



建筑物的荷载通过基础传给地基,在基础和地基之间存在着接触压力。其中,基础底面传递到地基表面的压力,称为基底压力(方向向下);地基对基础底面的支承反力,称为基底反力(方向向上)。两者大小相等,方向相反,是作用力与反作用力。计算地基中的附加应力及设计基础时,必须先确定基底压力(或基底反力)的大小和分布。
基底压力的分布涉及上部结构、基础和地基三者共同作用的问题,其规律取决于基础刚度、基础形状及尺寸、埋置深度、基础所受荷载大小及分布、四周超载以及地基土性质等因素。
当基础是柔性的(抗弯刚度 EI →0),基础变形能完全适应地基表面的变形,则基底压力分布与作用在基础上的荷载相似。例如,由土筑成的路堤,可以近似认为它是一种柔性基础,路堤自重引起的基底压力分布与路堤断面形状相同,是梯形分布,如图2.4所示。
图2.4 某地基土层剖面图
若基础刚度很大或为绝对刚性( EI →∞),基底压力分布就不同于上部荷载分布情况。基底受荷后仍保持水平,各点沉降相同,理论上来说,基底压力四周大中间小,如图2.5(a)中虚线所示。试验及测试表明,对刚度较大的基础,基础边缘地基土产生塑性变形后,基底压力重分布,边缘压力向内转移,基底压力分布呈马鞍形,如图2.5(a)中实线所示。随着上部荷载的逐渐增大,基础边缘土中应力很大,会使基础边缘地基土塑性变形区扩大,基底压力将由马鞍形变成拋物线形,如图2.5(b)所示,以致最后呈现为钟形而地基濒于破坏,如图2.5(c)所示。
图2.5 刚性基础下的压力分布图
实际工程中基础的刚度是介于绝对柔性和绝对刚性之间,而具有较大的刚度。因受地基容许承载力的限制,作用在基础上荷载产生的压力一般不会很大,基底压力大多属于马鞍形分布,而且比较接近直线,故工程上常假定基底压力按直线分布,可按材料力学公式计算基底压力,使计算大为简化,满足工程的精度要求。
基底压力简化计算
当基础受轴心荷载作用时,荷载的合力通过基础底面的形心,如图2.6所示。基底压力呈均匀分布,如基础为矩形,此时的基底压力可计算为
式中: p k ——基底压力,kPa;
F k ——相应于作用的标准组合时,上部结构传至基础顶面的竖向力值,kN;
G k ——基础自重和基础上的土重,kN; G k = γ G × A × d , γ G 为基础及回填土的平均重度,一般取20kN/m 3 ,但在地下水位以下部分应扣除浮力,即取 γ G ′= 10kN/m 3 ; d 为基础埋置深度,m,应从室内外平均设计地面算起;
A ——基础底面面积,m 2 ,对矩形基础 A = b × l , l 和 b 分别为矩形基础底面的长和宽。对荷载沿长度方向均匀分布的条形基础,取单位长度进行基底压力计算,此时将公式中的 A 取基础宽度 b (m),而 F k 和 G k 为单位长度基础截面内的相应值(kN/m)。
图2.6 轴心荷载作用下基底反力分布图
对单向偏心荷载作用下的矩形基础,如图2.7所示,一般取基底长边方向与偏心方向一致。此时基底两端最大压力值 p kmax 和最小压力值 p kmin 按材料力学偏心受压公式计算
式中: M k ——相应于作用的标准组合时,作用于基础底面形心的力矩值,kN·m;
W ——基础底面的抵抗矩,m 3 ,对矩形基础, W = bl 2 /6;
p kmax ——相应于作用的标准组合时,基础底面边缘的最大压力值,kPa;
p kmin ——相应于作用的标准组合时,基础底面边缘的最小压力值,kPa。
图2.7 偏心荷载作用下基底反力分布图
将 M k =( F k + G k ) e , W = bl 2 /6, A = b × l 代入式(2.5)得
式中:
e
——偏心距,m,
。
由式(2.6)可知:
①当 e < l /6时, p kmin >0,基底压力呈梯形分布。
②当 e = l /6时, p kmin = 0,基底压力呈三角形分布。
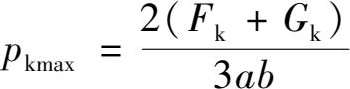
③当 e > l /6时, p kmin <0,表示基础底面与地基之间一部分出现拉应力。此时基底与地基土局部脱开,基底压力重新分布。根据平衡条件,荷载合力必定通过基底三角形压力图形的形心,如图2.8所示。由力的平衡可推导出地基边缘最大压力
图2.8 偏心荷载( e > l /6)下基底压力计算示意图
式中: b ——垂直于力矩作用方向的基础底面边长,m;
a ——合力作用点至基础底面最大压力边缘的距离,m, a = l /2 - e , l 为力矩作用方向基础底面边长。
例 2.2某独立基础,底面尺寸 l × b = 3m × 2m,埋深 d = 2m,如图2.9所示,作用在基础顶面荷载 F k = 1 000kN,力矩 M = 200kN·m,计算基底压力 p kmax , p kmin 。
图2.9 某独立基础剖面图
解: 依题意得 G k = γ G × A × d = 20 × 3 × 2 × 2 = 240(kN)
基础在偏心荷载作用下,
最大基底压力
=
= 273.3(kPa)
最小基底压力
=
= 140(kPa)
建筑物荷载在地基中增加的压力称为附加压力。一般情况下,建筑物建造前天然土层在自重作用下的变形早已结束。只有新增加于基底处的外荷载——基底附加压力才能引起地基的附加应力和变形。
在实际工程中,一般基础都埋置在天然地面以下一定深度处,该处原有的自重应力由于开挖基坑而卸除,因此,由建筑物引起的基底压力应扣除基底标高处的自重应力,才是基底处新增加的附加压力,也称基底净压力,如图2.10所示。其大小可计算为
图2.10 基底附加压力
式中: p 0 ——基础底面的附加压力,kPa;
p k ——基底压力,kPa;
σ cz ——在天然地面以下深度 z 处的竖向自重应力,kPa。
从式(2.7)可知,在相同荷载下,基础埋深越大,或基础自重越小,附加压力就越小。高层建筑常采用深埋的箱形基础或地下室,从而减少基底压力,减少基础沉降。这种做法称为基础的补偿性设计。