购买
下载掌阅APP,畅读海量书库
立即打开
畅读海量书库
扫码下载掌阅APP

3-3 曲线上某点处切线的斜率

3-3-1 基本概念

直线的 斜率 固定的 ,但是 曲线 上某点处切线的斜率会因所在位置不同而不同。

3-3-2 从曲线上2点连线的斜率说起

我们可以使用二次函数代表曲线。

程序实例ch3_1.py: 绘制一条 x -5 5 区间的下列二次函数:

y = x 2

执行结果

执行结果

假设现在想计算曲线 y = x 2 上的 A B 形成的直线 AB 的斜率,使用我们已经知道的概念,可以使用下图表达。

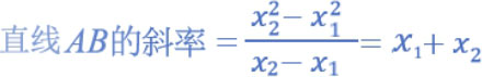
此时 A 坐标虽然是 1, 1),但是我们先用( x 1 , y 1 )表达。 B 坐标虽然是(4, 16),但是我们先用( x 2 , y 2 )表达,此时的直线 AB 的斜率公式如下:

因为该曲线公式是 y = x 2 ,所以 ,我们可以将上述公式改写如下:

上述公式的计算结果如下:

读者可能奇怪上述公式如何计算,我们可以使用下列方式 验算

由上述公式验算,我们可以得到当曲线是 y = x 2 时,直线 AB 的斜率相当于是 x 1 + x 2

由上图知, A 点坐标( x 1 , y 1 )其实是(1, 1), B 点坐标 x 2 , y 2 其实是(4, 16),由上述公式我们可以得到直线 AB 的斜率是:

x 1 + x 2 =1+4=5

3-3-3 曲线上某点处切线的斜率

现在将 B 点移近 A 点,移至(2, 4)的位置。

程序实例ch3_2.py: 重新设计ch3_1.py,但是更改 B 点的位置为(2, 4),同时连接 A 点和 B 点。

执行结果 这是笔者手动调整 x 轴和 y 轴相同单位长度的结果。

这时直线 AB 的斜率变成 x 1 + x 2 =1+2=3。从上述直线 AB 看,虽然此直线非常接近曲线 y = x 2 ,但是上述计算方式不能称作曲线上 A 点处切线的 斜率 ,使用相同方法看弯曲程度较大的曲线:

很明显,上述曲线上的任意2点形成的直线的斜率均无法当作此曲线上 A 点处切线的斜率,如果要计算曲线上 A 点处切线的斜率,必须将 B 点移向 A 点,如下所示:

当曲线上的 B 趋近 A 点时, B 点坐标就非常靠近( 1,1 ),则由 A 点和 B 点形成的直线 AB 的斜率就接近 x 1 + x 2 =1+1=2 ,当 B 无限接近 A 点时,由 A 点和 B 点形成的直线的斜率才是曲线上 A 点处切线的斜率,我们也可以将直线 AB 称为曲线在 A 点的 切线 OncCye34gzq1dSV99iyjpUlnjDVYaVfRKg+7tdfsRREp5zN8gbAVlB3BmhivTc4J

点击中间区域
呼出菜单
上一章
目录
下一章
×