



地基土内各点除了承受土自重引起的自重应力外,在建筑物基底附加压力作用下,还要承受附加应力。在附加应力的作用下,地基土要产生附加的变形,这种变形一般包括体积变形和形状变形。对于土来说,体积变形通常表现为体积缩小。把这种在外力作用下土体积缩小的特性称为土的压缩性。
土是固相、液相和气相组成的三相体系。土的压缩主要包括以下3个方面:
①土颗粒发生相对位移,土中水和气体从孔隙中被挤出,从而使土孔隙体积减小。
②固体土颗粒本身被压缩。
③土空隙中水及封闭气体被压缩。
土的压缩性主要有以下两个特点:
①土的压缩主要是由孔隙体积减小而引起的。对饱和土,土是由固体颗粒和水组成的,在工程上一般的压力(100~600kPa)作用下,固体颗粒和水本身的体积压缩量非常微小,可不予考虑。而土中水具有流动性,在外力作用下会沿着土中孔隙排出,从而引起土体积减小而发生压缩。土的压缩变形主要是由土中孔隙体积的减小而造成的。
②由孔隙水的排出而引起的压缩对于饱和黏性土来说是需要时间的。土的压缩随时间增长的过程称为土的固结。黏性土的透水性很差,土中水沿着孔隙排出速度很慢。
在建筑物荷载作用下,地基土主要由压缩而引起的竖直方向的位移称为沉降,本项目研究地基土的压缩性,主要是为了计算这种变形。
土的压缩性的两个特点,导致研究建筑物地基沉降包含两个方面的内容:一是绝对沉降量的大小,即最终沉降;二是沉降与时间的关系。研究受力变形特性必须有压缩性指标,下面仅介绍土的室内侧限压缩试验及相应的指标,这些指标将用于地基的沉降计算中。
室内侧限压缩试验(又称固结试验)采用的试验设备为固结仪,如图3.2所示。其中,金属环刀用来切取土样,金属环刀及刚性护环的限制,使得土样在竖向压力作用下只能发生竖向变形,无侧向变形。
图3.2 固结仪示意图
试验时,用环刀切取钻探取得的保持天然结构的原状土样。由于地基沉降主要与土竖直方向的压缩性有关,且土是各向异性的,所以切土方向还应与土天然状态时的垂直方向一致。常规压缩试验的加载等级 p 为50,100,200,300,400kPa,每一级荷载要求恒压24h或当在1h内的压缩量不超过0.005mm时,认为变形已经稳定,并测定稳定时的总压缩量 h 0 ,这种试验方法称为慢速压缩试验法。在实际工程中,为减少室内试验的工作量,常采用快速压缩试验法,这种方法不要求达到变形稳定,每级荷载只恒压1~2h,测定其压缩量,只是在最后一级荷载下才压缩24h,试验结果需经校正才能用于沉降计算。试验过程中的两个基本条件为受压前后土粒体积不变和土样横截面面积不变。
如图3.3所示,设土样的初始高度为 h 0 ,受压后的高度为 h , s 为外压力作用下土样压缩至稳定的变形量,则 h 0 = h - s 。
图3.3 压缩土样孔隙变化图
土颗粒的压缩量是微小的,忽略不计,压力施加前后土粒体积不变,假设 V s = 1,根据土的孔隙比的定义,则受压前后土孔隙体积分别为 V s e 0 和 V s e ( e 0 为土的初始孔隙比、 e 为受压后土的孔隙比)。
土样横截面积 A 不变,则压缩前后土样的体积分别为
受压前:
受压后:
两式相比,且 h 0 = h - s ,则可得
或
只要测定了土样在各级压力 p i 作用下的稳定变形量 s i 后,就可按式(3.2)算出孔隙比,然后以横坐标表示压力 p ,纵坐标表示孔隙比 e ,则可得出 e-p 曲线,称为压缩曲线(图3.4)。
绘制压缩曲线一般采用两种方法:一种是普通直角坐标系绘制的 e-p 曲线[图3.4(a)],在常规试验中,一般按 p = 50kPa,100kPa,200kPa,300kPa,400kPa五级加荷;另一种的横坐标则按 p 的常对数取值,即釆用半对数直角坐标绘制的 e -lg p 曲线[图3.4(b)],试验时以较小的压力开始,釆取小增量多级加载,并加大到较大的荷载(如1 000kPa)为止。
·压缩系数 a
e-p 曲线初始较陡,土的压缩量较大,而后曲线逐渐平缓,土的压缩量也随之减小。这是因为随着孔隙比的减小,土的密实度增加一定程度后,土粒移动越来越趋于困难,压缩量也减小的缘故。不同的土类,压缩曲线的形态有别,密实砂土的 e-p 曲线比较平缓,而软黏土的 e-p 曲线较陡,土的压缩性高。曲线上任一点的切线斜率 a 表示了相应压力 p 作用下的压缩性,即
图3.4 土的压缩曲线
式中: a ——土的压缩系数,kPa -1 或MPa -1 ;
p 1 ——一般指地基某深度处土中竖向自重应力,kPa;
p 2 ——地基某深度处自重应力与附加应力之和,kPa;
e 1 ——相应于 p 1 作用下压缩稳定后土的孔隙比;
e 2 ——相应于 p 2 作用下压缩稳定后土的孔隙比。
式中负号表示随着压力 p 的增加, e 逐渐减少。
压缩系数越大,土的压缩性越高,不同类别、不同状态的土,其压缩性可能相差较大。对于同一种土而言,压缩系数也并非常数,在不同的压力段,压缩系数值也不同,随着压力增加,压缩系数 a 值将减小。为了统一标准,在工程实践中,地基土的压缩性通常采用 p 1 = 100kPa和 p 2 = 200kPa时,相对应的压缩系数值 a 1-2 作为评价土体压缩性的标准。
①当 a 1-2 <0.1MPa -1 时,为低压缩性土。
②当0.1MPa -1 ≤ a 1-2 <0.5MPa -1 时,为中压缩性土。
③当 a 1-2 ≥0.5MPa -1 时,为高压缩性土。
·压缩指数 C C
如果采用 e -lg p 曲线,如图3.4(b)所示,当压力较大时, e -lg p 曲线后段接近直线,直线段的斜率用 C C 来表示,称为压缩指数,即
压缩指数 C C 与压缩系数都可以用来评价土的压缩性。 C C 值越大,土的压缩性越高,通常认为: C C <0.2时,为低压缩性土;0.2≤ C C ≤0.4时,为中压缩性土; C C >0.4时,为高压缩性土。
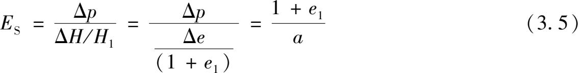
·压缩模量 E S
土在完全侧限的条件下竖向应力增量 σ Z 与相应的应变增量 ε Z 的比值,称为压缩模量 E S ,根据定义可推导出其表达式为
压缩模量 E S 不是常数,而是随着压力大小而变化的,单位为kPa或MPa。通过表达式可知,压缩模量 E S 与压缩系数成反比,压缩模量 E S 越小,压缩系数越大,土体压缩性越高;反之,土体压缩性越低。用压缩模量来衡量土的压缩性高低时,一般认为:
①当 E S <4MPa时,为高压缩性土。
②当4MPa≤ E S ≤15MPa时,为中压缩性土。
③当 E S >15MPa时,为低压缩性土。
压缩模量与一般材料的弹性模量的区别在于:
①土在压缩试验时,只有竖向变形,没有侧向膨胀。
②土的变形包括弹性变形和相当部分的不可恢复的残余变形,即土不是弹性体。
在进行室内试验过程中,当土压力加到某一数值 p i (图3.5 b 点)后,逐渐卸压,土样将发生回弹,土体膨胀,孔隙比增大,若测得回弹稳定后的孔隙比,则可绘制相应的孔隙比与压力的关系曲线(图3.5 c 点),这种曲线称为回弹曲线。
由图3.5可知,卸压后的回弹曲线 bc 并不沿压缩曲线 ab 回升,而要平缓得多,这说明土受压缩发生变形,不能恢复的变形称为残余变形,而土的压缩变形以残余变形为主。
若再重新逐级加压,则可测得土的再压缩曲线如图3.5中 cdf 段所示,其中 df 段就像是 ab 段的延续,犹如没有经过卸压和再加压过程中一样。土在重复荷载作用下,加压与卸压的每一重复循环中都将走新的路线,形成新的滞回环。其中的弹性变形与残余变形的数值逐渐减小,残余变形减小得更快,土重复次数足够多,变形为纯弹性,土体达到弹性压密状态。在半对数曲线中也同样可以看到这种现象。
除室内压缩试验测定压缩性指标外,还可以通过现场载荷试验(图3.6)取得。通过载荷试验测得地基沉降与压力之间的比例关系,用弹性力学公式反算变形模量。
图3.5 土的回弹曲线及再压缩曲线
图3.6 现场载荷试验图
试验装置一般由加荷稳压装置、反力装置及观测装置3个部分组成(图3.7)。
图3.7 现场载荷试验载荷示例
载荷试验应精细地进行,特别注意保持试验土层的原状结构和天然湿度。载荷板范围地面禁止踩踏,不得在表面反复刮、抹。宜用10~20mm的粗、中砂找平。加荷等级不少于8级。最大荷载应加至最大设计荷载的1.5~2倍。每加一级荷载后,按间隔10,10,10,15,15min读记载荷板沉降一次。以后每半小时读记一次,当连续2h内,每小时的沉降不大于0.1mm时,即可加下一级荷载。试验结果应绘制成 p-s 曲线和 s-t (时间)曲线,如图3.8所示。
图3.8 载荷试验成果
土体在无侧限条件下的应力与应变的比值,称为变形模量 E 0 。在 p-s 曲线的直线段或接近于直线段任选一压力 p 1 与对应的沉降 s 1 ,利用弹性力学公式反求出地基的变形模量,其表达式为
p-s 曲线不出现直线段时,建议取适当的 s 1 及相应的 p 1 代入上式计算 E 0 。
对中、高压缩性土取 s 1 = 0.02 b ;对低压缩性粉土、黏性土、碎石土及砂土,可取 s 1 =(0.01~0.015) b 。
变形模量 E 0 与材料力学中的杨氏弹性模量意义相似,仅因土的变形中有部分为不可恢复的塑性变形,故称为总变形模量。变形模量 E 0 与压缩模量 E s 之间的关系为
式中, μ 为地基土的泊松比,根据统计资料, E 0 值可能是 βE s 值的几倍,一般来说,土越坚硬则倍数越大,而软土的 E 0 值与 βE S 值比较接近。
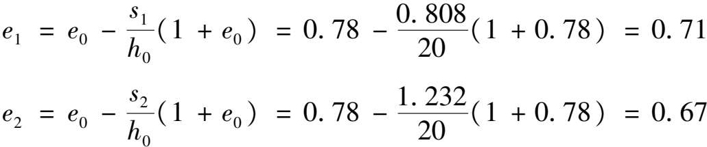
例 3.1已知某原状土样高 h 0 = 20mm,截面积 A = 30cm 2 ,重度 γ = 19.1kN/m 3 ,颗粒比重 G s = 2.72,含水量 ω = 25%,进行压缩试验,试验结果见表3.1,求土的压缩系数 a 1-2 值,并判断土的压缩性大小。
表3.1 土的压缩试验结果
解: 由题意可得 γ = 19kN/m 3 , G s = 2.70, ω = 25%, h 0 = 20mm, p 1 = 100kPa时 s 1 =0.808, p 2 = 200kPa时 s 2 = 1.232,则可求得试样的初始孔隙比
由
e
=
-
(1 +
)可以求得荷载为100kPa,200kPa对应的孔隙比
,
分别为
由压缩系数
a
= tan
得
由0.1 <- 1-2 = 0.4MPa -1 <0.5知该土样为中压缩性土。