2。于是(2,2,1/8)是一组解。 [4]
11.求三个数,使其中任意一对之积减去一给定数均为平方数。
设给定数是10。
取第一和第二之积=平方数+10,不妨说=4+10,并令第一=14x,第二=1/x。
取第二和第三之积=平方数+10,不妨说=19;
因此,第三=19x。
由第三个条件,266x 2 -10必须是平方数,但266不是平方数 [5] 。
因此,同上题一样,必须求两个平方数,使其中任何一个=平方数+10。
而平方数
,
满足这些条件
[6]
。
现令所求数为
,1/x,
,
由第三个条件可得
=平方数
[其中丢番图把
记为
];
因此5929x 2 -160=平方数,不妨说=(77x-2) 2 ,从而x=41/77。
所求数为
12.求三个数,使其中任意两个之积加上第三个均为平方数。
取一个平方数并减去其中一部分作为第三个数;
如令x 2 +6x+9是其中一平方数,且9是第三个数。
因此第一和第二之积=x 2 +6x;若取第一=x,则第二=x+6。
由另两个条件知
因此必须求两个平方数其差为48;“这是容易的,且方法很多”。
平方数16,64就满足此条件。令其等于相应表达式,可得x=1,且
所求数为1,7,9。
13.求三个数,使其中任意两个之积 减去 第三个均为平方数。
令第一为x,第二为x+4;则其乘积=x 2 +4x,因此可设第三为4x。
从而由其他条件知
而其差=16x+4=4(4x+1),
若令
=4x
2
+15x从而x=25/20,且
所求数为25/20,105/20,100/20。
14.求三个数,使其中任意两个之积加上第三个的平方,均为平方数 [7] 。
设第一个为x,第二个为4x+4,第三个为1。
则两个条件已经满足。
第三个条件是
x+(4x+4) 2 =平方数,不妨说=(4x-5) 2 ,
因此x=9/73,且
所求数(省略公分母)为9,328,73
15.求三个数,使其中任意两个之积加上该两个之和均为平方数。 [8]
[引理]任意两相邻数的平方的乘积,加上这两相邻数的平方的和,仍是平方数 [9] 。
令4,9为所求的两个数,x为第三个数。
因此
必须都是平方数。
其差=5x+5=5(x+1).
让两因子的和的一半的平方等于10x+9,
得
=10x+9。
从而x=28,且(4,9,28)是一组解。
另一种解法 [10] 。
设第一个数为x,第二个为3。
因此4x+3=平方数,不妨说=25,
从而x=
,且
,3满足一个条件。
令第三个是x,而前两个是
,3。
因此
必须都是平方数。
但是,这是不可能的。因为相应的系数没有一对的比率是平方数与平方数的比率。
为了用平方数与平方数的比率作系数替代
,4,因此寻求两个数来替代
,3,使其满足它两的积加上它两的和等于平方数,且它两各加上1后其比率为平方数比平方数。
为此令y和4y+3为这两数,显然满足第二个条件,为了第一个条件,必须让
4y 2 +8y+3=平方数,不妨说=(2y-3) 2 。从而y=3/10。
在解出3/10,
后,进一步假设第三个数为x,
因此
都必须是平方数或者在依次乘以25和100之后
都必须是平方数,
其差75=3·25,由通常的解法可知x=7/10,
因此所求数为3/10,42/10,7/10。
16.求三个数,使其中任意两个之积减去该两数之和均为平方数。
如果令第一个数为x,第二个数任意取值,那么会和上题一样出现相同的困难。
因此,必须寻求两个数,满足
(a)它们的乘积-它们的和=平方数,且
(b)各自减去1后,剩余部分具有平方数的比率。
显然4y+1和y+1满足后一条件。
而公式(a)要求
4y 2 -1=平方数,不妨说=(2y-2) 2 ,
可得y=5/8,在得出13/8,28/8之后,然后令第三个为x,
因此
必须都是平方数。
或者依次乘以4,16,
必须都是平方数。
其差12=2·6,用通常方法可得x=3,
因此所求数为13/8,
=28/8,3=24/8。
17.求两个数,使其乘积加上每一个数以及两数之和,均为平方数。
假设所求数为x,4x-1,因为x(4x-1)+x=4x 2 都是平方数。
因此还有
其差x=
,可求出 x=65/224。
所求数为65/224,36/224。
18.求两个数,使其乘积减去每一个数以及两数之和,均为平方数。 [11]
假设所求数为x+1,4x,因为4x(x+1)-4x=平方数。
因此还有
必须都是平方数。
其差4x=4x·1,可得x=
。
所求数为
,5。
19.求四个数,使其和的平方加上或减去任一单个数均为平方数。
因为在直角三角形中,
斜边的平方±2×两直角边的乘积=平方数,
因此必须求出四个具有相同斜边的直角三角形[在有理数范围];
换句话,必须求一平方数,它可分为四组两个平方数之和。且“我们已经知道,将一平方数分为两平方数之和,其方式可以有任意多种。”[卷Ⅱ,8题]
取两个较小的直角三角形(3,4,5)和(5,12,13);
给每个三角形的各边乘以另一三角形的斜边,则可得到两个具有相同斜边的有理直角三角形(39,52,65)和(25,60,65),从而65 2 已分为两组两个平方数之和。
另外,由于65=13·5,且13=2 2 +3 2 ,5=1 2 +2 2 ,
所以65可分成两组两个平方数之和,亦即7 2 +4 2 和8 2 +1 2 。
现在由7,4构造直角三角形 [12] ,其边为(7 2 -4 2 ,2·7·4,7 2 +4 2 )或(33,56,65)。
类似地,有8,1构造直角三角形,可得(2·8·1,8 2 -1 2 ,8 2 +1 2 )或(16,63,65)。
总之,65 2 已分成四组两个平方数之和。
现在假设四个数之和为65x,且
第一个数为2·39·52x 2 =4056x 2 ,
第二个数为2·25·60x 2 =3000x 2
第三个数为2·33·56x 2 =3696x 2 ,
第四个数为2·16·63x 2 =2016x 2 ,
以上x 2 的系数依次是四个直角三角形的面积的四倍。
其和12768x 2 =65x,且x=65/12768。
所求数是
,
,
,
20.将一给定数分为两部分,并求一平方数,使其减去该两部分均为平方数
。
给定数10,所求数为x 2 +2x+1。取一部分为2x+1,另一部分为4x。
如果6x+1=10,那么条件都成立。
因此x=
两部分为(4,6),平方数为
21.将一给定数分为两部分,并求一平方数,使其加上该两部分均为平方数。
给定数为20,所求平方数为x 2 +2x+1。
如果此平方数加上2x+3或者4x+8,结果仍是平方数。
因此取2x+3,4x+8为20的两部分,从而6x+11=20,x=
因此,两部分为(6,14),平方数为
[1] 可能像其他题的第二种解法一样,有人习惯性认为此替换解是后来插入的。但此解法如此巧妙,我们很难归功于后来的评注者。丢番图的解法通常都是可想到的最佳方法,此题不该例外。事实上,此替换解更优美,可以一般化为如下过程:欲求x,y,z,使
-x+y+z=平方数
x-y+z=平方数
x+y-z=平方数
x+y+z=平方数
令前三个表达式分别为平方数a 2 ,b 2 ,c 2 ,且满足a 2 +b 2 +c 2 也必须是平方数,不妨记为k 2 。
[2] 事实上,方程52x 2 +12=u 2 是可解的,明显x=1是一个解。亦可用y+1替代x,找到其他解,等等。而x=1本身就可得到此题的解(13,1,4)。
[3] 此方法见卷Ⅱ,34题。需要求两对平方数,其差都是12。
(a)如果令12=6·2,有
16,4就是相差12的平方数,换句话说,4就是一个平方数,其加12也是平方数。
(b)如果令12=4·3,可求出
就是一个平方数,其加12也是平方数。
[4] 欧拉(Algebra,Part Ⅱ.Art.232)对此题的一般解给出了一个优美的解法。求x,y,z,使xy+a,yz+a,zx+a都是平方数。
设xy+a=p 2 ,并令z=x+y+q;
因此xz+a=x 2 +xy+qx+a=x 2 +qx+p 2 ,
且yz+a=xy+y 2 +qy+a=y 2 +qy+p 2 ;
如果q=±2p,则右边表达式全为平方数,故取z=x+y±2p.
从而p可取任意的值,只要满足p 2 >a,将p 2 -a分解为两因子,依次取为x,y的值,
z可得。
例如设a=12且p 2 =25,则xy=13;
让x=1,y=13,则z=14±10=24或4,
故解为(1,13,4),(1,13,24)。
[5] 其实,方程266x 2 -10=u 2 本身是可解的,因为x=1显然是它的一个解。对应x=1可得此问题的解为(14,1,19)。
[6] 唐内里对原文中求这两平方数的段落加注了括号,其过程不同于卷Ⅲ,10题,并指出是没有必要给出的。10=10·1,
因此
是一平方数且比另一平方数大10。
类似地
也是如此的平方数。
但原文是,令m
2
-10=(m-2)
2
,从而m=
,求出m
2
=
[7] Wertheim给出了如下更一般的解法。
如果取所求数为
,Y=ax+b
2
,
,则两个条件已经满足,
亦即XY+Z 2 =平方数,YZ+X 2 =平方数。
仅剩一个条件ZX+Y 2 =平方数还要成立。
即
=平方数。
令
=(ax+kb
2
)
2
,
则
,其中k可任意取值。
[8] 当然,用现代符号,此题可给出如下更漂亮的解法。(此注释也适合下题,卷Ⅲ,16题。)
若所求数为x,y,z,则xy+x+y,等等必须是平方数。
从而可得如下式子:
(y+1)(z+1)=平方数+1,
(z+1)(x+1)=平方数+1,
(x+1)(y+1)=平方数+1。
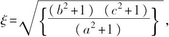
设平方数依次为a 2 ,b 2 ,c 2 ,并令ξ=x+1,η=y+1,ζ=z+1,则有
ηζ=a 2 +1,
ζξ=b 2 +1,
ξη=c 2 +1.
[这个问题实际上和卷Ⅴ,8题的引理相同。]
用第二个乘以第三个方程,并除以第一个,得
而η,ζ的表达式类似可得。
x,y,z是这些表达式依次减去1。
另外a 2 ,b 2 ,c 2 的选取应满足ξ,η,ζ的有理性。参见Euler,Commentatious arithmeticae,Ⅱ.
[9] 事实上,a 2 (a+1) 2 +a 2 +(a+1) 2 ={a(a+1)+1} 2 .
[10] 此替换解无疑是丢番图的。丢番图已经解出了方程组
yz+y+z=u 2
zx+z+x=v 2
xy+x+y=w 2
费马后来用4个数替代3个数,想展示相应问题的解法。
为此他使用了丢番图卷Ⅴ,5题的解,亦即求x 2 ,y 2 ,z 2 ,满足
y 2 z 2 +x 2 =r 2 ,z 2 x 2 +y 2 =s 2 ,x 2 y 2 +z 2 =t 2 ,
y 2 z 2 +y 2 +z 2 =u 2 ,z 2 x 2 +z 2 +x 2 =v 2 ,x 2 y 2 +x 2 +y 2 =w 2 ,
丢番图的解答是
费马直接用来作为4个数的前3个,它们满足条件:其中任意两个之积加上该两数之和均为平方数,并令x为第4个数。6个关系式中有了3个已满足,另外3个要求
均为平方数:因此费马的方法实际上要解一个“叁重方程”问题。
但是费马没有给出具体答案。我怀着好奇想查证即便针对这相对简单的情况,“叁重方程”方法会导致多么复杂的数字。
为此,当然可以忽略公分母9,解方程
34x+25=u 2 ,
73x+64=v 2 ,
205x+196=w 2
由“叁重方程”得
其中分母等于(251322303399) 2 。
为了查证此解是否正确,我们发现确实:
严格地说,由于所求x的值为负,在三个方程中,应该用y-A替代之,并重新开始,由此而引起大量计算,我只好放弃了。
[11] 此题可以和如下问题作比较,参见paragraph 42 of Part I.of the Inventum Novum of Jacobus de Billy(Oeuvres de Fermat,Ⅲ.)
求ξ,η(ξ>η),使
ξ-ξη,
η-ξη,
ξ+η-ξη,
ξ-η-ξη
都是平方数。
假设η=x,ξ=1-x;则前两个条件成立。
由后两个条件得
x 2 -x+1=u 2 ,
x 2 -3x+1=v 2 .
把差2x分解成两个因子2x,1,
按常用方法,令
=x
2
-x+1,
从而
,且所求数是
为了用上面的方法求出x的其他值,在双方程中,用
代替x,从而
给第二个表达式乘以49,则有
其差是48y 2 -110y。
De Billy要求把这个差分解成两因子,当令两因子的差的一半的平方=
时,方程两边常数项可以消失,为此,取两因子为
,
如果令
容易得出
,从而
,
所求数是
De Billy还提到如下另一个解,
把48y
2
-110y分成两因子6y,
使其满足在所得的方程中x 2 项可以消失。
令
=
,
从而
,且
这会导致1-x的值为负。
但是,De Billy考虑到最初的双方程中x的对称性,因为
满足它,
必然
也满足它。
从而所求数是
[12] 如果有两个数p,q,由其构造直角三角形就是选取数(p 2 +q 2 ,p 2 -q 2 ,2pq),作为直角三角形的边,因为(p 2 +q 2 ) 2 =(p 2 -q 2 ) 2 +(2pq) 2 。