



光学显微术因其简便、直观、快速的特点和设备的普及性成为研究材料微观形貌的有力手段。光学显微镜依据观测样品的差异可分为反射式光学显微镜和透射式光学显微镜。前者利用被样品反射的光成像,常用于观测透明度低的固体样品,如表征金属材料常用的金相显微镜。而后者则利用透过样品的光成像,常用于观测具有高透明度或厚度薄的样品,如生物组织等。光学显微镜通过聚光镜和物镜的设计可拥有丰富的成像模式,包括明场、暗场、相衬、偏振光等,具体成像模式的选取需依据衬度需求、放大倍数、分辨率、样品特点等决定。利用可见光成像的光学显微镜,其理论分辨率受限于可见光的衍射极限,约为0.2μm。样品最终的图像质量与成像模式、样品性质、制样手段、电荷耦合器件(charge coupled device,CCD)相机质量等多重因素有关。
光学衬度是指样品图像和相邻背景(基底)的光强度之差相对于整个背景强度的比值。在明场成像模式下,样品的辨别主要依赖于样品与背景具有不同的吸收、反射、散射和发射荧光的能力从而导致的光学衬度差异。
光学衬度法在石墨烯层数的表征中有着举足轻重的作用。单层石墨烯的厚度仅为0.34nm,在可见光区的吸收率为2.3%,因此悬空石墨烯在光学显微镜下几乎不可见。Geim课题组首次利用机械剥离法得到单层石墨烯时所使用的是300nm厚的SiO 2 /Si基底。由于光线在不同界面传播时引发干涉效应,单层石墨烯呈现一种淡紫色,因而能够与基底区分开来,且石墨烯为薄层时的光学衬度与层数息息相关。因此,光学衬度法成为一种快速判断石墨烯层数的常用方法。以下将具体推导石墨烯在SiO 2 /Si基底表面光学衬度成像的原理。
石墨烯样品的光学衬度可以通过样品和基底表面的反射光强度来进行计算,而反射光强度取决于层状薄膜系统中各层薄膜的复折射率和厚度、入射光的波长和入射角度。如图2-1(a)所示,空白基底中存在两个界面,即空气/SiO
2
界面和SiO
2
/Si界面,而石墨烯薄膜样品中则存在三个界面,分别为空气/石墨烯界面、石墨烯/SiO
2
界面及SiO
2
/Si界面。假设入射光为正入射,且空气的复折射率为
,石墨烯、SiO
2
和Si 的复折射率分别为
、
和
,其厚度分别为
d
1
、
d
2
和
d
3
,则石墨烯/SiO
2
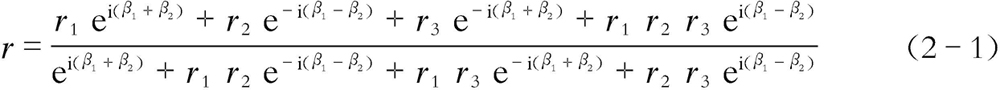
/Si薄膜体系的表面反射系数,即空气/石墨烯界面的反射系数
r
为
图2-1 石墨烯在SiO 2 /Si基底表面光学衬度成像的原理
(a)光在层状薄膜系统中各界面的反射示意图;(b)不同可见光波长下单层石墨烯的光学衬度与SiO 2 介电层厚度的关系图(Geim,2007)
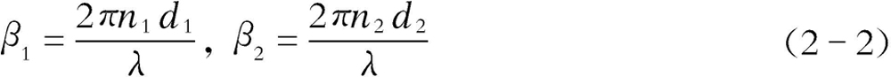
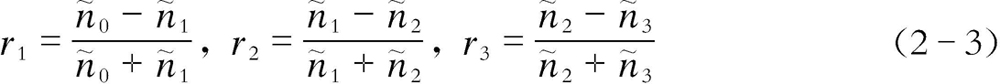
式中, β 1 和 β 2 分别为光通过石墨烯和SiO 2 时引起的相位差,如式(2-2)所示; r 1 、 r 2 和 r 3 均为相对折射率。
式中, λ 为入射光波长; n 1 、 n 2 分别为石墨烯和SiO 2 的折射率。
根据菲涅耳定律可得:
因而空气/石墨烯界面的反射率 R ( λ )为
石墨烯的光学衬度 C 为
式中,
R
s
(
λ
)和
R
g
(
λ
)分别为入射光照射空气/SiO
2
界面及空气/石墨烯界面的反射率。空气/SiO
2
/Si薄膜体系的反射率的计算方法较为简单,只需将式(2-3)中的
代入空气的折射率即可。
当将单层石墨烯放置于SiO 2 /Si基底表面时,其光学衬度依赖于入射光波长及SiO 2 介电层厚度。图2-1(b)为当SiO 2 介电层厚度不同时,单层石墨烯在不同可见光波长下的光学衬度。当SiO 2 介电层厚度为200nm时,单层石墨烯在绿光下的衬度较高,而当SiO 2 介电层厚度增加至300nm以上时,单层石墨烯则在蓝光下的衬度较高。
从光在各层薄膜中的传播来看,少层石墨烯的层数影响了相邻两束反射光之间的相位差,从而决定了石墨烯的光学衬度,这就是利用光学衬度法表征石墨烯层数的基本原理。
Shen等(2007)将不同层数的石墨烯机械剥离至285nm厚的SiO 2 /Si基底上,对其光学衬度进行了表征。单层石墨烯呈现淡紫红色,随着层数增加,石墨烯的颜色逐渐变成蓝紫色,再变为深紫红色、淡蓝色,一直到厚层石墨烯为黄色,据此可以在光学显微镜下快速定位薄层石墨烯样品[图2-2(a)]。
图2-2 不同层数石墨烯的光学衬度
(a)285nm厚的SiO 2 /Si基底上不同层数石墨烯的光学图像;(b)不同层数石墨烯的白光衬度谱;(c)1~9层石墨烯在550nm时的光学衬度及其拟合曲线
对285nm厚的SiO 2 /Si基底上石墨烯的白光衬度进行测试,当其白光衬度大于0时,石墨烯对于此波长的光的反射率小于基底,而当其白光衬度小于0时,石墨烯的反射率大于基底[图2-2(b)]。当石墨烯为1~9层时,其白光衬度谱的谱峰位置约在550nm,且此波长下的光学衬度呈递增趋势[图2-2(c)],其光学衬度与层数之间的关系可以用式(2-6)进行拟合。
式中, N 为石墨烯的层数。
因此,利用光学衬度法可以有效地对石墨烯的层数进行表征,相较于原子力显微术,这一方法更为简单快速,将石墨烯置于具有合适厚度的介电层的基底上,即可利用基本的薄膜光学理论对其光学衬度谱进行解析。然而值得注意的是,在石墨烯层数的光学衬度法表征中,通常假定入射光为正入射,而在实际的光学显微术表征中,物镜的数值孔径同样影响石墨烯的光学衬度,因而对石墨烯光学衬度的精确模拟通常更为复杂,需要考虑s偏振光与p偏振光的不同反射系数以及对镜头的孔径角进行积分。
化学气相沉积法是一种常见的生长单层石墨烯的方法。在石墨烯生长的初期,石墨烯的晶核在基底的不同区域内形成,随着生长时间的延长,石墨烯的各个单晶畴区之间结合形成多晶石墨烯薄膜,同时各个单晶畴区的结合界线上形成石墨烯的晶界。石墨烯的晶界对其性质有着重要的影响,随着晶界密度增大,石墨烯的载流子迁移率、热导率及机械强度都会相应降低。因此,如何减小晶界密度、增大单晶畴区是石墨烯生长研究中的重要课题,而对石墨烯晶界的表征可以为其生长研究提供指导。
基于石墨烯与液晶分子之间的取向依赖关系,Kim等(2011)通过在石墨烯表面覆盖一层向列型液晶,利用其双折射效应实现了对石墨烯单晶畴区的可视化。向列型液晶材料5CB在23℃时可以转变为向列相,且具有显著的光学异性,寻常光(o光)与非寻常光(e光)的折射率之差可以达到0.18,因而在交叉偏振下,石墨烯的光学衬度显著依赖于液晶分子的取向。液晶分子与石墨烯之间的π-π相互作用使得液晶分子在形成向列相时,其苯环结构与石墨烯的六元环结构相匹配,因而利用液晶分子在偏光显微镜下的双折射效应可以对石墨烯的不同单晶畴区进行成像[图2-3(b)(c)],不同区域光学图像的交界处即为多晶石墨烯薄膜的晶界。
图2-3 利用向列型液晶对石墨烯的单晶畴区进行表征
(a)液晶、石墨烯和基底的示意图,以及5CB的分子结构和热转变温度(图中Cr表示晶相,N表示向列相,Iso表示无序相);(b)偏光显微镜下,液晶分子由于石墨烯单晶畴区的不同取向及双折射效应产生的颜色差异(图中P为起偏方向,A为检偏方向);(c)将图(b)中区域旋转30°后的光学图像
为了表征铜箔上未经转移的石墨烯的晶界,Lee等(2012)利用紫外线产生了O自由基和OH自由基,使得石墨烯的晶界被OH自由基功能化,从而将石墨烯晶界下的铜箔氧化,实现了石墨烯晶界的光学表征。铜箔上生长的石墨烯在氧化前后的光学图像如图2-4(b)(c)所示,其中黑色曲线为石墨烯的晶界,通过扫描电子显微镜(scanning electron microscope,SEM)及AFM的表征可以对这一变化的原因进行解释。石墨烯晶界下方的铜箔被氧化,使得其氧化区域的高度显著提高,且宽度可以达到500~600nm,从而能够实现光学可视化表征。
图2-4 在富含水分的环境下紫外线照射后的石墨烯晶界
(a)铜箔上生长的石墨烯的紫外线处理过程;(b)(c)氧化前和氧化后石墨烯的光学图像;(d)氧化后石墨烯的SEM图像;(e)图(c)中红方框区域的AFM表征结果
对石墨烯晶界下方的铜箔进行氧化成为一种表征石墨烯晶界的通用方法。Lee等(2013)将石墨烯浸入氯化钠电解液中,增强了氧气对铜箔的氧化作用,使得其晶界通过氧化的铜箔得以表征。利用热氧化和氧等离子体对铜箔上生长的石墨烯进行处理,也可以达到类似的效果(Guo,2012;Lee,2017)。而Niklaus等(2018)利用氟化氢气体对石墨烯晶界下方的SiO 2 进行刻蚀,实现了在SiO 2 /Si基底上对石墨烯晶界的表征。
上述对石墨烯的光学表征主要利用明场成像模式,优点是设备简单、样品无须繁琐处理,但对薄层石墨烯的显像衬度不高。为了追求更高的光学衬度、更简便的制样方法和对细微结构更灵敏的表征能力,人们通过改变成像模式、选取不同光源等方法进行光学表征,主要方法包括暗场光学成像、荧光猝灭成像等。
Kong等(2013)利用暗场光学成像对化学气相沉积法制备的石墨烯进行了光学表征,如图2-5(b)所示。暗场光学成像的原理是利用被样品散射的光进行成像,不同于明场成像模式下样品被实心圆柱状光束聚焦后的辐照情形,暗场下显微镜的聚光器形成空心圆柱状光束,聚焦后入射光以斜入射的方式照射样品,而收集物镜的数值孔径小于聚光镜,即只收集发射角度小于入射角度的散射光,从而避开了入射光的影响,样品图像的形成源自样品对光的瑞利散射(Davidson,2002)。当颗粒尺寸 D 小到和入射光波长 λ 相当时,即颗粒周长与入射光波长之比为
光的散射以瑞利散射为主,散射光强度 I 的表达式如下:
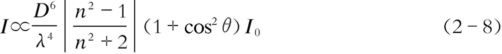
式中, I 0 为入射光强度; n 为折射系数; θ 为散射角度。从式(2-8)可以看出,散射光强度与颗粒尺寸的6次方成正比。因此,暗场光学成像对样品表面形貌的微观变化极为敏感。
在石墨烯的生长及降温过程中,由于石墨烯的包覆使得铜箔免于被氧化而产生台阶,且高度约为20nm。而裸露的铜箔表面由于氧化作用,起伏程度相对较小,仅为3nm。因而两者的暗场散射光强度相差约88000倍,从而在暗场散射模式下,可以准确分辨生长在铜箔或其他金属基底上的石墨烯样品而无须额外转移。
氧化石墨烯与还原氧化石墨烯的光学表征面临着相似的困境,其厚度低于1nm,且相较于机械剥离法得到的单层石墨烯,其在可见光区的吸收率更低。Treossi等(2009)利用氧化石墨烯对荧光分子(T4)的荧光猝灭作用进行成像[图2-5(d)(e)],其荧光猝灭机制主要基于氧化石墨烯与T4荧光分子之间的电荷转移。利用这一方法得到的荧光猝灭图像中,单层氧化石墨烯的光学衬度约为0.78,相较于石墨烯在300nm厚的SiO 2 /Si基底上的光学衬度(0.12)提升了5倍左右。这一成像方法不受基底的限制,甚至可以在溶液中进行(Kim,2010)。但须用荧光染料对石墨烯进行预处理,操作略繁琐,对待测样品也带来一定的污染。
图2-5 不同光学成像技术获得的石墨烯图像
(a)明场光学成像观察的铜箔上生长的石墨烯的形貌;(b)暗场光学成像观察的铜箔上生长的石墨烯的形貌;(c)T4荧光分子的结构;(d)负载T4荧光分子的氧化石墨烯的光学图像;(e)负载T4荧光分子的氧化石墨烯的荧光猝灭图像
光学显微术是一种快速、简便的表征石墨烯的方法,然而由于石墨烯的原子级厚度及对可见光的高透过性,石墨烯的光学表征通常受限于基底的特性,或者需要利用特殊的分子或化学反应对石墨烯进行处理之后才能表征,这对石墨烯样品造成了一定的污染及破坏。同时,由于光学衍射极限的限制,光学显微成像的方法无法表征石墨烯较为精细的结构,依然需要与具有更高分辨率的表征方法相结合。