



摘要: 党的十九大报告强调了消费对经济发展的基础性作用。在全面建成小康社会和基本实现社会主义现代化的目标下,缩小城乡消费差距的紧迫性和重要性日益凸显。学界普遍认为教育能够推动区域经济发展,但是对于教育投入与消费水平变动的研究尚无定论,尤其是缺乏从基础教育投入差异角度对城乡居民消费差距的解释及讨论。本文基于空间异质性和非线性的双重视角,利用门槛回归技术对我国省域城乡面板数据进行考察发现,基础教育投入差异总体上显著促进了城乡居民消费水平差异的扩大,但这种影响具有边际效率递减的非线性动态特征和空间异质门槛效应。进一步对非线性增长效应的约束机制分析表明:①只有当城乡收入差距和城乡财富水平差距分别跨越一定门槛时,教育投入均衡化才会有利于缩小城乡消费差距。②在控制了收入差异的影响下,全国、东部和中部地区均表现为明显的“U”形;在控制了财富差异的影响下,全国及东部、中部、西部地区呈现出“N”形、“N”形、倒“U”形和线性的特征。③教育投入对于缩小城乡消费差距存在最优区间,现阶段我国教育投入已处于最优区间内,但是这在不同的空间维度下也表现出一定的异质性特征。
关键词: 基础教育投入;城乡居民消费;不平衡;门槛效应
作者简介: 王欣亮(1986— ),西北大学公共管理学院副教授、硕士研究生导师,主要研究方向为公共经济与政策。刘飞(1985— ),西北大学哲学学院讲师、硕士研究生导师,主要研究方向为公共政策分析。
改革开放40多年来,我国国民经济取得了引人注目的成就,但与此同时,区域间、城乡间不断扩大的发展差距成为必须面对且亟待解决的问题。党的十九大报告提出“让改革发展成果更多更公平惠及全体人民,朝着实现全体人民共同富裕不断迈进”的发展目标,并再次强调坚定贯彻“创新、协调、绿色、开放、共享”的发展理念。居民消费是衡量居民生活水平的重要指标,受到学界普遍关注。城乡居民消费水平的趋同发展也成为城乡协调发展的重要标志。在推动城乡协调发展的诸多举措中,教育对经济发展和社会进步的基础性作用已成为学界的共识。党的十九大报告也强调“必须把教育事业放在优先位置”以及“推进教育公平”的重要理念。
在理论研究方面,关于教育投入对于区域经济发展及居民收入水平的影响机制等问题一直是学术界关注的重点,但是对基础教育投入的消费溢出效应研究较少,存在基础教育投入与城乡消费差距研究相割裂的现象,不仅表现为对基础教育投入与城乡消费差距的相关性研究较少,而且缺乏对基础教育投入与城乡消费差距间理论机制阐释及现实刻画研究。结合上述背景,本文拟重点研究并尝试回答的问题有:基础教育投入的消费溢出效应是否具有区域异质性;通过偏向性基础教育投入能否推动城乡消费均等化;如果能够实现的话,区域间的偏向性如何决定及区域内政策如何动态调整,以提升精准性。
研究教育支出与居民消费的关系起源于财政支出与居民消费关系的研究,Marth和Balley(1971)、Robert和Barro(1981)最先研究了财政支出与居民消费的理论关系问题,认为财政支出与居民消费之间存在替代、互补或不确定关系,在以往研究中,较多学者将政府教育支出从财政支出中单列出来进行研究,主要观点包括以下三种。
第一,教育投入对居民消费的影响存在区域差异。田青、马健等(2008)研究我国城镇居民消费影响因素的区域差异,提出全国教育支出能够促进居民消费增长,但分区域看,教育支出挤出了我国东部、中部、西部地区的居民消费,且这种挤出效应在西部最大。邓宏亮、黄太洋(2013)从经费投入及人力投入两方面进行测算,认为教育投入对于经济发展具有区域异质性。涂立桥(2015)认为在东部、中部、西部财政教育支出的作用并不一致,在东部、中部财政教育支出挤入居民消费,而在西部财政教育支出挤出居民消费。单德朋(2012)以西部地区为例,对教育投入的减贫效应进行计量分析,认为其效果具有门槛效应。也有部分学者分别研究了政府教育支出影响农村和城镇居民消费的作用差异,得出政府教育支出对城镇居民消费作用不显著,但对农村居民消费显著,城镇居民消费主要依赖于居民收入(陈平路等,2013)。第二,教育投入挤出居民消费。Satoshi Shimizutani(2017)利用日本的数据研究表明居民很难平衡自己一生的消费,教育费用支出增加后,会减少在其他消费方面的消费支出。在国内,有很多学者经过研究各阶段政府教育支出与居民消费的关系,提出高等教育支出增加对居民未来消费预期作用不大,居民依然会通过储蓄以备未来消费支出,当教育支出增加时,居民储蓄会增加,从而挤出居民消费(杨汝岱、陈斌开,2009)。第三,教育投入挤入居民消费,且对农村居民消费挤入效应更大。Riccardo和Tryphon(2004)利用欧洲12个国家的数据实证研究了政府支出对居民消费的作用,认为教育、卫生等公共支出对居民消费都产生挤入效应,且这一挤入效应大于公共安全支出所产生的挤出效应。Emanuele和Giovanni(2010)运用OECD国家数据实证研究,认为当把公共支出平均分配到教育、卫生和社会保障三个方面时,居民消费增长率将有所提升。还有一部分学者在宏观研究地方财政支出与居民消费关系的过程中,将财政支出分解为教育、医疗、社会保障等多个方面,并将以上几方面融入单一实证模型中估计其与居民消费的关系,研究得出结论是政府教育支出对农村居民消费具有更大的挤入效应(蔡伟贤,2014)。
综上可知,目前虽有少量文献研究基础教育投入与居民消费的相关关系,但依然存在一定缺陷:一是现有研究多集中于线性角度分析,鲜有文献从非线性角度进行测度分析,而结合上述文献梳理能够看出,基础教育投入对居民消费的影响机制复杂,采用非线性描述更有利于现实刻画及理论分析;二是现有文献对于基础教育投入水平与城乡居民消费差异的研究结论存在一定分歧,且缺乏对基础教育投入水平与城乡居民消费差异的异质门槛效应分析;三是对于其他相关要素约束下基础教育投入水平与城乡居民消费差异的研究文献也较为少见,对研究结果稳健性的评判不足。在此背景下,本文结合非线性计量模型,重点探讨利用基础教育投入推动城乡居民消费均等化的内在影响机制、空间差异以及约束机制。
以往的研究主要使用泰尔指数对城乡居民消费差距进行测度。Theil(1967)提出,泰尔指数在城乡收入差距中的应用,其优点在于可以衡量人群组内收入差距与组间收入差距对总差距的影响。在计算城乡居民消费差距时,可将城与乡分成两组,则全国样本下的泰尔指数的计算公式可表示如下:
分地区样本下的泰尔指数表示为:
其中, dcon 表示城乡居民消费差距, C it 表示农村或城市在 t 时期的消费量, C t 表示两组消费的总消费, N t 表示 t 时期的总人口, N it 表示 t 时期城市或农村的人口, j 表示地区。
教育投入不均( dedu )是本文的核心解释变量,这里表示城乡基础教育财政投入不均等化程度。李玲等(2012)提出可使用学校间生均教育事业费收入差异和学校间生均可支配收入的加权平均值衡量学校间的财政性教育经费差异,但该方法仅适用于学校间比较,在城乡间比较时则缺乏可操作性。本文借鉴田艳平、王佳(2014)的做法,考虑数据的可得性,使用城乡普通中小学生均财政事业经费支出比来衡量教育投入不均等程度,比值越大表明城乡教育不均等程度越高,反之亦然。
本文选取城乡收入差距(
dinc
)、城乡财富差异(
dweal
)和教育投入不均(
dedu
)三个变量分别作为门槛变量。选择城乡收入差距(
dinc
)和城乡财富差异(
dweal
)作为门槛变量的原因在于,在不考虑信贷的情况下,居民消费来源于当期可支配收入和前期储蓄,因此,城乡收入差距(
dinc
)和城乡财富差异(
dweal
)会在较大程度上对城乡居民消费差距产生直接影响。在此,城乡收入差距(
dinc
)和城乡财富差异(
dweal
)的计算借鉴韩立岩、杜春越(2012)利用泰尔指数计算城乡收入差距(
dinc
)和城乡财富差异(
dweal
)的方式进行计算,具体计算公式为
,其中
j
表示城市或者农村,
i
表示地区,
P
表示收入,
Z
表示人口数。
为了更客观、真实地揭示城乡教育投入不均( dedu )对居民消费差距的影响,本文借鉴前人研究结论,将经济开放度( open )、城镇化水平( durb )与产业结构升级( indu )等引入控制变量。城镇化水平一般用城镇人口数占总人口的比例来衡量(徐敏、姜勇,2015),而经济开放度( open )则用进出口总额占GDP的比重来衡量(林毅夫、余淼杰,2009),产业结构升级使用二元对比系数测算(吴丰华、白永秀、吴振磊,2016),具体测算公式为:
indu= (第一产业GDP比重/第一产业从业人员比重)/(非一产GDP比重/非一产从业人员比重)
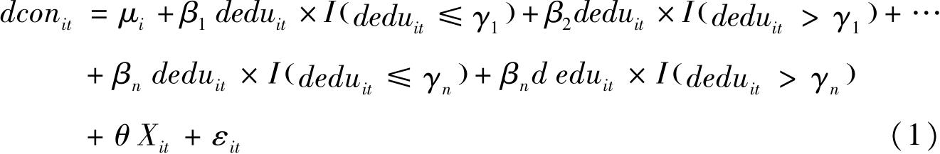
科学分析城乡教育投入不均对城乡居民消费差距的影响机制,有助于提升政府公共支出效率,缩小城乡居民消费差距,实现城乡平衡发展的目标。为此,本文基于Hansen(2000)提出的多重门槛回归模型,构建本文的计量模型:
其中, dcon it 表示 t 时期 i 省城乡居民消费差距, dedu it 表示 t 时期 i 省教育投入不均,在此既代表核心解释变量,又代表门槛变量。 X it 表示 t 时期 i 省的城镇化水平、产业结构升级、经济开放度等控制变量。
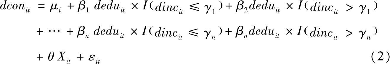
在以上模型测定结果的基础上,若教育投入不均确实对城乡居民消费差距产生非线性影响,那么城乡收入差距和财富差异对其的约束机制如何呢?鉴于对该问题的回答,本文构建模型(2)和模型(3)分析在城乡收入差距和城乡财富差异下教育投入不均与城乡居民消费差距存在何种非线性关系。
以城乡收入差距( dinc )作为门槛变量,构建面板门槛模型如下:
以城乡财富差异( dwed )作为门槛变量,构建面板门槛模型如下:
本文参考基础教育发展理论,以1998—2015年为研究时段,在考虑数据可得性的基础上利用我国大陆30个省份(除西藏外)的面板数据进行估算,基础数据来源于《中国统计年鉴》《中国教育统计年鉴》《中国教育经费统计年鉴》《中国城市统计年鉴》《中国农村统计年鉴》等,2015年数据来源于各省统计信息网。根据以上原始数据,本文计算得出各指标数值,现将数据进行描述性统计,结果见表1。
表1 数据描述性统计结果
为提高模型检验的可靠性,在进行模型估计前,本文首先进行了面板单位根检验,分别使用ADF和LLC方法进行检验,得出本文所涉及城乡居民消费差距( dcon )、教育投入不均( dedu )等因变量和所有自变量都通过了显著性检验;其次进行了平稳性检验,使用基于残差的Pedroni协整检验,表明教育投入不均与城乡居民消费差距之间呈平稳的长期均衡关系;最后进行了多重共线性诊断,计算得出最大的方差膨胀因子VIF<10,在可以接受的范围内。基于以上检验,进一步估计教育投入不均与城乡居民消费差距的非线性关系。
在改革开放40多年的发展中,我国各区域因发展政策、地理位置等因素形成东部、中部、西部发展严重不平衡的实际情况。基于此,在分析教育投入不均对城乡居民消费差距的影响时有必要考虑这一空间异质性因素,分别考察东部、中部、西部教育投入不均对城乡居民消费差距影响的门槛效应异同。在此,使用Hansen(2000)提出的“自举法”对全国及东部、中部、西部检验时,分别通过重叠模拟似然比检验统计量300次,结果表明全国在5%的显著性水平上通过了单门槛的自抽样检验,门槛值为3.661,95%置信区间为[0.407,3.707];东部地区在5%的显著性水平下通过了双重门槛效果的自抽样检验,门槛值为0.414和5.332,置信区间为[0.372,2.520]和[3.716,5.441];中部地区在1%的显著性水平下通过了双重门槛效果的自抽样检验,门槛值为1.745和3.913,95%的置信区间为[0.859,2.148]和[3.913,3.914];西部地区在5%的显著性水平下通过了双重门槛效果自抽样检验,门槛值为3.192和5.992,置信区间分别为[0.922,3.476]和[5.992,5.993]。为更清楚地显示教育投入不均对城乡居民消费差距影响的门槛效应变化趋势,将最小门槛值设为 dedu 1,最大门槛值设为 dedu 3,在Hausman检验的基础上,进一步对所有变量进行固定效应估计,得出全国及东部、中部、西部相关结果,如表2所示。
表2 教育投入不均影响城乡居民消费差距的门槛效应估计结果
注:*、**、***分别表示在10%、5%以及1%显著性水平,括号内表示估计的 t 值。
此外,为提升模型估计的可靠性,本文对全国教育投入不均影响城乡居民消费差距的作用使用GLS和工具变量固定效应(FE-IV)线性估计,对比其与非线性估计结果差异。
首先,对比全国线性模型、FE-IV和非线性估计结果显示,全国层面的城乡基础教育投入不均对城乡居民消费差距,无论在GLS还是FE-IV估计下都呈显著正向影响。在考虑门槛效应之后,在门槛值前后全国城乡基础教育投入不均对城乡居民消费差距的影响作用由大变小,但都是正向影响,可见,模型估计方法的改变并未改变模型检验结果,验证了本文实证检验结果的可靠性。
其次,对比全国及东部、中部、西部地区估计结果显示:在全国,基础教育投入不均在门槛值3.661前后都对城乡居民消费差距产生正向影响,只是当城乡基础教育投入不均程度小于3.661时,降低城乡基础教育投入不均程度在平衡城乡居民消费差距方面的作用最明显;在东部地区,基础教育投入不均在平衡城乡居民消费差距方面的作用显著负向,在最小的门槛值0.441之前时,基础教育投入不均对平衡城乡居民消费差距作用为显著负向,即降低基础教育投入不均程度会扩大城乡居民消费差距,这可能是由于教育投入在东部农村地区也出现拥挤,进而造成投入浪费,挤出居民日常消费造成的。但当基础教育投入不均程度在0.441到5.332之间时,降低城乡基础教育投入不均程度对平衡城乡居民消费差距的影响并不显著,在门槛值5.332之后,依然为反向作用。可见,在东部地区,基础教育投入不均程度无论如何变化也无法平衡城乡居民消费差距,这可能是由于东部地区的城乡基础教育已基本完善,进一步增加基础教育投入,反而会造成资源浪费,抑制居民消费。在中部和西部地区,基础教育投入不均与城乡居民消费差距之间呈倒“U”形关系,当城乡基础教育投入不均程度降低,分别在各自的最小门槛值3.492和1.745前后都对平衡城乡居民消费差距具有显著正向促进作用,而在各自最大门槛值3.913、5.992时,这一正向促进作用变为显著抑制作用。这一方面是由于中部、西部地区农村与东部地区农村相比经济更加落后,在中部、西部地区城乡教育投入不均程度较大时,增加农村教育投入,提高农村居民素质会导致居民的城市化倾向,从而扩大城乡收入差距,进而抑制城乡居民消费差距的平衡,李鹏、王明华(2014)的研究结论证明了这点。
最后,综合分析全国及东部、中部、西部地区的门槛模型估计结果,目前在全国层面上,降低城乡基础教育投入不均程度对平衡全国城乡居民消费差距具有显著促进作用。在中部、西部地区城乡基础教育投入不均程度较低(小于各自的最小门槛值)时,降低基础教育投入不均程度有助于缩小城乡居民消费差距;而在东部地区,基础教育投入不均程度降低反而会扩大城乡居民消费差距。
考虑到收入和财富对居民消费产生的直接效应,本文在城乡收入差距和城乡财富差异的约束下,深入揭示教育投入不均对城乡居民消费差距影响的门槛效应,依次对全国及东部、中部、西部地区进行300次重叠模拟似然比自举检验,结果如下。
全国及东部、中部地区分别在1%或5%的显著性水平下通过了双重门槛效果自抽样检验:全国的门槛值为0.038和0.138,95%置信区间[0.031,0.075]和[0.031,0.158];东部地区的门槛值为0.138和0.210,95%的置信区间[0.047,0.155]和[0.155,0.210];中部地区的门槛值为0.076和0.136,95%的置信区间[0.076,0.083]和[0.038,0.137]。而西部地区仅在1%的显著性水平下通过了门槛效果自抽样检验,门槛值为0.073,95%的置信区间为[0.071,0.075]。将城乡收入差距在各区域的最小门槛值设为 dinc 1,最大门槛值设为 dinc 3,在Hausman检验的基础上,进一步对所有变量进行固定效应估计,具体结果见表3。
表3 城乡收入差距约束下的面板门槛数据模型估计结果
注:*、**、***分别表示在10%、5%以及1%显著性水平,括号内表示估计的 t 值。
表3估计结果显示,在城乡收入差距约束下,从全国层面分析,城乡基础教育投入不均与城乡居民消费差距之间呈“U”形关系,当城乡收入差距在门槛值小于0.038时,城乡基础设施投入不均程度降低,会显著抑制城乡居民消费差距缩小;当城乡收入差距大于门槛值0.038时,降低城乡基础教育投入不均程度能显著平衡城乡居民消费差距,且当城乡收入差距大于门槛值0.138时,这一平衡作用显著提升。
分区域分析,东部地区和中部地区,城乡基础教育投入不均与城乡居民消费差距之间都呈“U”形关系。此时,当东部、中部地区城乡收入差距分别小于门槛值0.138和0.076时,城乡基础教育投入不均程度降低会显著抑制城乡居民消费差距平衡,而当城乡收入差距分别大于门槛值0.210和0.136时,降低城乡基础教育投入不均会对平衡城乡居民消费差距产生显著的促进作用,但不同的是,东部地区城乡收入差距在门槛值0.138和0.210之间时,城乡基础教育投入不均程度对平衡城乡居民消费差距作用并不显著,而中部地区在门槛值0.076和0.136之间时,城乡基础教育投入不均与城乡居民消费差距之间呈正相关关系。西部地区城乡收入差距小于门槛值0.073时,城乡基础教育投入不均在95%的显著性水平下对城乡居民消费差距的影响并不显著,而当城乡收入差距大于门槛值0.073时,城乡基础教育投入不均与城乡居民消费差距呈显著正相关关系,即降低城乡基础教育投入不均程度有助于平衡城乡居民消费差距。原因在于西部地区属我国经济欠发达地区,农村基础教育水平亟待完善,而随着公共教育投入的增加,将有助于改善农村基础教育师资水平、管理水平,逐步将升学率等作为对比考核指标,迫使家庭在基础教育上提供更多的配套支出,提高了农村居民家庭教育消费支出,对平衡城乡居民消费差距起到促进作用。杨丽、陈超(2013)的研究能够证明这点。
全国及东部、中部地区都在1%的显著性水平下通过了三重门槛效果自抽样检验:全国门槛值为0.225、0.646和1.005,置信区间为[0.223,0.248]、[0.637,0.651]和[0.223,1.302];东部地区门槛值为0.225、0.641和1.089,置信区间为[0.223,0.248]、[0.592,0.686]和[0.995,1.324];中部地区门槛值为0.162、0.351和0.590,置信区间为[0.146,0.193]、[0.140,0.381]和[0.578,0.624]。而西部地区并未通过任何门槛效果自抽样检验,因此,在进行Hausman显著性检验之后,使用面板固定效应模型对西部地区数据进行估计;此外,为显示在城乡财富差异处于门槛值各阶段时,城乡基础教育投入不均如何影响城乡居民消费差距,将城乡财富差异门槛的最小值设为 dweal 1,而将城乡财富差异的最大值设为 dweal 4,中间两个门槛值分别设为 dweal 2和 dweal 3,在进行Hausman检验后进行固定效应估计各阶段拟合结果,如表4所示。
表4 城乡财富差异约束下的面板门槛数据模型估计结果
注:*、**、***分别表示在10%、5%以及1%显著性水平,括号内表示估计的 t 值。
在城乡财富差异约束下,从全国层面看,城乡基础教育投入不均与城乡居民消费差距间呈“N”形关系,当城乡财富差异小于门槛值0.225时,降低城乡基础教育投入不均程度会抑制城乡居民消费差距的平衡;而当城乡财富差异在门槛值0.225和1.005之间时,降低城乡基础教育投入不均能显著平衡城乡居民消费差距;当城乡财富差异大于门槛值1.005时,降低城乡基础教育投入不均会抑制城乡居民消费差距平衡。经计算,2015年,我国城乡财富差异为0.565,处于门槛值0.225和1.005之间,可见,此时通过增加农村基础教育投入依然有助于缩小城乡居民消费差距。
分区域看,东部地区,城乡基础教育投入不均与城乡居民消费不平衡性呈“N”形关系,当城乡财富差异小于门槛值0.225时,降低城乡基础教育投入不均程度会抑制城乡居民消费差距的平衡;而当城乡财富差异在门槛值0.225和1.089之间时,降低城乡基础教育投入不均能显著平衡城乡居民消费差距;当城乡财富差异大于门槛值1.089时,降低城乡基础教育投入不均会抑制城乡居民消费差距平衡。这一变化趋势和全国的变化趋势相同。中部地区,城乡基础教育投入不均与城乡居民消费不平衡性呈倒“U”形关系,当城乡财富差异小于门槛值0.161及处于门槛值0.351和0.590之间时,降低城乡基础教育投入不均程度都能显著平衡城乡居民消费差距,而当城乡财富差异在门槛值0.161和0.351之间时,基础教育投入不均程度变动对平衡城乡居民消费差距无显著作用,但在城乡财富差异大于门槛值0.590时,城乡基础教育投入不均程度降低会显著抑制城乡居民消费差距平衡。西部地区,城乡基础教育投入不均与城乡居民消费差距呈正向线性相关,降低城乡基础教育投入不均能显著缩小城乡居民消费差距。
本文基于中国1998—2015年省际面板数据,采用门槛回归模型估计了教育投入不均对城乡居民消费差距的影响效应及约束机制,主要结论有:①整体而言,教育投入均等化能够缩小城乡居民消费差距,这种影响并不是简单的线性关系,而是呈现显著的边际效率递减的非线性动态特征;②教育投入不均对城乡居民消费差异的非线性影响存在一定的空间差异,中部与西部地区较为类似,呈现为倒“U”形关系,东部地区呈现不显著的相关性;③在控制了城乡财富差异的门槛条件下,均等化基础教育投入对于缩小城乡居民消费差距呈现出明显的正效应且具有区域差异性,全国及东部、中部地区均呈现出“U”形的相关性,且门槛值分别为0.038、0.138、0.076;对于西部地区表现为大于门槛值0.073的正向线性关系;④在控制城乡财富差异的门槛条件下,区域差异性更为明显,全国及东部、中部、西部地区分别呈现出“N”形、“N”形、“U”形及线性关系,这与区域发展条件及特征相关。
结合上述研究结论,本文的政策含义有三个。第一,基础教育投入是推动城乡居民消费均等化发展的有效手段,并已经取得了一定的成绩。党的十九大报告指出,近年来人民生活不断改善,其中“教育事业全面发展,中西部和农村教育明显加强”,这为推动城乡居民消费均等化奠定了重要的基础。而在进一步发展中,政府应优化城乡教育投入比例,结合乡村振兴战略等具体举措,推动城乡居民消费平衡发展。第二,基础教育投入对于缩小城乡居民消费的正向效应受到收入差距和财富差距的约束。结合区域差异化的发展特点,在保证基础教育投入整体提高的同时,优化投入结构,提升政策的精准性,以保障城乡居民消费效果。在具体发展中,应结合城乡收入差距及财富差距进行分类,对于城乡差异较大的地区,应通过向农村偏向的基础教育投入,有效推动城乡居民消费水平差距缩小;对于城乡发展差异较小,城乡一体化发展水平较高的地区,应关注基础教育投入结构的优化,提升城乡间基础教育投入水平和结构的均衡性。第三,在具体政策的制定中,还应关注政策举措的动态性,随着城乡居民收入及财富差距变动,适时调整城乡基础教育投入的偏向性,并注重打造发展教育、重视教育的良好环境,不断增强基础教育与不同层次教育之间投入的衔接性,通过优化教育投入结构,推动城乡消费均等化及城乡一体化发展,以践行共享发展理念。
[1]Marth J B.National income and the price level: A study in macroeconomic theory[M]. New York: McGraw-Hill, 1971.
[2]Robert J B.Output effects of government purchase[J]. The Journal of Political Economic, 1981, (89): 1086-1121.
[3]田青,马健,高铁梅.我国城镇居民消费影响因素的区域差异分析[J].管理世界,2008(7):27-33.
[4]邓宏亮,黄太洋.经济发展中教育投入效应的空间计量与门槛分析[J].中国高教研究,2013(3):25-31.
[5]涂立桥.财政教育支出对农村居民消费影响实证研究[J].商业经济研究,2015(6):62-64.
[6]单德朋.教育效能和结构对西部地区贫困减缓的影响研究[J].中国人口科学,2012(5):74-84.
[7]陈平路,鲁小楠.政府教育支出的挤入挤出效应分析[J].教育与经济,2013(4):16-20.
[8]Satoshi S.College tuition payment and household consumption in Japan[J]. Review of Economics of the Household March, 2017(15): 265-285.
[9]杨汝岱,陈斌开.高等教育改革、预防性储蓄与居民消费行为[J].经济研究,2009(8):112-124.
[10]Riccardo F, Tryphon K.Public goods, merit goods and the relation between private and government consumption[J]. European Economics Review, 2004(48): 1367-1398.
[11]Emanuele B, Giovanni C, David C, et al.Public expenditure on social programs and household consumption in China[J]. IMF Working Paper, 2010, 10(69): 1.
[12]蔡伟贤.公共支出与居民消费需求:基于2SLS模型的分析[J].财政研究,2014(4):25-28.
[13]李玲,宋乃庆,龚春燕,等.城乡教育一体化:理论、指标与测算[J].教育研究,2012(2):41-48.
[14]田艳平,王佳.城市化对城乡基础教育投入均等化的影响[J].中国人口·资源与环境,2014(9):147-155.
[15]韩立岩,杜春越.收入差距、借贷水平与居民消费的地区及城乡差异[J].经济研究,2012(S1):15-27.
[16]徐敏,姜勇.中国产业结构升级能缩小城乡消费差距吗?[J].数量经济技术经济研究,2015(3):3-21.
[17]林毅夫,余淼杰.我国价格剪刀差的政治经济学分析:理论模型与计量实证[J].经济研究,2009(1):42-56.
[18]吴丰华,白永秀,吴振磊.中国省域城乡社会一体化的空间差异与时序变化[J].中国软科学,2015(3):135-149.
[19]李鹏,王明华.城乡教育差距与收入差距关系的实证研究[J].山西财经大学学报,2014(12):24-32.
[20]杨丽,陈超.政府公共品供给对农村居民消费结构的影响:基于教育和医疗投入的分析[J].南京农业大学学报:(社会科学版),2013(6):57-65.