购买
下载掌阅APP,畅读海量书库
立即打开
畅读海量书库
扫码下载掌阅APP

1.3 常用电工测量仪表的基本知识

1.3.1 电工仪表的分类和符号

1.电工仪表的分类

电工仪表的种类繁多,分类方法各有不同。

电工仪表按照测量方法分为比较式仪表和直读式仪表两类。比较式仪表需将被测量与标准量比较后才能得出被测量的数值,常用的比较式仪表有电桥、电位差计等。直读式仪表有指示仪表和数字仪表两类,通常将被测量的数值由仪表指针的刻度或者数字显示直接指示出来,常用的电流表、电压表等均属于直读式仪表。

(1)指示仪表

电工指示仪表的工作特点是先将被测电磁量转换为可动部分(其上附有指针等)的偏转角位移,再根据指针在标尺上指示的位置,直接读出被测电磁量的数值。

指示仪表可按照以下方法进行分类:

①按工作电流种类,可分为直流电表、交流电表、交直流两用电表。

②按工作原理,可分为磁电系、电磁系、电动系、感应系、整流系、静电系、热电系等。

③按被测对象的名称或单位,可分为电流表、电压表、功率表、电度表、电阻表、相位表等。

④按电工仪表的使用方式,可分为安装式仪表、便携式仪表等。

此外,指示仪表还可按外壳的防护性能及耐受机械力作用的性能进行分类。

(2)数字仪表

数字仪表的工作特点是先将被测模拟量(即连续量,如电压、电流等)转换为数字量,再以数字方式显示出被测量的数值。这种仪表采用了数字技术,若再与微处理器配合,则可以提高测量的自动化程度,如自动选择量程、自动存储测量结果及自动进行数据处理等。与指示仪表相比,数字仪表没有机械转动部分,可以避免摩擦减小读数误差,在测量精度及速度方面均有所提高。

数字仪表一般按被测量对象分类,如数字电压表、数字电流表、数字频率表、数字万用表等。

2.电工仪表的符号

电工仪表的表盘上有许多表示其基本特性的符号。根据国家标准的规定,每一只仪表必须有表示测量对象的单位、准确度等级,工作电流的种类、相数,测量机构的类别,使用条件级别,工作位置,绝缘强度,试验电压的大小,仪表型号和各种额定值等符号。

常见电工仪表表盘的主要符号和字母的含义见表 1.3.1。

表 1.3.1 常见电工仪表表盘的主要符号和字母的含义

1.3.2 电工仪表的结构原理

在电工实验中应用较多的是指针式电工仪表。这里主要介绍指针式电工仪表的工作原理和使用。

指针式电工仪表种类很多,但是它们的主要作用都是将被测电量变换成仪表活动部分的偏转角位移。任何电工仪表都由测量机构和测量电路两大部分组成。

接收电量后就能产生转动的机构,称为测量机构。它由以下三部分组成:

①驱动装置:产生转动力矩,使活动部分偏转。转动力矩大小与输入测量机构的电量成函数关系。

②控制装置:产生反作用力矩,与转动力矩相平衡,使活动部分偏转到一定位置。

③阻尼装置:产生阻尼力矩,在可动部分运动过程中,消耗其动能,缩短其摆动时间。

一定的测量机构借以产生偏转的电量是一定的,一般不是电流,便是电压或是两个电量的乘积。若被测量是其他各种参数,如功率、频率等,或者被测电流、电压过大或过小,都不能直接作用到测量机构上去,而必须将各种被测量转换成测量机构所能接收的电量,实现这类转换的电路被称为测量电路。不同功能的仪表,其测量电路也是各不相同的。

1.磁电系仪表

(1)磁电系仪表的结构

磁电系仪表是利用通电线圈在磁场中受到电磁力而发生偏转的原理制成的。

如图 1.3.1 所示,当可动线圈中通入电流时,载流线圈在永久磁铁的磁场中将受到电磁力矩的作用而偏转。通过线圈的电流越大,线圈受到的转矩越大,仪表指针偏转的角度也越大;同时,游丝扭得越紧,反作用力矩也越大。当线圈受到的转动力矩与反作用力矩大小相等时,线圈就停留在某一平衡位置,指示出被测量的大小。

图 1.3.1 磁电系仪表结构

磁电系仪表的特点是准确度高,灵敏度高,功耗低,标度尺上的刻度是均匀的,但过载能力小,只能测量直流电流或者直流电压。

(2)磁电系电流表电路原理

由磁电系仪表的原理可知,其测量机构可直接用来测量电流,而不必增加测量线路。但因被测电流要通过游丝和可动线圈,而可动线圈的导线很细,因此用磁电测量机构直接构成的电流表只能测很小的电流(几十微安到几十毫安)。若要测量更大的电流,就需要加接分流器来扩大量程。

分流器是扩大电流量程的装置,通常由电阻担当。它与测量机构相并联,被测电流的大部分都要通过它。如图 1.3.2 所示为一个电流表线路示意图。

图 1.3.2 电流表线路示意图

R 0 —测量机构的内阻;R—分流电阻

加分流电阻后,流过测量机构的电流为

因此被测电流可表示为

式中 K L ——分流系数,它表示被测电流比可动线圈电流大了 K L 倍。而对于某一个指定的仪表而言,调好后的分流电阻 R 是固定不变的,即它的分流系数 K L 是一个定值,所以,该仪表就可以直接用被测电流 I x 进行刻度,这就是常见的直流安培表。

加上分流器后,则

I x = K L I 0

所以

可见,当磁电系测量机构的量程扩大成 K L 倍的电流表时,分流电阻 R 为测量机构内阻 R 0 。对于同一测量机构,如果配置多个不同的分流器,则可制成具有多量程的电流表。

多量程的电流表常采用闭合分流电路。此电路的优点是量程转换开关的接触电阻不影响仪表的精度。

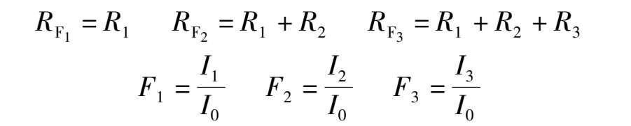
如图 1.3.3 所示的是三量程直流电流表电路,它由磁电系表头和电阻构成闭环分流电路。设其量程分别为 I 1 , I 2 I 3 ;各挡的分流电阻分别为 R F 1 , R F 2 R F 3 ;各挡的扩流倍数分别为 F 1 , F 2 F 3 ,则有:

图 1.3.3 三量程直流电流表电路

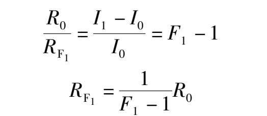
当电流表工作在满量程电流为 I 1 挡时,根据欧姆定律,此时电流表的端电压为

因此

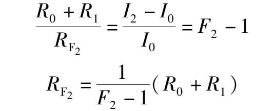
当电流表工作在满量程电流为 I 2 挡时,有

因此

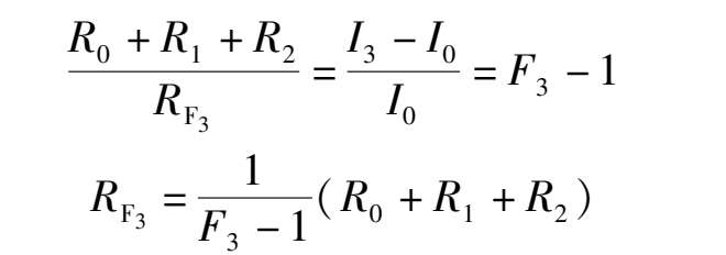
当电流表工作在满量程电流为 I 3 挡时,有

U = I 0 R 0 + R 1 + R 2 )= R F 3 I 3 - I 0

因此

最后根据 R F 1 , R F 2 , R F 3 R 1 , R 2 , R 3 的关系便可计算出各值。

(3)交、直流电压表测量电路

若测量机构的电阻一定,则所通过的电流与加在测量机构两端的电压降成正比。磁电系测量机构的偏转角 α 既然可以反映电流的大小,那么在电阻一定的条件下,当然也就可以用来反映电压的大小。但是,通常不能把这种测量机构直接作为电压表使用。这是因为磁电系测量机构允许通过的电流很小,所以它所能直接测量的电压很低(为几十毫伏);同时,由于测量机构的可动线圈、游丝等导流部分的电阻随温度变化的结果,将会导致很大的温度误差。

为了用同一个机构来达到测量电压的目的,需要采用附加电阻与测量机构相串联的方法。这样,既可以解决较高电压的测量,又能使测量机构的电阻随温度变化引起的误差得以补偿。所以,磁电系电压表实际上是由磁电系测量机构和高值附加电阻串联构成的,如图 1.3.4 所示。这时,被测电压 U x 的大部分降落在附加电阻 R 上,分配到测量机构上的电压 U 0 只是很小部分,从而使通过测量机构的电流限制在允许的范围内,并扩大了电压的量程。串联附加电阻后,机构中通过的电流为

图 1.3.4 单量程直流电压表线路图

由于磁电系测量机构的偏转角度 α 与流过线圈的电流成正比,因此有

式中 S U ——仪表对电压的灵敏度;

S I ——仪表对电流的灵敏度。

图 1.3.5 单量程交流电压表线路图

如图 1.3.5 所示为单量程交流电压表线路图。半波整流电路使得当A、B两测试端接入的电压 U AB > 0 时,表头才有电流流过,表头的偏转角与半波整流电压的平均值成正比。但是,在实际工程和日常生活中,常常需测量正弦电压,并用其有效值表示。因此,万用表的交流电压的标尺是按正弦电压的有效值标度的,即标尺的刻度值为整流电压的平均值乘以一个转换系数(有效值/平均值)。半波整流电压的转换系数为

式中 U αV ——半波整流电压的平均值。

当被测量为非正弦波形时,其转换的系数就不再是 2.22。若仍用该测量方法,必然会产生测量偏差,且该偏差会随被测波形与正弦波形的差异的增加而增大。

当电压表的量程为 U N 时,表头满偏时的整流电流的平均值为 I αv ,则分压电阻值为

多量程直流、交流电压测量电路如图 1.3.6、图 1.3.7 所示。

图 1.3.6 多量程直流电压表电路

图 1.3.7 多量程交流电压表电路

2.电磁系仪表

电磁系仪表的结构有两种,即吸引型和排斥型,下面以吸引型电磁系仪表为例。

(1)吸引型电磁系仪表的结构

吸引型电磁系仪表的结构及工作原理如图 1.3.8 所示。当电流通过固定线圈时,在线圈附近就有磁场产生,使动铁片磁化,动铁片被磁场吸引,产生转动力矩,带动指针偏转。当线圈中电流方向改变时,线圈所产生的磁场和被磁化的铁片极性同时改变,因此磁场仍然吸引铁片,指针偏转方向不会改变。可见,这种仪表可以交流、直流两用。实验室常用的T19 型电流表和电压表就是吸引型电磁系仪表。

电磁系仪表的特点既可测量直流,又可测量交流,还可直接测量较大电流,过载能力强,结构简单,制造成本低。但其标度尺刻度不均匀,易受外磁场影响,常采用磁屏蔽或无定位结构来提高抗干扰能力。

图 1.3.8 吸引型电磁系仪表的结构及工作原理

1—固定线圈;2—动铁片;3—指针;4—扇形铝片;5—游丝;6—永久磁铁;7—磁屏

(2)电磁系电流表和电压表

电磁系电流表:由电磁系测量机构组成,由于电磁系电流表的固定线圈直接串接在被测电路中,所以,要制造不同量程的电流表时,只要改变线圈的线径和匝数即可。因此,测量线路十分简单。

电磁系电流表一般制成单量程,且最大量程不超过 200 A。这是因为电流太大时,靠近仪表的导线产生的磁场会引起仪表较大的误差,且仪表端钮如果与导线接触不良时,会严重发热而酿成事故。因此,在测量较大的交流电流时,仪表须与电流互感器配合使用。

电磁系电压表:由电磁系测量机构与分压电阻串联组成。作为电压表,一般要求通过固定线圈的电流很小,但为了获得足够的转矩,又必须有一定的励磁安匝数,所以固定线圈的匝数一般较多,并用较细的漆包线绕制。

电磁系电压表都做成单量程的,最大量程在 600 V。要测量更高的交流电压时,仪表要与电压互感器配合使用。

3.电动系仪表

(1)电动系仪表的结构和工作原理

电动系仪表的结构如图 1.3.9 所示,其测量机构的固定部分是两个固定线圈。固定线圈分成两个的目的是可获得较均匀的磁场,同时又便于改换电流量程。电动系仪表的活动部分包括可动线圈、指针、阻尼扇等,它们均固定在转轴上。反作用力矩由游丝产生,游丝同时又是引导电流的元件。仪表的阻尼由空气阻尼装置产生。若把固定线圈绕在铁芯上,就构成了铁磁电动系仪表。

图 1.3.9 电动系仪表的结构

1—固定线圈;2—可动线圈

当固定线圈通入直流时,便在线圈中产生磁场(其磁感应强度为 B 1 ),若活动线圈的电流为 I 2 ,则可动线圈在磁场中将受电磁力 F 的作用而产生偏转。

如果电流 I 1 的方向和 I 2 的方向同时改变,则电磁力 F 的方向不会改变。也就是说,可动线圈所受到转动力矩的方向不会改变。因此电动系仪表同样也可用于交流。

电动系仪表的优点:

①准确度高。由于这种仪表内没有铁磁物质,不存在磁滞误差,故比电磁系仪表准确度高,可达 0.1 级。

②交流、直流两用,并且能测量非正弦电流的有效值。

③能构成多种仪表,测量多种参数。例如,将测量机构中的固定线圈和可动线圈串联起来,在标度尺上按电流刻度,就得到电动系电流表。如将固定线圈和可动线圈与分压电阻串联,然后在标度尺上按电压刻度,就组成电动系电压表。另外,还能组成电动系功率表、电动系相位表等。

④电动系功率表的标度尺刻度均匀。

电动系仪表的缺点:

①仪表读数易受外磁场影响。这是因为由固定线圈所产生的工作磁场很弱。为了抵御外磁场的影响,线圈系统通常都采用磁屏蔽罩或无定位结构,也可直接采用铁磁电动系测量机构。

②本身消耗功率大。

③过载能力小。可动线圈的电流要经过游丝,如果电流太大,游丝易失去弹性或烧断。

④电动系电流表、电压表的标度尺刻度不均匀。这是由于其指针偏转角与被测电流或电压的平方成正比,电动系电流表、电压表的标度尺刻度具有平方规律的特性。

(2)电动系功率表

电动系功率表的设计思想是在两个固定线圈输入负载电路的电流;同时将串有附加电阻 R 的活动线圈并联于负载两端,使活动线圈电流 I V 与负载电压成正比,如图 1.3.10 所示为电动系功率表的测量电路。

图 1.3.10 电动系功率表的测量电路

电动系功率表接线时,必须使动线圈(电压线圈)中的电流与被测电路端电压成正比,使固定线圈(电流线圈)通过负载电流。

为了减少测量误差,电动系功率表有两种连接方式。

当电路负载为高阻抗负载时,采用如图 1.3.11(a)所示的接法,仪表电压等于负载电压加上仪表电流线圈的电压降(称为功率表电压线圈前接);当电路的负载为低阻抗负载时,采用如图 1.3.11(b)所示的接法,仪表电流线圈的电流等于负载电流加上电压线圈的电流(称为功率表电压线圈后接)。

图 1.3.11 电动系功率表的两种接线方式

在电动系功率表中,如果电流都从同名端(用“∗”“+ ”“-”表示)流入或从同名端流出,且 Φ < 时,仪表指针就正向偏转。如果电流线圈的电流方向从同名端流入,电压线圈中的电流方向从同名端流出,且 Φ > 时,仪表指针就反向偏转。 F6dsiz0vq73U9P4FB8an9JHA6JyU+zTCKkMvgcsE2DV/wRqxqK4Ii4u6ukm7r8Ls

点击中间区域
呼出菜单
上一章
目录
下一章
×