



[ Manson successfully made a chemical process for making certain steroid compounds which Manson argues that, because of the effect of a very similar steroid in an adjacent homologue in inhibiting tumor in mice, has satisfied the utility requirement. The Examiner finally rejected Manson's application, and the Board of Appeals affirmed. The CCPA reversed .]
JUSTICE FORTAS delivered the opinion.
...
Our starting point is the proposition, neither disputed nor disputable, that one may patent only that which is“useful.”Suffice it to say that the concept of utility has maintained a central place in all of our patent legislation, beginning with the first patent law in 1790 and culminating the present law's provision....
As is often the case, however, a simple, everyday word can be pregnant with ambiguity when applied to the facts of life. That this is so is demonstrated by the present conflict between the Patent Office and the CCPA over how the test is to be applied to a chemical process which yields an already known product whose utility – other than as a possible object of scientific inquiry – has not yet been evidenced. It was not long ago that agency and court seemed of one mind on the question. In In re Bremner , the court affirmed rejection by the Patent Office of both process and product claims. It noted that“no use for the products claimed to be developed by the processes had been shown in the specification.”It held that“It was never intended that a patent be granted upon a product, or a process producing a product, unless such product be useful.”Nor was this new doctrine in the court.
The Patent Office has remained stead-fast in this view. The CCPA, however, has moved sharply away from Bremner . The trend began in In re Nelson . There, the court reversed the Patent Office's rejection of a claim on a process yielding chemical intermediates“useful to chemists doing research on steroids,”despite the absence of evidence that any of the steroids thus ultimately produced were themselves“useful.”The trend has accelerated, culminating in the present case where the court held it sufficient that a process produces the result intended and is not“detrimental to the public interest.”
It is not remarkable that differences arise as to how the test of usefulness is to be applied to chemical processes. Even if we knew precisely what Congress meant in 1790 when it devised the“new and useful”phraseology and in subsequent re-enactments of the test, we should have difficulty in applying it in the context of contemporary chemistry where research is as comprehensive as man's grasp and where little or nothing is wholly beyond the pale of“utility”– if that word is given its broadest reach.
Respondent does not – at least in the first instance – rest upon the extreme proposition advanced by the court below, that a novel chemical process is patentable so long as it yields the intended product and so long as the product is not itself“detrimental.”Nor does he commit the outcome of his claim to the slightly more conventional proposition that any process is“useful”within the meaning of § 102 if it produces a compound whose potential usefulness is under investigation by serious scientific researchers, although he urges this position, too, as an alternative basis for affirming the decision of the CCPA. Rather, he begins with the much more orthodox argument that his process has a specific utility which would entitle him to a declaration of interference even under the Patent Office's reading of § 101. The claim is that the supporting affidavits filed pursuant to Rule 204 (b), by reference to Ringold's 1956 article, reveal that an adjacent homologue of the steroid yielded by his process has been demonstrated to have tumor-inhibiting effects in mice, and that this discloses the requisite utility. We do not accept any of these theories as an adequate basis for overriding the determination of the Patent Office that the“utility”requirement has bot been met.
Even on the assumption that the process would be patentable were respondent to show that the steroid produced had a tumor-inhibiting effect in mice, we would not overrule the Patent Office finding that respondent has not made such a showing. The Patent Office held that, despite the reference to the adjacent homologue, respondent's papers did not disclose a sufficient likelihood that the steroid yielded by his process would have similar tumor-inhibiting characteristics. Indeed, respondent himself recognized that the presumption that adjacent homologues have the same utility has been challenged in the steroid field because of“a greater known unpredictability of compounds in that field.”In these circumstances and in this technical area, we would not overturn the finding of the Primary Examiner, affirmed by the Board of Appeals and not challenged by the CCPA.
The second and third points of respondent's argument present issues of much importance. Is a chemical process“useful”within the meaning of § 101 either (1)because it works – i.e. , produces the intended product? or (2) because the compound yielded belongs to a class of compounds now the subject of serious scientific investigation? These contentions present the basic problem for our adjudication. Since we find no specific assistance in the legislative materials underlying § 101, we are remitted to an analysis of the problem in light of the general intent of Congress, the purpose of the patent system, and the implication of a decision one way or the other.
In support of his plea that we attenuate the requirement of“utility,”respondent relies upon Justice Story's well-known statement that“useful”invention is one“which may be applied to a beneficial use in society, in contradistinction to an invention injurious to the morals, health, or good order of society, or frivolous and insignificant”– and upon the assertion that to do so would encourage inventors of new process to publicize the event for the benefit of the entire scientific community, thus widening the search for uses and increasing the fund of scientific knowledge. Justice Story's language sheds little light on our subject. Narrowly read, it does not more than compel us to decide whether the invention in question is“frivolous and insignificant”– a query no easier of application than the one built into the statute. Read more broadly, so as to allow the patenting of any invention not positively harmful to society, it places such a special meaning on the word“useful”that we cannot accept it in the absence of evidence that Congress so intended. There are, after all, many things in this world which may not be considered“useful”but which, nevertheless are totally without a capacity for harm.
It is true, of course, that one of the purposes of the patent system is to encourage dissemination of information concerning discoveries and inventions. And it may be that inability to patent a process to some extent discourages disclosure and leads to greater secrecy than would otherwise be the case. The inventor of the process, or the corporate organization by which he is employed, has some incentive to keep the invention secret while uses for the product are searched out. However, in light of the highly developed art of drafting patent claims so that they disclose as little useful information as possible – while broadening the scope of the claim as widely as possible – the argument based upon the virtue of disclosure must be warily evaluated. Moreover, the pressure for secrecy is easily exaggerated, for if the inventor of a process cannot himself ascertain a“use”for that which his process yields, he has every incentive to make his invention known to those able to do so. Finally, how likely is disclosure of a patented process to spur research by others into the uses to which the product may be put? To the extent that the patentee has power to enforce his patent, there is little incentive for others to undertake a search for uses.
Whatever weight is attached to the value of encouraging disclosure and of inhibiting secrecy, we believe a more compelling consideration is that a process patent in the chemical field, which has not been developed and pointed to the degree of specific utility, creates a monopoly of knowledge which should be granted only if clearly commanded by the statute. Until the process claim has been reduced to production of a product shown to be useful, the metes and bounds of that monopoly are not capable of precise delineation. It may engross a vast, unknown, and perhaps unknowable area. Such a patent may confer power to block off whole areas of scientific development, without compensating benefit to the public. The basic quid pro quo contemplated by the Constitution and the Congress for granting a patent monopoly is the benefit derived by the public from an invention with substantial utility. Unless and until a process is refined and developed to this point– where specific benefit exists in currently available form – there is insufficient justification for permitting an applicant to engross what may prove to be a broad field.
These arguments for and against the patentability of a process which either has no known use or is useful only in the sense that it may be an object of scientific research would apply equally to the patenting of the product produced by the process. Respondent appears to concede that with respect to a product, as opposed to a process, Congress has struck the balance on the side of nonpatentability unless“utility”is shown. Indeed, the decisions of the CCPA are in accord with the view that a product may not be patented absent a showing of utility greater than any adduced in the present case. We find absolutely no warrant for the proposition that although Congress intended that no patent be granted on a chemical compound whose sole“utility”consists of its potential role as an object of usetesting, a different set of rules was meant to apply to the process which yielded the unpatentable product. That proposition seems to us little more than an attempt to evade the impact of the rules which concededly govern patentability of the product itself.
This is not to say that we mean to disparage the importance of contributions to the fund of scientific information short of the invention of something“useful,”or that we are blind to the prospect that what now seems without“use”may tomorrow command the grateful attention of the public. But a patent is not a hunting license. It is not a reward for the search, but compensation for its successful conclusion.“[A] patent system must be related to the world of commerce rather than to the realm of philosophy.”
Mr. Justice Harlan, concurring in part and dissenting in part.
I cannot agree with [the Court's] resolution of the important question of patentability.
Respondent has contended that a workable chemical process, which is both new and sufficiently nonobvious to satisfy the patent statute, is by its existence alone a contribution to chemistry and“useful”as the statute employs that term. Certainly this reading of“useful”in the statute is within the scope of the constitutional grant, which states only that“[t]o promote the Progress of Science and useful Arts,”the exclusive right to“Writings and Discoveries”may be secured for limited time to those who produce them. Yet the patent statute is somewhat differently worded and is on its face open both to respondent's construction and to the contrary reading given it by the Court. In the absence of legislative history on this issue, we are thrown back on policy and practice. Because I believe that the Court's policy arguments are not convincing and that past practice favors the respondent, I would reject the narrow definition of“useful”and uphold the judgment of the Court of Customs and Patent Appeals (hereafter CCPA).
The Court's opinion sets out about half a dozen reasons in support of its interpretation. Several of these arguments seem to me to have almost no force. For instance, it is suggested that“[u]ntil the process claim has been reduced to production of a product shown to be useful, the metes and bounds of that monopoly are not capable of precise delineation”and“[i]t may engross a vast, unknown, and perhaps unknowable area.”I fail to see the relevance of these assertions; process claims are not disallowed because the products they produce may be of“vast”importance nor, in any event, does advance knowledge of a specific product use provide much safeguard on this score or fix“metes and bounds”precisely since a hundred more uses may be found after a patent is granted and greatly enhance its value.
The further argument that an established product use is part of“[t]he basic quid pro quo ”for the patent or is the requisite“successful conclusion”of the inventor's research appears to beg the very question whether the process is“useful”simply because it facilitates further research into possible product uses. The same infirmity seems to inhere in the Court's argument that chemical products lacking immediate utility cannot be distinguished for present purposes from the processes which create them, that respondent appears to concede and the CCPA holds that the products are nonpatentable, and that therefore the processes are nonpatentable. Assuming that the two classes cannot be distinguished, a point not adequately considered in the briefs, and assuming further that the CCPA has firmly held such products nonpatentable, this permits us to conclude only that the CCPA is wrong either as to the products or as to the processes and affords no basis for deciding whether both or neither should be patentable absent a specific product use.
More to the point, I think, are the Court's remaining, prudential arguments against patentability: namely, that disclosure induced by allowing a patent is partly undercut by patent-application drafting techniques, that disclosure may occur without granting a patent, and that a patent will discourage others from inventing uses for the product. How far opaque drafting may lessen the public benefits resulting from the issuance of a patent is not shown by any evidence in this case but, more important, the argument operates against all patents and gives no reason for singling out the class involved here. The thought that these inventions may be more likely than most to be disclosed even if patents are not allowed may have more force; but while empirical study of the industry might reveal that chemical researchers would behave in this fashion, the abstractly logical choice for them seems to me to maintain secrecy until a product use can be discovered. As to discouraging the search by others for product uses, there is no doubt this risk exists but the price paid for any patent is that research on other uses or improvements may be hampered because the original patentee will reap much of the reward. From the standpoint of the public interest the Constitution seems to have resolved that choice in favor of patentability.
What I find most troubling about the result reached by the Court is the impact it may have on chemical research. Chemistry is a highly interrelated field and a tangible benefit for society may be the outcome of a number of different discoveries, one discovery building upon the next. To encourage one chemist or research facility to invent and disseminate new processes and products may be vital to progress, although the product or process be without“utility”as the Court defines the term, because that discovery permits someone else to take a further but perhaps less difficult step leading to a commercially useful item. In my view, our awareness in this age of the importance of achieving and publicizing basic research should lead this Court to resolve uncertainties in its favor and uphold the respondent's position in this case.
This position is strengthened, I think, by what appears to have been the practice of the Patent Office during most of this century. While available proof is not conclusive, the commentators seem to be in agreement that until Bremner in 1950, chemical patent applications were commonly granted although no resulting end use was stated or the statement was in extremely broad terms. Taking this to be true, Bremner represented a deviation from established practice which the CCPA has now sought to remedy in part only to find that the Patent Office does not want to return to the beaten track. If usefulness was typically regarded as inherent during a long and prolific period of chemical research and development in this country, surely this is added reason why the Court's result should not be adopted until Congress expressly mandates it, presumably on the basis of empirical data which this Court does not possess.
Fully recognizing that there is ample room for disagreement on this problem when, as here, it is reviewed in the abstract, I believe the decision below should be affirmed.
1. The usefulness of chemical processes is usually hard to define, and for the most part, ought to be determined by expert witness' testimony to be conducted at trial level. It should not be very recommendable for a reviewing court to take highly sophisticated technical issues of facts in its own hand. If in doubt, as in Manson , the court ought to remand the case to lower courts to make further findings of facts, rather than making determination based on personal knowledge. Some judges may be highly knowledgeable about scientific issues, but that's particularly dangerous. Why is this so?
2. Each individual scientist (or person having special knowledge about a particular art) tends to be strongly opinionated with a particular technical problem, and each, of course, is entitled to his own“better”solutions. That's called improvement, and that's precisely what is meant by“Progress of ... useful Arts”as each scientist comes up with his own improvement over the prior art. Sometime, the invention may not seem to be precisely“better”in one aspect or another than the previous art. For example, a new product or method may work less quickly than the prior art, but it may be cheaper, which is by all means not a significant improvement (maybe to some, not improvement at all). But who are we to judge its value in term of usefulness, particularly the market value, which even an economist may not be able to fully predict, let alone at the point of the early stage of patentability examination?
3. Brenner v. Manson is seen by some commentators as the“high watermark”for the Court's utility inquiry. Since then the judicial activism receded.
PLAGER, CIRCUIT JUDGE.
Miguel F. Brana, et al. (applicants), appeal the March 19,1993 decision of the United States Patent and Trademark Office (PTO) Board of Patent Appeals and Interferences (Board). The Board affirmed the examiner's rejection of claims 10~13 of patent application Serial No.533,944 under 35 U.S.C.§ 112 ?1 (1988). The examiner's rejection, upon which the Board relied in rendering its decision, was based specifically on a challenge to the utility of the claimed compounds and the amount of experimentation necessary to use the compounds. We conclude the Board erred, and reverse.
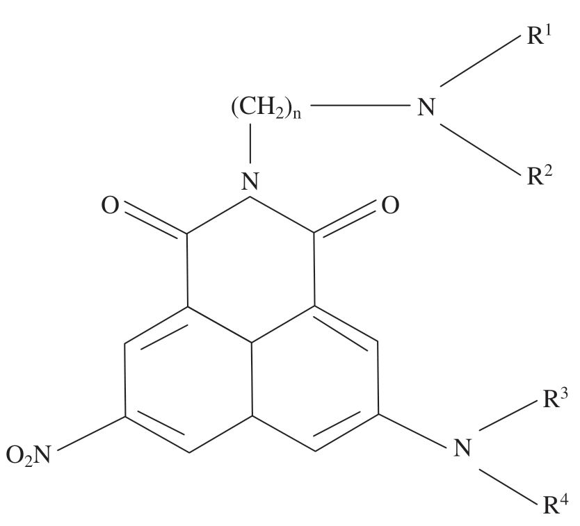
On June 30,1988, applicants filed patent application Serial No.213,690 (the’690 application) directed to 5-nitrobenzodeisoquinoline-1,3-dione compounds, for use as antitumor substances, having the following formula:
where n is 1 or 2, R1 and R2 are identical or different and are each hydrogen, C sub1-C sub6-alkyl, C sub1-C sub6-hydroxyalkyl, pyrrolidinyl, morpholino, piperidinyl or piperacinyl, and R3 and R4 are identical or different and are each hydrogen, C sub6-alkyl, C sub1-C sub6-acyl, C sub2-C sub7 – alkoxycarbonyl, ureyl, aminocarbonyl or C sub2-C sub7-alkylaminocarbonyl. These claimed compounds differ from several prior art benzodeisoquinoline-1,3-dione compounds due to the presence of a nitro group (O 2 N) at the 5-position and an amino or other amino group (NR3R4) at the 8-position of the isoquinoline ring.
The specification states that these non-symmetrical substitutions at the 5-and 8-positions produce compounds with“a better action and a better action spectrum as antitumor substances”than known benzo[de]isoquinolines, namely those in K. D. Paull et al. Paull describes a computer-assisted evaluation of benzo[de]isoquinoline-1,3-diones and related compounds which have been screened for antitumor activity by testing their efficacy in vivo against two specific implanted murine ( i.e. , utilizing mice as test subjects) lymphocytic leukemias. These two in vivo tests are widely used by the National Cancer Institute (NCI) to measure the antitumor properties of a compound. Paull noted that one compound in particular, benzo[de]isoquinoline-1,3 (2H)dione,5-amino-2 (2-dimethyl-aminoethyl [ sic ] (hereinafter“NSC 308847”), was found to show excellent activity against these two specific tumor models. Based on their analysis, compound NSC 308847 was selected for further studies by NCI. In addition to comparing the effectiveness of the claimed compounds with structurally similar compounds in Paull, applicants'patent specification illustrates the cytotoxicity of the claimed compounds against human tumor cells, in vitro , and concludes that these tests“had a good action.”
The examiner initially rejected applicants' claims in the'690 application as obvious under 35 U.S.C.§ 103 in light of U.S. Patent No.4,614,820, issued to and referred to hereafter as Zee-Cheng et al. Zee-Cheng et al. discloses a benzo[de]isoquinoline compound for use as an antitumor agent with symmetrical substitutions on the 5-position and 8-position of the quinoline ring; in both positions the substitution was either an amino or nitro group. Although not identical to the applicants' claimed compounds, the examiner noted the similar substitution pattern ( i.e. , at the same positions on the isoquinoline ring) and concluded that a mixed substitution of the invention therefore would have been obvious in view of Zee-Cheng et al.
In a response dated July 14,1989, the applicants rebutted the § 103 rejection. Applicants asserted that their mixed disubstituted compounds substituted compounds in Zee-Cheng et al. In support of this assertion applicants attached the declaration of Dr. Gerhard Keilhauer. In his declaration Dr. Keilhauer reported that his tests indicated that applicants' claimed compounds were far more effective as antitumor agents than the compounds disclosed in Zee-Cheng et al. when tested, in vitro, against two specific types of human tumor cells, HEp and HCT-29. Applicants further noted that, although the differences between the compounds in Zee-Cheng et al. and applicants' claimed compounds were slight, there was no suggestion in the art that these improved results (over Zee-Cheng et al.) would have been expected. Although the applicants overcame the § 103 rejection, the examiner nevertheless issued a final rejection, on different grounds, on September 5,1989.
On June 4,1990, applicants filed a continuation application, Serial No.533,944 (the'944 application), from the above-mentioned'690 application. Claims 10~13, the only claims remaining in the continuation application, were rejected in a final office action dated May 1,1991. Applicants appealed the examiner's final rejection to the Board.
In his answer to the applicants' appeal brief, the examiner stated that the final rejection was based on 35 U.S.C.§ 112 ¶ 1. The examiner first noted that the specification failed to describe any specific disease against which the claimed compounds were active. Furthermore, the examiner concluded that the prior art tests performed in Paull and the tests disclosed in the specification were not sufficient to establish a reasonable expectation that the claimed compounds had a practical utility ( i.e. , antitumor activity in humans).
In a decision dated March 19,1993, the Board affirmed the examiner's final rejection. The three-page opinion, which lacked any additional analysis, relied entirely on the examiner's reasoning. Although noting that it also would have been proper for the examiner to reject the claims under 35 U.S.C.§ 101, the Board affirmed solely on the basis of the Examiner's § 112 ¶ 1 rejection. This appeal followed.
At issue in this case is an important question of the legal constraints on patent office examination practice and policy. The question is, with regard to pharmaceutical inventions, what must the applicant prove regarding the practical utility or usefulness of the invention for which patent protection is sought. This is not a new issue; it is one which we would have thought had been settled by case law years ago. We note the Commissioner has recently addressed this question in the Examiner Guidelines for Biotech Applications, see 60 Fed. Reg.97 (1995); 49 Pat. Trademark & Copyright J. (BNA) No.1210, at 234 (Jan.5,1995).
The requirement that an invention have utility is found in 35 U.S.C.§ 101: “Whoever invents ... any new and useful ...composition of matter ... may obtain a patent therefor....”(emphasis added). It is also implicit in § 112 ¶ 1, which reads: The specification shall contain a written description of the invention, and of the manner and process of making and using it, in such full, clear, concise, and exact terms as to enable any person skilled in the art to which it pertains, or with which it is most nearly connected, to make and use the same, and shall set forth the best mode contemplated by the inventor of carrying out his invention. Obviously, if a claimed invention does not have utility, the specification cannot enable one to use it.
As noted, although the examiner and the Board both mentioned § 101, and the rejection appears to be based on the issue of whether the compounds had a practical utility, a § 101 issue, the rejection according to the Board stands on the requirements of § 112 ¶1. It is to that provision that we address ourselves. [1] The Board gives two reasons for the rejections; we will consider these in turn.
1.
The first basis for the Board's decision was that the applicants' specification failed to disclose a specific disease against which the claimed compounds are useful, and therefore, absent undue experimentation, one of ordinary skill in the art was precluded from using the invention. In support, the Commissioner argues that the disclosed uses in the'944 application, namely the“treatment of diseases”and“antitumor substances,”are similar to the nebulous disclosure found insufficient in In re Kirk ,376 F.2d 936,153 (CCPA 1967). This argument is not without merit.
In Kirk applicants claimed a new class of steroid compounds. One of the alleged utilities disclosed in the specification was that these compounds possessed“high biological activity.”The specification, however, failed to disclose which biological properties made the compounds useful. Moreover, the court found that known specific uses of similar compounds did not cure this defect since there was no disclosure in the specification that the properties of the claimed compounds were the same as those of the known similar compounds. Furthermore, it was not alleged that one of skill in the art would have known of any specific uses, and therefore the court concluded this alleged use was too obscure to enable one of skill in the art to use the claimed invention.
Kirk would potentially be dispositive of this case were the above-mentioned language the only assertion of utility found in the'944 application. Applicants'specification, however, also states that the claimed compounds have“a better action and a better action spectrum as antitumor substances”than known compounds, specifically those analyzed in Paull. As previously noted, Paull grouped various benzo[de]isoquinoline-1,3-diones, which had previously been tested in vivo for antitumor activity against two lymphocytic leukemia tumor models, into various structural classifications and analyzed the test results of the groups ( i.e. , what percent of the compounds in the particular group showed success against the tumor models). Since one of the tested compounds, NSC 308847, was found to be highly effective against these two lymphocytic leukemia tumor models, applicants' favorable comparison implicitly asserts that their claimed compounds are highly effective ( i.e. , useful) against lymphocytic leukemia. An alleged use against this particular type of cancer is much more specific than the vaguely intimated uses rejected by the courts in Kirk and Kawai .
The Commissioner contends, however, that P388 and L1210 are not diseases since the only way an animal can get sick from P388 is by a direct injection of the cell line. The Commissioner therefore concludes that applicants' reference to Paull in their specification does not provide a specific disease against which the claimed compounds can be used. We disagree.
As applicants point out, the P388 and L1210 cell lines, though technically labeled tumor models, were originally derived from lymphocytic leukemias in mice. Therefore, the P388 and L1210 cell lines do represent actual specific lymphocytic tumors; these models will produce this particular disease once implanted in mice. If applicants were required to wait until an animal naturally developed this specific tumor before testing the effectiveness of a compound against the tumor in vivo , as would be implied from the Commissioner's argument, there would be no effective way to test compounds in vivo on a large scale.
We conclude that these tumor models represent a specific disease against which the claimed compounds are alleged to be effective. Accordingly, in light of the explicit reference to Paull, applicants' specification alleges a sufficiently specific use.
2.
The second basis for the Board's rejection was that, even if the specification did allege a specific use, applicants failed to prove that the claimed compounds are useful. Citing various references, the Board found, and the Commissioner now argues, that the tests offered by the applicants to prove utility were inadequate to convince one of ordinary skill in the art that the claimed compounds are useful as antitumor agents.
This court's predecessor has stated:
[A] specification disclosure which contains a teaching of the manner and process of making and using the invention in terms which correspond in scope to those used in describing and defining the subject matter sought to be patented must be taken as in compliance with the enabling requirement of the first paragraph of § 112 unless there is reason to doubt the objective truth of the statements contained therein which must be relied on for enabling support. In re Marzocchi (CCPA,1971).
From this it follows that the PTO has the initial burden of challenging a presumptively correct assertion of utility in the disclosure. Only after the PTO provides evidence showing that one of ordinary skill in the art would reasonably doubt the asserted utility does the burden shift to the applicant to provide rebuttal evidence sufficient to convince such a person of the invention's asserted utility.
The PTO has not met this initial burden. The references cited by the Board, Pazdur and Martin, do not question the usefulness of any compound as an antitumor agent or provide any other evidence to cause one of skill in the art to question the asserted utility of applicants' compounds. Rather, these references merely discuss the therapeutic predicative value of in vivo murine tests – relevant only if applicants must prove the ultimate value in humans of their asserted utility. Likewise, we do not find that the nature of applicants' invention alone would cause one of skill in the art to reasonably doubt the asserted usefulness.
The purpose of treating cancer with chemical compounds does not suggest an inherently unbelievable undertaking or involve implausible scientific principles. Modern science has previously identified numerous successful chemotherapeutic agents. In addition, the prior art, specifically Zee Cheng et al., discloses structurally similar compounds to those claimed by the applicants which have been proven in vivo to be effective as chemotherapeutic agents against various tumor models.
Taking these facts – the nature of the invention and the PTO's proffered evidence – into consideration we conclude that one skilled in the art would be without basis to reasonably doubt applicants' asserted utility on its face. The PTO thus has not satisfied its initial burden.
We do not rest our decision there, however. Even if one skilled in the art would have reasonably questioned the asserted utility, i.e. , even if the PTO met its initial burden thereby shifting the burden to the applicants to offer rebuttal evidence, applicants proffered sufficient evidence to convince one of skill in the art of the asserted utility. In particular, applicants provided through Dr. Kluge's declaration test results showing that several compounds within the scope of the claims exhibited significant antitumor activity against the L1210 standard tumor model in vivo . Such evidence alone should have been sufficient to satisfy applicants' burden.
The prior art further supports the conclusion that one skilled in the art would be convinced of the applicants' asserted utility. As previously mentioned, prior art – Zee Cheng et al. and Paull – disclosed structurally similar compounds which were proven in vivo against various tumor models to be effective as chemotherapeutic agents. Although it is true that minor changes in chemical compounds can radically alter their effective on the human body, evidence of success in structurally similar compounds is relevant in determining whether one skilled in the art would believe an asserted utility.
The Commissioner counters that such in vivo tests in animals are only preclinical tests to determine whether a compound is suitable for processing in the second stage of testing, by which he apparently means in vivo testing in humans, and therefore are not reasonably predictive of the success of the claimed compounds for treating cancer in humans. The Commissioner, as did the Board, confuses the requirements under the law for obtaining a patent with the requirements for obtaining government approval to market a particular drug for human consumption. See Scott v. Finney ,34 F.3d 1058,1063 (Fed. Cir.1994) (“Testing for the full safety and effectiveness of a prosthetic device is more properly left to the Food and Drug Administration (FDA)). Title 35 does not demand that such human testing occur within the confines of Patent and Trademark Office (PTO) proceedings.”)
Our court's predecessor has determined that proof of an alleged pharmaceutical property for a compound by statistically significant tests with standard experimental animals is sufficient to establish utility. In concluding that similar in vivo tests were adequate proof of utility the court in In re Krimmel stated: We hold as we do because it is our firm conviction that one who has taught the public that a compound exhibits some desirable pharmaceutical property in a standard experimental animal has made a significant and useful contribution to the art even though it may eventually appear that the compound is without value in the treatment in humans. Moreover, NCI apparently believes these tests are statistically significant because it has explicitly recognized both the P388 and L1210 murine tumor models as standard screening tests for determining whether new compounds may be useful as antitumor agents.
In the context of this case the Martin and Pazdur references, on which the Commissioner relies, do not convince us otherwise. Pazdur only questions the reliability of the screening tests against lung cancer; it says nothing regarding other types of tumors. Although the Martin reference does note that some laboratory oncologists are skeptical about the predictive value of in vivo murine tumor models for human therapy, Martin recognizes that these tumor models continue to contribute to an increasing human cure rate. In fact, the authors conclude that this perception ( i.e. , lack of predictive reliability) is not tenable in light of present information.
On the basis of animal studies, and controlled testing in a limited number of humans (referred to as Phase I testing), the Food and Drug Administration may authorize Phase II clinical studies. See 21 U.S.C.§ 355 (i) (1); 21 C. F. R.§ 312.23 (a) (5), (a) (8) (1994). Authorization for a Phase II study means that the drug may be administered to a larger number of humans, but still under strictly supervised conditions. The purpose of the Phase II study is to determine primarily the safety of the drug when administered to a larger human population, as well as its potential efficacy under different dosage regimes.
FDA approval, however, is not a prerequisite for finding a compound useful within the meaning of the patent laws. Usefulness in patent law, and in particular in the context of pharmaceutical inventions, necessarily includes the expectation of further research and development. The stage at which an invention in this field becomes useful is well before it is ready to be administered to humans. Were we to require Phase II testing in order to prove utility, the associated costs would prevent many companies from obtaining patent protection on promising new inventions, thereby eliminating an incentive to pursue, through research and development, potential cures in many crucial areas such as the treatment of cancer.
In view of all the foregoing, we conclude that applicants' disclosure complies with the requirements of 35 U.S.C.§ 112 ¶1.
1. It should be borne in mind that medical science is never, and perhaps never can be, an art of precision. Most drugs, if not all, have side effects, to say the least, while many may have limited effects on the intended target of disease. This is easy to understand: each symptom on a particular patient is unique under different circumstances. There is no such thing as the“ultimate”cure of a disease, and better treatment continue to develop in the medical science as we know our bodies better, and the medical science better.
2. The usefulness of a drug invention is different from the effect of an actual drug sold on the market and prescribed by doctors to their patients. This is so especially when in the invention is in the form of chemical compositions or compounds. Some people consider it to be at“too early”a stage for filing patent applications when the specific usefulness is still being explored. This might be true in mechanical inventions, where a simple abstract idea is formed without a physical prototype, as was suggested in the English case of Neilson v. Harford in the English Court of Exchequer involving the invention of a blasting apparatus that blows hot air into a furnace or forge, thereby increasing the temperature inside. The court there indicated that the patent, on the first thoughts, seemed to hinge on the idea that“hot air burns better than cold”which is a clever discovery of a principle of natural law, and therefore not capable of exclusive appropriation, but then it realized that the invention was not on the principle itself, but an application employing that specific principle embodied in a mechanical apparatus, which is patentable. (This case was extensively discussed in O'Reily v. Morse , and in Ariad v. Ely Lilly & Co. ).
3. For medical science and research, the usefulness of a chemical compound is usually developed over a long period of time, with enduring experimentation and clinical tests, sometimes for years, before its actual effect may be determined and becomes ready for FDA approval. In this process, the idea of the invention, with investment of millions, may be easily disclosed, and copied at a cost of a few pennies per pill.