购买
下载掌阅APP,畅读海量书库
立即打开
畅读海量书库
扫码下载掌阅APP

2-2 极限

极限是数学基本概念中很重要的一个概念,也是微积分的基本概念,主要是描述当一个序列的指标越来越大时,数列中元素的性质变化趋势。或是描述当一个 函数 自变量越来越接近某一个数值 时,此 函数 的变化趋势。

2-2-1 数列实例

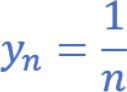
有一个数列如下:

n 趋近于 无穷大∞ 时,上述结果如下:

完整的公式表达如下:

程序实例ch2_3.py: 绘图表现此数列 n 1 100 的结果。

执行结果

2-2-2 函数实例

2-1节介绍了金门高粱酒的稀释过程,其实本节最后推导出的函数就是函数的极限实例,如下所示: rb2BY/7a6sbz8eUwuuZ9Psl8ftndohULyClUb/zFYM5eHLJn6mBycKTfr5QLAH7T

点击中间区域
呼出菜单
上一章
目录
下一章
×