



“阿基米德致多西修斯(Dositheus)。
前些日子,你让我写出那些问题的证明,这些证明我已给了科农(Conon)。实际上,它们主要依赖这些定理(其证明我已送给你了),即(1)任一球面是该球大圆的4倍;(2)任一球冠的面等于一个圆,这圆的半径等于从球冠顶点到其底圆所连的线段;(3)以球的大圆为底,其高等于球的直径的圆柱是球的3/2,它的面(包括两底)是球面的3/2,以及(4)任一立体扇形等于一个圆锥,该圆锥的底是与包含在球扇形中的球缺面相等的圆,其高等于球的半径。以这些定理为依据的定理或问题,我已写在附上的书中;那些用一种不同类的研究方法发现的,即涉及螺线和劈锥曲面的,我将尽快给你送去。
其第一个问题如下: 给定一个球,找一个平面的面积等于球面。
从上述定理,它的解法是显然的。盖因球大圆的4倍既是平面面积又等于球面。
第二个问题如下。”
命题1 (问题)给定一个圆锥或圆柱,求作一球,使它的体积等于该圆锥或该圆柱的体积。
如果V是给定的圆锥或圆柱体积,我们能够作一圆柱,使其体积等于
。设这个圆柱的底是以AB为直径的圆,其高是OD。
现在,如果我们能作出另一圆柱,它等于圆柱(OD),且使得它的高等于它的底的直径,这个问题就被解决了。因为后一圆柱等于
,于是直径等于后一圆柱的高(或底的直径)的球即为所求的球[Ⅰ.34推论]。
假设问题已解决,设圆柱(CG)等于圆柱(OD),而底的直径EF等于高CG。
因为两相等圆柱的高与底成反比例,
AB 2 :EF 2 =CG:OD
=EF:OD。 (1)
假设MN是满足下式的一线段:
EF 2 =AB·MN, (2)
因此 AB:EF=EF:MN,
由(1)和(2),我们有
AB:MN=EF:OD,
或 AB:EF=MN:OD。
所以 AB:EF=EF:MN=MN:OD,
即EF,MN是AB,OD之间的两比例中项。
因此,问题综合如下,取AB,OD之间的两比例中项EF,MN,并作一圆柱,底为以EF为直径的圆,其高CG等于EF。则,因为
AB:EF=EF:MN=MN:OD,
EF 2 =AB·MN,
所以 AB 2 :EF 2 =AB:MN
=EF:OD
=CG:OD。
由此知,两圆柱(OD),(CG)的底与其高成反比例。
所以两圆柱相等,且得到
从而以EF为直径的球就等于V,即为所求的球。
命题2 如果BAB'是一个球缺,BB'是球缺底的直径,O为球心,且球的直径AA'交BB'于M,那么球缺的体积等于以球缺的底为底,高为h的圆锥体积,其中h满足
h:AM=(OA'+A'M):A'M。
沿MA量得MH等于h,又沿MA'量得MH'等于h',这里
h':A'M=(OA+AM):AM。
假设所作三个圆锥分别以O,H,H'为其顶点,球缺的底BB'为其公共底。连接AB,A'B。
设C为一圆锥,其底等于球缺BAB'的表面,即等于以AB为半径的圆[Ⅰ.42],其高等于OA。
那么圆锥C等于球扇形OBAB'. [Ⅰ.44]
现在,因为 HM:MA=(OA'+A'M):A'M,
由 分比, HA:MA=OA:A'M,
交换内项, HA:OA=MA:A'M,
于是
HO:OA=AA':A'M=AB 2 :BM 2
=圆锥C的底:以BB'为直径的圆。
但是OA等于圆锥C的高;因为底与高成反比例的两圆锥相等,所以可得圆锥C(或球扇形OBAB')等于一个圆锥,该圆锥的底是以BB'为直径的圆,其高等于OH。
且这后一圆锥等于同底,其高分别为OM,MH的两圆锥之和,即等于立体菱形OBHB'。
因此球扇形OBAB'等于立体菱形OBHB'。
去掉公共部分,即圆锥OBB',就有
球缺BAB'=圆锥HBB'。
类似地,用同样的方法,我们能证明
球缺BA'B'=圆锥H'BB'。
后一性质的另一种证明。
设D是其底等于整个球面,其高等于OA的圆锥。
这样D就等于球的体积。 [Ⅰ.33,34]
另外,因为(OA'+A'M):A'M=HM:MA,
如前,由 分比 和 交换内项 ,就有
OA:AH=A'M:MA。
又因为 H'M:MA'=(OA+AM):AM,就有
H'A':OA=A'M:MA
=OA:AH,从上述结果。
由合比, H'O:OA=OH:HA, (1)
交换内项, H'O:OH=OA:HA, (2)
由合比, H'H:OH=OH:HA
=H'O:OA,由(1),
于是 HH'·OA=H'O·OH, (3)
其次,因为 H'O:OH=OA:AH,由(2)
=A'M:MA,
(H'O+OH) 2 :H'O·OH=(A'M+MA) 2 :A'M·MA,
由(3),就有
HH' 2 :HH'·OA=AA' 2 :A'M·MA,
或 HH':OA=AA' 2 :BM 2 。
现在等于此球的圆锥D有底为半径等于AA'的圆和高等于OA的线段。
因此,这个圆锥D等于一个以BB'为直径的圆作底,其高等于HH';
所以 圆锥D=立体菱形HBH'B',
或 立体菱形HBH'B=球。
但是 球缺BAB'=圆锥HBB',
所以剩下的球缺BA'B'=圆锥H'BB'。
推论 球缺BAB'同与它同底等高的圆锥之比等于(OA'+A'M)与A'M之比。
命题3 (问题)用一平面截给定的球,使得两球冠面积之比为已知比。
假设问题已解决。设AA'是球大圆的直径,又设垂直于AA'的平面交大圆面于直线BB',且交AA'于M,又它分割球使得球冠BAB'的面积与球冠BA'B'的面积之比为已知比。
现在这两面分别等于以AB,A'B为半径的圆。 [Ⅰ.42,43]
因此AB 2 :A'B 2 等于已知比,即AM与MA'之比为已知比。
于是综合证明如下。
如果H:K是已知比,分AA'于M使得
AM:MA'=H:K。
于是 AM:MA'=AB 2 :A'B 2
=半径为AB的圆:半径为A'B的圆
=球冠BAB'的面:球冠BA'B'的面。
这样两球冠面积的比等于H:K。
命题4 (问题)用一平面截给定的球,使得两球缺的体积之比为已知比。
假设问题已解决,设与大圆ABA'成直角的所求平面交大圆于BB'。设大圆直径AA'垂直平分BB'(在M点),且O是球心。
在OA的延长线上取一点H,在OA'延线上取一点H',使得
(OA'+A'M):A'M=HM:MA, (1)
(OA+AM):AM=H'M:MA', (2)
连接BH,B'H,BH',B'H'。
于是圆锥HBB',H'BB'分别等于球缺BAB',BA'B'。 [命题2]
因此两圆锥之比和它们高之比都是已知比,即
HM:H'M=已知比。 (3)
现在我们有三个方程(1),(2),(3),在其中出现了3个待定的点M,H,H';根据它们的表示,首先要求另一个方程,使其在其中这些点仅有一个(M)出现,即是说,我们必须消去H,H'。
现在由(3),显然HH':H'M也是一个已知比;阿基米德的消去法是,寻找每一个比A'H':H'M与HH':H'A'之值,这值皆和H',H无关,其次使这两个比的复合比等于已知比HH':A'M的值。
(a) 求A'H':H'M的值。
从方程(2)易得
A'H':H'M=OA:(OA+AM)。 (4)
(b) 求HH':A'H'的值。
从(1)我们推得
A'M:MA=(OA'+A'M):HM
=OA':AH; (5)
又从(2),A'M:MA=H'M:(OA+AM)
=A'H':OA。 (6)
于是 HA:AO=OA':A'H',
因此 OH:OA'=OH':A'H',
或 OH:OH'=OA':A'H'。
由此推得
HH':OH'=OH':H'A',
或 HH'·H'A'=OH' 2 。
所以 HH':H'A'=OH' 2 :H'A' 2
=AA' 2 :A'M 2 ,依(6)
(c)我们作下述的图,以便更简单地表示A'H':H'M和HH':H'M。延长OA到D,使得OA=AD.(D将超过H,因为A'M>MA,所以由(5),有OA>AH。)
则 A'H':H'M=OA:(OA+AM)
=AD:DM。 (7)
现在分AD于E,使得
HH':H'M=AD:DE。 (8)
然后利用(7),(8)和上面已求的HH':H'A'的值,我们有
AD:DE=HH':H'M
=(HH':H'A')·(A'H':H'M)
=(AA' 2 :A'M 2 )·(AD:DM)。
但是 AD:DE=(DM:DE)·(AD:DM)。
所以 MD:DE=AA' 2 :A'M 2 。 (9)
且D是已知的,因为AD=OA。AD:DE(等于HH':H'M)也是已知的。所以DE是已知的。
因此问题本身转化为分A'D于M为两部分,使得下式成立。
MD:一个已知长=一个已知面:A'M 2 。
阿基米德附言“如果问题按这个一般形式被提出,它需要一个
[即必须研究可能性的限度],但如果加上这个目前情况下存在的条件,它就不要求
。
在目前情况下这问题为:
给定一线段A'A延长到D,使A'A=2AD,在AD上取一点E,截AA'于一点M,使得
AA' 2 :A'M 2 =MD:DE。
“这两个问题的分析与综合将在末尾给出。”
主要问题的综合如下。设R:S是已知比,R小于S。AA'是一个大圆的直径,O是圆心,延长OA到D,使得OA=AD,在E点分AD使得
AE:ED=R:S。
然后在M点截AA',使得
MD:DE=AA' 2 :A'M 2 。
过M直立一平面垂直于AA',这个平面将分球为两个球缺,且使两部分之比如同R:S。
在A'A方向上取一点H,在AA'方向上取一点H',使得
(OA'+A'M):A'M=HM:MA, (1)
(OA+AM):AM=H'M:MA'。 (2)
那么我们必须证明这个
HM:MH'=R:S,或AE:ED。
(α)我们首先求HH':H'A'如下。
如在分析(b)中已证明的,
HH'·H'A'=OH' 2 ,
或 HH':H'A'=OH' 2 :H'A' 2
=AA' 2 :A'M 2
=MD:DE,由作图。
(β)其次,我们有
H'A':H'M=OA:(OA+AM)
=AD:DM。
所以 HH':H'M=(HH':H'A')·(H'A':H'M)
=(MD:DE)·(AD:DM)
=AD:DE,
由此得 HM:MH'=AE:ED
=R:S。
证完
附注 由命题4的原问题所化约成的辅助问题(阿基米德曾说要给出一个讨论的),其解法是由欧托西乌斯(Eutocius)在一个颇有兴味同时又很重要的附注中给出的,他在下面的阐释中引进了这个论题。
“他[阿基米德]允诺在最后给出这问题的一个解,但是在任何稿本中我们没有找到其解。我们发现狄俄尼索多罗(Dionysodorus)也未能弄清所允诺的讨论(因为没能找到被略掉的引理),他用另一种方法去解决原问题,这种方法我将在以后描述。狄俄克利斯(Diocles)也在他的著作
中表示了‘他认为阿基米德虽说过,但未作出证明’的意见,并试图自己补充省掉的部分,他所给出的,我也将顺次给出。然而,可以看到狄俄克利斯所补充的部分与那省掉的讨论无关,而只是像狄俄尼索多罗那样给出了一个讨论框架,这是用另一种证明方法得到的。另一方面,作为不懈的、广泛的探求的结果,我在一本老书中发现了一些定理讨论着、虽然由于一些错误而显得不够清晰(以及各种各样的文、图的错误),这些被讨论的定理却给出了我要寻求的东西,而且还在一定程度上保留了阿基米德习用的Doric方言,同时还保留着过去习用的一些名词:抛物线被称为直角圆锥的截线,双曲线是钝角圆锥的截线;因此我考虑到:是否这些定理实际上就是他要在最后所允诺的。因此我仔细加以考查,并在克服了(由于上述诸多错误所致的)困难之后,我逐渐弄清了原意,并试着用大家更熟悉、更清楚的语句把它写出来。并且,首先这定理将做一般的处理,应使对阿基米德所说的‘关于可能性的限度’可以搞清楚,随后即有对这些条件的特殊应用,这些条件是他在对这问题的分析中所陈述的。”
这个随后的研究可以重述如下。
一般问题是:
已知两线段AB,AC和一个面积D,分割AB于M点,使得
AM:AC=D:MB 2 。
分析
假设M已求得,作AC与AB成直角,连接CM延长之。过B作EBN平行于AC交CM于N,过C作CHE平行AB交EBN于E。完成矩形CENF,又过M作PMH平行于AC交FN于P。
沿EN量EL使得
CE·EL(或AB·EL)=D。
于是,由假设,
AM:AC=CE·EL:MB 2 。
和 AM:AC=CE:EN,
由相似三角形,
=CE·EL:EL·EN。
由上推得
PN 2 =MB 2 =EL·EN。
因此,如果过顶点E作一个抛物线,EN为轴,参数等于EL,那么抛物线将过P;它的位置将被确定,因为EL是给定的。
所以P在已知的抛物线上。
其次因为两矩形FH,AE相等,于是
FP·PH=AB·BE。
因此,如果以CE,CF为渐近线,且过B作一双曲线,它也将过P点,且双曲线的位置是确定的。
所以P在已知的双曲线上。因为P确定,M也就给定了。
这样P由抛物线和双曲线的交点所确定。
现在,因为 AM:AC=D:MB 2 ,
AM·MB 2 =AC·D。
但AC·D已给定,而以后 将证明:AM·MB 2 的最大值是它当BM=2AM时所取的值。
因此,AC·D不大于
,
或
是能有一个解的必要条件。
综合
如果O是AB上且满足BO=2AO的点,为了可能有解,我们已看到
这样AC·D等于或小于AO·OB 2 。
(1)若AC·D=AO·OB 2 ,则问题有解。
(2)设AC·D小于AO·OB 2 。
作AC与AB成直角。连接CO,且延长到R。过B作EBR平行于AC,且交CO于R,过C作CE平行于AB交EBR于E。完成矩形CERF,且过O作QOK平行于AC,且分别交FR,CE于Q和K。
因为AC·D<AO·OB 2 ,沿着RQ量得RQ'使得
AC·D=AO·Q'R 2 ,
或 AO:AC=D:Q'R 2 。
沿着ER量EL使得
D=CE·EL(或AB·EL)。
现在,因为AO:AC=D:Q'R 2 ,由假设,
=CE·EL:Q'R 2 ,
且 AO:AC=CE:ER,由相似三角形,
=CE·EL:EL·ER,
由此推得 Q'R 2 =EL·ER。
作具有顶点E,轴ER,且参数等于EL的一抛物线。这个抛物线将过Q'。
又 矩形FK=矩形AE,
或 FQ·QK=AB·BE;
如果以CE,CF为渐近线且过B作一个矩形的双曲线,它也将通过Q。
设抛物线和双曲线交于P,过P作PMH平行于AC分别交AB,CE于M和H,作GPN平行于AB且分别交CF,ER于G和N。
于是M就是所求的分点。
因为 PG·PH=AB·BE,
矩形GM=矩形ME,
所以CMN是一条直线。
于是 AB·BE=PG·PH=AM·EN。 (1)
又由抛物线的性质,
PN 2 =EL·EN,
或 MB 2 =EL·EN。 (2)
由(1)和(2),
AM:EL=AB·BE:MB 2 ,
或 AM·AB:AB·EL=AB·AC:MB 2 。
交换内项,
AM·AB:AB·AC=AB·EL:MB 2 ,
或 AM:AC=D:MB 2 。
余下的是证明: 若AB在O点使得BO=2AO,则AO·OB 2 是AM·MB 2 的最大值,或
AO·OB 2 >AM·MB 2 。
这里M是AB上不同于O的任一点。
假设 AO:AC=CE·EL':OB 2 ,
于是 AO·OB 2 =CE·EL'·AC。
连接CO延长到N;过B作EBN平行于AC,完成平行四边形CENF。
过O作POH平行于AC,且分别交FN,CE于P和H。
以E为顶点,EN为轴和以EL'为参数作一个抛物线。这将过P,如以上分析所示,除P而外还将交此抛物线之直径CF于某点。
其次,作一个带有渐近线CE,CF的矩形的双曲线,且过B点。如前分析所示,这双曲线也将过P。
延长NE到T,使得TE=EN。连接TP交CE于Y,且延长它使交CF于W。于是TP将与抛物线切于P。
因为 BO=2AO,
TP=2PW,
和 TP=2PY,
所以 PW=PY。
于是,因为在两渐近线间的WY被P平分,它交双曲线之点,WY是双曲线的一个切线。
因此,在P点有共同切线的双曲线和抛物线彼此相切于P。
现在在AB上任取一点M,过M作QMK平行于AC且交双曲线于Q,交CE于K。最后,过Q作GqQR平行于AB交CF于G,交抛物线于q,交EN于R。
由双曲线的性质,因为两矩形GK,AE相等,那么CMR是一直线。
由抛物线的性质,
qR 2 =EL'·ER,
于是 QR 2 <EL'·ER。
假设 QR 2 =EL·ER,
我们有 AB:AC=CE:ER
=CE·EL:EL·ER
=CE·EL:QR 2
=CE·EL:MB 2 ,
或 AM·MB 2 =CE·EL·AC。
所以 AM·MB 2 <CE·EL'·AC
<AO·OB 2 。
如果AC·D<AO·OB 2 ,因为抛物线和双曲线相交于两点,所以有两解。
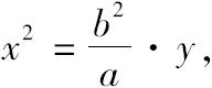
如果我们作一个带有顶点E和轴EN,且参数等于EL的抛物线,该抛物线将过Q点(看上页图);由于此抛物线还交直径CF(除交Q外),它必须与双曲线再次相交(它以CF作为它的渐近线)。
[如果我们记AB=a,BM=x,AC=c和D=b 2 ,可看出比例式
AM:AC=D:MB 2
等价于方程式
x 2 (a-x)=b 2 c,
它是一个缺少x一次项的三次方程式。
现在假设EN,EC是坐标轴,EN是y轴。
那么上面解所用的抛物线是
而矩形的双曲线是
y(a-x)=ac。
于是,这三次方程的解以及没有正解,或有一个正解,或有两个正解的条件,利用两个圆锥曲线而得到。]
为了叙述的完整性,以及对它们的兴趣,命题4的由狄俄尼索多罗和狄俄克利斯所给出的解,在这里补上。
狄俄尼索多罗的解
设AA'是已知球的直径,需求一平面截AA'于直角(设在一点M处),使得截得的两球缺之比为已知比CD:DE。
延长A'A到F,使得AF=OA,这里O是球心。
作AH垂直于AA',其长满足
FA:AH=CE:ED,
且延长AH到K使得
AK 2 =FA·AH。 (α)
作一个顶点为F,轴为FA以及参数等于AH的抛物线,由等式(α)它将过K点。
作A'K'平行于AK且交抛物线于K';作以A'F,A'K为渐近线且过H的矩形双曲线。这个双曲线将交抛物线于一点P,它在K和K'之间。
作PM垂直于AA'且交大圆于B,B',从H,P作HL,PR平行于AA'且分别交A'K'于L,R。
于是,由双曲线的性质,
PR·PM=AH·HL,
即 PM·MA'=HA·AA',
或 PM:AH=AA':A'M,
和 PM 2 :AH 2 =AA' 2 :A'M 2 。
由抛物线的性质,也有
PM 2 =FM·AH,
即 FM:PM=PM:AH,
或 FM:AH=PM 2 :AH 2
=AA' 2 :A'M 2 ,从前式。
因为两圆之比如同它们半径的平方比,以A'M为半径的圆为底,以高等于FM的圆锥和以AA'为半径的圆为底,以高等于AH的圆锥,它们的底和高成反比例。
因此两圆锥相等;亦即如果我们用符号c(A'M),FM表示第一个圆锥,其他同样表示,那么
c(A'M),FM=c(AA'),AH。
现在
[c(AA'),FA]:[c(AA'),AH]=FA:AH
=CE:ED,由作图。
所以
[c(AA'),FA]:[c(A'M),FM]=CE:ED。 (β)
但是(1) c(AA'),FA=球。 [Ⅰ.34]
(2)c(A'M),FM能够证明等于以A'为顶点,以A'M为高的该球的球缺。
为此,在AA'上取一点G,使得
GM:MA'=FM:MA
=(OA+AM):AM。
于是圆锥GBB'等于球缺A'BB'。 [命题2]
并且 FM:MG=AM:MA',由假设,
=BM 2 :A'M 2 。
所以
以BM为半径的圆:以A'M为半径的圆
=FM:MG,
于是 c(A'M),FM=c(BM),MG
=球缺A'BB'。
从等式(β),我们有
球:球缺A'BB'=CE:ED,
因此 球缺ABB':球缺A'BB'=CD:DE。
狄俄克利斯的解
狄俄克利斯像阿基米德那样是从在命题2中被证的性质开始的,即如果一个平面垂直截球的直径于M点,且若取H,H'在OA,OA'沿线上分别满足
(OA'+A'M):A'M=HM:MA,
(OA+AM):AM=H'M:MA',
则两圆锥HBB',H'BB'分别等于球缺ABB'和A'BB'。
于是,导出推论为
HA:AM=OA':A'M,
H'A':A'M=OA:AM.
他用下面的形式陈述这个问题,用任给的线段代替OA或OA',这样稍许扩张了一点:
给定一条线段AA',它的端点是A,A',给定一个比C:D,给定另一线段AK;分AA'于M点和在A'A和AA'延长线上分别求一点H,H',使下面的关系同时成立:
C:D=HM:MH', (α)
HA:AM=AK:A'M, (β)
H'A':A'M=AK:AM。 (γ)
分析
假设问题已解决,三点M,H和H'已求得。
作AK与AA'成直角,作A'K'平行且等于AK。连接KM,K'M,延长它们分别交K'A',KA于E,F。连接KK',过E作EG平行于A'A且交KF于G,过M作QMN平行于AK,且交EG,KK'于Q和N。
现在 HA:AM=A'K':A'M,由(β)
=FA:AM,由相似三角形,
因此 HA=FA。
类似地 H'A'=A'E。
其次,
(FA+AM):(A'K'+A'M)=AM:A'M
=(AK+AM):(EA'+A'M),由相似三角形。
所以 (FA+AM)·(EA'+A'M)
=(KA+AM)·(K'A'+A'M)。
沿AH取AR,沿A'H'取A'R',使得
AR=A'R'=AK。
因为FA+AM=HM,EA'+A'M=MH',于是我们有
HM·MM'=RM·MR'。 (δ)
[于是,若R落在A和H之间,R'就落在自A'关于H'的另一边,反之亦然。]
现在 C:D=HM:MH',由假设,
=HM·MH':MH' 2
=RM·MR':MH' 2 ,由(δ)。
沿MN量MV使得MV=A'M。连接A'V和向两边延长之。作RP,R'P'垂直于RR'且分别交延长了的A'V于P,P'点。
由平行线性质,
P'V:PV=R'M:MR。
所以 PV·P'V:PV 2 =RM·MR':RM 2 。
但是 PV 2 =2RM 2 。
所以 PV·P'V=2RM·MR'。
又已证 RM·MR':MH' 2 =C:D。
因此 PV·P'V:MH' 2 =2C:D。
但是 MH'=A'M+A'E=VM+MQ=QV。
所以 QV 2 :PV·P'V=D:2C,是已知比。
这样,如果我们取一线段使得
D:2C=p:PP', [1]
如果我们作一个椭圆,它以PP'为一直径,以p作为对应的参数[=DD' 2 /PP',用几何圆锥曲线的普通记法],这样,使得PP'对坐标倾斜直角的一半,即平行于QV或AK,那么椭圆将过Q点。
因此Q在给定的椭圆上。
又因为EK是平行四边形的对角线,
GQ·QN=AA'·A'K'。
所以,如果作一个以KG,KK'为渐近线且过A'的矩形双曲线,它也将过Q点。
因此Q在一个给定的矩形双曲线上。
于是Q作为已知的椭圆和已知的双曲线的交点而被求出,所以它是已知的。这样M被给定,以及H,H'同时被求出。
综合
放置AA',AK成直角,作A'K'平行且等于AK,连接KK'。
作AR(延长了的A'A)和A'R'(延长了的AA')都等于AK,过R,R'作垂直于RR'的直线。
然后过A'作PP'使得与AA'的交角(AA'P)等于直角的一半,且分别交已作的两垂线于P,P'。
取一个长p,使得
D:2C=p:PP'。
以PP'作为直径,以p作为对应参数作一个椭圆,使得对于PP'的坐标与它倾斜一个角等于AA'P,即平行于AK。
以KA',KK'为渐近线,过A'作一个矩形双曲线。
设双曲线和椭圆交于Q,从Q作QMVN垂直于AA',且分别交AA',PP'和KK'于M,V和N。作GQE平行于AA',且分别交AK,A'K'于G,E。
延长KA,K'M交于F。
于是由双曲线的性质。
GQ·QN=AA'·A'K',
因为这些矩形相等,所以KME是一直线。
沿AR取AH等于AF,沿A'R'取A'H'等于A'E。
由椭圆的性质,
QV 2 :PV·P'V=p:PP'
=D:2C。
由平行线性质,
PV:P'V=RM:R'M,
或 PV·P'V:P'V 2 =RM·MR':R'M 2 ,
而P'V 2 =2R'M 2 ,因为角RA'P是直角的一半。
所以 PV·P'V=2RM·MR',
因此 QV 2 :2RM·MR'=D:2C。
但是 QV=EA'+A'E=MH'。
所以 RM·MR':MH' 2 =C:D。
又由两相似三角形,
(FA+AM):(K'A'+A'M)=AM:A'M
=(KA+AM):(EA'+A'M)。
所以
(FA+AM)·(EA'+A'M)=(KA+AM)·(K'A'+A'M),
或 HM·MH'=RM·MR'。
由此得出
HM·MH':MH' 2 =C:D,
或 HM:MH'=C:D。 (α)
也有 HA:AM=FA:AM,
=A'K':A'M,由相似三角形, (β)
H'A':A'M=EA':A'M,
=AK:AM。 (γ)
因此点M,H,H'满足三个给定的关系。
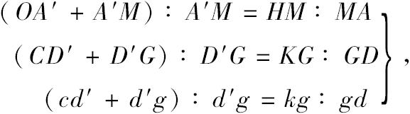
命题5 (问题)作一个球缺与一个球缺相似,而与另一个球缺体积相等。
设ABB'是一个球缺,它以A为顶点,其底为以BB'为直径的圆;设DEF'是另一个球缺,它以D为顶点,其底为以EF为直径的圆。设AA',DD'分别是穿过BB',EF的大圆的直径。设O,C分别是球心。
设需要作一球缺相似于DEF,且体积等于ABB'的体积。
分析
假设问题已解决,设def是所求的球缺,它以d为顶点,其底为以ef为直径的圆。设dd'是球的直径,它垂直平分ef,c是球心。
设BB',EF,ef依次在点M,G,g处被AA',DD',dd'垂直平分,使得
且构成的这些圆锥分别有顶点H,K,k,且其底为球缺的底。则这些圆锥将分别等于对应之球缺。 [命题2]
所以,由假设,
圆锥HBB'=圆锥kef。
因此
(以BB'为半径的圆):(以ef为半径的圆)=kg:HM,
使得 BB' 2 :ef 2 =kg:HM。 (1)
但是,因为球缺DEF,def相似,这样圆锥KEF,kef也相似。
所以 KG:EF=kg:ef。
而比KG:EF是已知的,所以比kg:ef是已知的。
假设取一个线段R使得
kg:ef=HM:R。 (2)
于是R是已知的。
又因为 kg:HM=BB' 2 :ef 2 =ef:R,由(1)和(2),假设取一个线段S使得
ef 2 =BB'·S,
或 BB' 2 :ef 2 =BB':S。
于是
BB':ef=ef:s=S:R,
ef,S 是BB',R之间成连比例的两个比例中项。
综合
设ABB',DEF是大圆,BB',EF,依次在点M,G处被直径AA',DD'垂直平分,且O,C是球心。
如前那样取H,K,作出圆锥HBB',KEF,它们就分别等于球缺ABB',DEF。
设R是一线段,使得
KG:EF=HM:R,
在BB',R之间取比例中项ef,S。
以ef为底,作以d为顶点的弓形相似于弓形DEF。完成圆edf,设dd'是过d的直径,C是中心。设想作一个以def为大圆的球,且过ef作一个平面与dd'成直角。
则def将是所求的球缺。
由于两球缺DEF,def是相似的,如同两弓形DEF,def相似。
延长cd到k,使得
(cd'+d'g):d'g=kg:gd。
此外,两圆锥KEF,kef相似,
所以
kg:eg=KG:EF=HM:R,
于是
kg:HM=ef:R。
但是,因为BB',ef,S,R成连比例,
BB' 2 :ef 2 =BB':S
=ef:R
=kg:HM。
这样,圆锥HBB',kef的底与它们的高成反比。所以两圆锥相等,且def是所求的球缺,它的体积等于圆锥kef。 [命题2]
命题6 (问题)已知两个球缺,求第三个球缺,使其与一个球缺相似,而与另一个球缺有相等的表面。
设ABB'是一个球缺,它的面等于所求球缺的表面,大圆ABA'B'所在平面与球缺ABB'的底成直角且交于BB'。设AA'是垂直平分BB'的直径。
设DEF是一个球缺,它与所求的球缺是相似的,大圆DED'F所在平面与球缺DEF成直角且交于EF,设DD'是垂直平分EF于G的直径。
假设问题已解决,def是一个球缺,它相似于DEF,它的面等于ABB'的面;如同DEF那样,完成图形def,用小写和大写字母分别记对应的各点。
连接AB,DF,df。
现在,因为球缺def,ABB'的表面是相等的,于是以df,AB为直径的两圆也是相等的; [Ⅰ.42,43]
即 df=AB。
从两球缺DEF,def相似,我们得到,
d'd:dg=D'D:DG,
和 dg:df=DG:DF;
因此 d'd:df=D'D:DF,
或 d'd:AB=D'D:DF。
但是AB,D'D,DF都是已知的,
所以d'd是已知的。
因而综合如下,
取d'd使
d'd:AB=D'D:DF. (1)
画一个以d'd为直径的圆,设想作一个以该圆为大圆的球,在g点分d'd,使得
d'g:gd=D'G:GD,
过g作一平面垂直于d'd截出一个球缺def,且交大圆于ef。这样两球缺def,DEF相似,
且 dg:df=DG:DF。
但是,从前式,由合比,
d'd:dg=D'D:DG。
于是由首末比 d'd:df=D'D:DF,
因此,由(1), df=AB。
因此球缺def的表面等于球缺ABB'的表面[Ⅰ.42,43],而该球缺也相似于球缺DEF。
命题7 (问题)用一平面从已知球截出一个球缺,使得该球缺与一圆锥有已知比,此圆锥与球缺同底等高。
设AA'是这球一个大圆的直径。需要作一平面与AA'成直角,截出一个球缺ABB',使得球缺ABB'与圆锥ABB'有已知比。
分析
假设问题已解决,设截面交大圆面于BB',交直径AA'于M,设O是球心。
延长OA到H,使得
(OA'+A'M):A'M=HM:MA。 (1)
于是圆锥HBB'等于球缺ABB'。 [命题2]
所以已知比必等于圆锥HBB'与圆锥ABB'的比,即HM:MA。
因此,(OA'+A'M):A'M是已知的;所以A'M也是已知的。
现在 OA':A'M>OA':A'A,
于是 (OA'+A'M):A'M>(OA'+A'A):A'A
>3:2。
这样, 关于此问题可能有解的一个必要条件是已知比大于3:2。
综合
设AA'是球的一个大圆的直径,O是球心。
取一线段DE,且在其上取一点F,使得DE:EF等于已知比,它大于3:2。
现在,因为
(OA'+A'A):A'A=3:2,
DE:EF>(OA'+A'A):A'A,
于是 DF:FE>OA':A'A。
因此,在AA'上能求出一点M,使得
DF:FE=OA':A'M。 (2)
过M作一平面与AA'成直角,且交大圆面于BB',并从球截出一个球缺ABB'。
如前,在OA延长线上取一点H,使得
(OA'+A'M):A'M=HM:MA。
所以HM:MA=DE:EF,依(2)。
随即有圆锥HBB'或球缺ABB'与圆锥ABB'的比为已知比DE:EF。
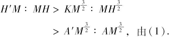
命题8 如果一球被不过中心的平面截得两个球缺A'BB'、ABB',其中A'BB'是较大的,则比
球缺A'BB':球缺ABB'
<(A'BB'的表面) 2 :(ABB'的表面) 2
但是 >(A'BB'的表面) 3/2 :(ABB'的表面) 3/2 。 [2]
设截面成直角地截一个大圆A'BAB'于BB',且设直径AA'垂直平分BB'于M。
设O是球心。
连接A'B,AB。
照常,在OA延长线上取H,在OA'延长线上取H',使得
(OA'+A'M):A'M=HM:MA, (1)
(OA+AM):AM=H'M:MA', (2)
且设想作二圆锥分别与二球冠同底,且以H,H'为顶点。两圆锥分别等于两球缺[命题2],又它们的比是两高HM,H'M之比。
也有
A'BB'的面:ABB'的面=A'B 2 :AB 2 [Ⅰ.42,43]
=A'M:AM。
所以我们需证明:
(a)H'M:MH<A'M 2 :MA 2 ,
(b)H'M:MH>
。
(a)由(2),
A'M:AM=H'M:(OA+AM)
=H'A':OA',因为OA=OA'。
因为A'M>AM,H'A'>OA';所以,如果我们在H'A'上取一点K使得OA'=A'K,K将在H'和A'之间。
又由(1),
A'M:AM=KM:MH。
这样 KM:MH=H'A':A'K,因为A'K=OA',
>H'M:MK。
所以H'M·MH<KM 2 。
由此得出
H'M·MH:MH 2 <KM 2 :MH 2 ,
或H'M:MH<KM 2 :MH 2
<A'M 2 :AM 2 ,由(1)。
(b)因为 OA'=OA,
A'M·MA<A'O·OA,
或 A'M:OA'<OA:AM
<H'A':A'M,依(2)。
所以 A'M 2 <H'A'·OA'
<H'A'·A'K。
在A'A延长线上取一点N,使得
A'N 2 =H'A'·A'K。
这样 H'A':A'K=A'N 2 :A'K 2 。 (3)
也有 H'A':A'N=A'N:A'K,
由合比,
H'N:A'N=NK:A'K,
因此 A'N 2 :A'K 2 =H'N 2 :NK 2 。
所以,由(3),
H'A':A'K=H'N 2 :NK 2 。
现在H'M:MK>H'N:NK。
所以
H'M 2 :MK 2 >H'A':A'K
>H'A':OA'
>A'M:MA,由(2)
>(OA'+A'M):MH,由(1)
>KM:MH。
因此
H'M 2 :MH 2 =(H'M 2 :MK 2 )·(KM 2 :MH 2 )
>(KM:MH)·(KM 2 :MH 2 ).
由此得出
[阿基米德的教程中增加了该命题的另一证明,在这里略去了,因为事实上,这证明既不比前述证明更清晰,也不更短些。]
命题9 (问题)在所有有等表面的球缺中,半球体积最大。
设ABA'B'是球的一个大圆,AA'是直径,O是球心。设球被不过球心的平面所截,该面垂直于AA'(在M点),且交大圆面于BB'。球缺ABB'可以小于半球(如图左),或大于半球(如图右上)。
设DED'E'是另一球的一个大圆,DD'是直径,C是中心。设过C且垂直于DD'的平面截球,并交大圆面于直径EE'。
假设球缺ABB'的表面和半球DEE'的面相等。
因为两面相等,所以AB=DE。 [Ⅰ.42,43]
在图左中,AB 2 >2AM 2 和AB 2 <2AO 2 。
在图右上,AB 2 <2AM 2 和AB 2 >2AO 2 。
因此,如果在AA'上取一点R,使得
R将在O和M之间。
又因为 AB 2 =DE 2 ,于是AR=CD。
延长OA'到K使得OA'=A'K,延长A'A到H,使得
A'K:A'M=HA:AM,
由合比,(A'K+A'M):A'M=HM:MA。 (1)
于是圆锥HBB'等于球缺ABB'。 [命题2]
又延长CD到F,使得CD=DF,那么圆锥FEE'将等于半球DEE'。 [命题2]
今AR·RA'>AM·MA',
且 AR
2
=
=
=AM·A'K。
因此
AR·RA'+RA 2 >AM·MA'+AM·A'K,
或 AA'·AR>AM·MK
>HM·A'M,由(1)。
所以 AA':A'M>HM:AR,
或 AB 2 :BM 2 >HM:AR,
即 AR 2 :BM 2 >HM:2AR, 因为AB 2 =2AR 2 ,
>HM:CF。
这样,因为AR=CD,或CE。
以EE'为直径的圆:以BB'为直径的圆>HM:CF。
由此得到
圆锥FEE'>圆锥HBB',
所以半球DEE'的体积大于球缺ABB'的体积。
[1]
这里在希腊原文中有一个错误,似乎躲过了至今所有编辑的注意。这个语句是
-
,
,
,即,(按上述字义)“如果我们取一长度p使得D:2C=PP':p。”这不是正确的,因为我们将有
QV 2 :PV·P'V=PP':p,
其实后面的两项被颠倒了,椭圆的正确性质是
QV 2 :PV·P'V=p:PP'。[Apollonius Ⅰ.21]
看起来这个错误远在狄俄尼索多罗就出现了,我认为狄俄尼索多罗比狄俄克利斯更可能犯此错误,因为任何一个睿智的数学家在援引别人的著作时都会犯此错误,而不是别人犯了错误自己没注意到。
[2]
这是阿基米德的句子的符号表达式,他说大的球缺与小的球缺的比“小于大球缺的表面与小球缺的表面比的加倍
,但是大于那个比的一倍半
”。