



直线类命令包括直线段、射线和构造线命令。这几个命令是AutoCAD中最简单的绘图命令。
1.执行方式
命令行:LINE(快捷命令:L)。
菜单栏:选择菜单栏中的“绘图”→“直线”命令。
工具栏:单击“绘图”工具栏中的“直线”按钮
。
功能区:
单击“默认”选项卡
“绘图”面板中的
“直线”按钮
(如图3-1所示)。
图3-1 绘图面板1
2.操作步骤`
命令行提示与操作如下。
3.选项说明
选项含义如表3-1所示。
表3-1 “直线”命令选项含义
注意:
若设置正交方式(按下状态栏中的“正交模式”按钮
),只能绘制水平线段或垂直线段。若设置动态数据输入方式(按下状态栏中的“动态输入”按钮
),则可以动态输入坐标或长度值,效果与非动态数据输入方式类似。除特别需要外,以后不再强调,而只按非动态数据输入方式输入相关数据。
在AutoCAD 2022中,点的坐标可以用直角坐标、极坐标、球面坐标和柱面坐标表示,每一种坐标又分别具有两种坐标输入方式:绝对坐标和相对坐标。其中直角坐标法和极坐标法最为常用,具体输入方法如下。
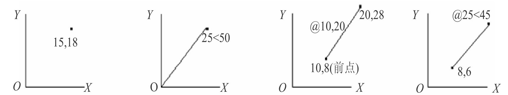
(1)直角坐标法。用点的x、y坐标值表示的坐标。
在命令行中输入点的坐标“15,18”,则表示输入了一个x、y的坐标值分别为15、18的点,此为绝对坐标输入方式,表示该点的坐标是相对于当前坐标原点的坐标值,如图3-2(a)所示。如果输入“@10,20”,则为相对坐标输入方式,表示该点的坐标是相对于前一点的坐标值,如图3-2(b)所示。
(2)极坐标法。用长度和角度表示的坐标,只能用来表示二维点的坐标。
在绝对坐标输入方式下,表示为“长度<角度”,如“25<50”,其中长度表示该点到坐标原点的距离,角度表示该点到原点的连线与X轴正向的夹角,如图3-2(c)所示。
在相对坐标输入方式下,表示为“@长度<角度”,如“@25<45”,其中长度为该点到前一点的距离,角度为该点至前一点的连线与X轴正向的夹角,如图3-2(d)所示。
图3-2 数据输入方法
(3)动态数据输入。按下状态栏中的“动态输入”按钮
,系统打开动态输入功能,可以在绘图区动态地输入某些参数数据。例如,绘制直线时,在光标附近,会动态地显示“指定第一个角点或”,以及后面的坐标框。当前坐标框中显示的是目前光标所在位置,可以输入数据,两个数据之间用逗号隔开,如图3-3所示。指定第一点后,系统动态显示直线的角度,同时要求输入线段长度值,如图3-4所示,其输入效果与“@长度<角度”方式相同。
图3-3 动态输入坐标值
图3-4 动态输入长度值
下面分别介绍点与距离值的输入方法。
①点的输入。在绘图过程中,常需要输入点的位置,AutoCAD提供了如下几种输入点的方式。
(a)用键盘直接在命令行输入点的坐标。直角坐标有两种输入方式:x,y(点的绝对坐标值,如“100,50”)和@x,y(相对于上一点的相对坐标值,如“@50,-30”)。
极坐标的输入方式为“长度<角度”(其中,长度为点到坐标原点的距离,角度为原点至该点连线与X轴的正向夹角,如“20<45”)或“@长度<角度”(相对于上一点的相对极坐标,如“@50<-30”)。
(b)用鼠标等定标设备移动光标,在绘图区单击直接取点。
(c)用目标捕捉方式捕捉绘图区已有图形的特殊点(如端点、中点、中心点、插入点、交点、切点、垂足点等)。
(d)直接输入距离。先拖拉出直线以确定方向,然后用键盘输入距离。这样有利于准确控制对象的长度,如要绘制一条10mm长的线段,命令行提示与操作方法如下。
图3-5 绘制直线
这时在绘图区移动光标指明线段的方向,但不要单击鼠标,然后在命令行输入“10”,这样就在指定方向上准确地绘制了长度为10mm的线段,如图3-5所示。
②距离值的输入。在AutoCAD中,有时需要提供高度、宽度、半径、长度等表示距离的值。AutoCAD系统提供了两种输入距离值的方式:一种是用键盘在命令行中直接输入数值;另一种是在绘图区选择两点,以两点的距离值确定出所需数值。
利用直线命令绘制螺栓,如图3-6所示。
图3-6 螺栓
绘制步骤
(1)单击“默认”选项卡“图层”面板中的“图层特性”按钮
,打开“图层特性管理器”对话框,如图3-7所示。
图3-7 “图层特性管理器”对话框
(2)单击“新建图层”按钮
,创建一个新的图层,把该层的名字由默认的“图层1”改为“中心线”,如图3-8所示。
图3-8 更改图层名
(3)单击“中心线”层对应的“颜色”项,
打开“选择颜色”对话框,
选择红色为该层颜色,如图3-9所示。
单击“确定”按钮,返回“图层特性管理器”对话框。
(4)单击“中心线”层对应的“线型”项,
打开“选择线型”对话框,如图3-10所示。
图3-9 选择颜色
图3-10 选择线型
(5)在“选择线型”对话框中,
单击“加载”按钮,
系统打开“加载或重载线型”对话框,
选择CENTER线型,如图3-11所示。
确认退出。在“选择线型”对话框中选择CENTER(点画线)为该层线型,单击“确定”按钮,返回“图层特性管理器”对话框。
(6)单击“中心线”层对应的“线宽”项,
打开“线宽”对话框,
选择0.15毫米线宽,如图3-12所示。
单击“确定”按钮,返回“图层特性管理器”对话框。完成中心线层的创建。
(7)采用相同的方法创建轮廓线层和细实线层,如图3-13所示。
(8)将“中心线”层设置为当前图层。单击“默认”选项卡“绘图”面板中的“直线”按钮
,绘制一条竖直中心线,命令行提示与操作如下。
图3-11 加载新线型
图3-12 选择线宽
图3-13 创建图层
注意:
输入坐标时,逗号必须是在西文状态下,否则会出现错误。
(9)将“轮廓线”层设置为当前图层。单击“默认”选项卡“绘图”面板中的“直线”按钮
,绘制螺帽的一条轮廓线,命令行提示与操作如下。
同样,利用LINE命令绘制另两条线段,端点分别为{(25,0),(@0,-30)}、{(55,0),(@0,-30)},如图3-14所示。
(10)单击“默认”选项卡“绘图”面板中的“直线”按钮
,绘制螺杆,命令行提示与操作如下。
结果如图3-15所示。
图3-14 绘制中心线和螺帽
图3-15 绘制螺杆轮廓线
(11)将“细实线”层设置为当前图层。单击“默认”选项卡“绘图”面板中的“直线”按钮
,绘制螺纹,端点分别为{(23.56,-30),(@0,-100)}、{(57.44,-30),(@0,-100)}。结果如图3-6所示。
注意:
一般每个命令有3种执行方式,这里只给出了命令行执行方式,其他两种执行方式的操作方法与命令行执行方式相同。
图3-16 绘图面板2
1.执行方式
命令行:XLINE(快捷命令:XL)。
菜单栏:选择菜单栏中的“绘图”→“构造线”命令。
工具栏:单击“绘图”工具栏中的“构造线”按钮
。
功能区:
单击“默认”选项卡
“绘图”面板中的
“构造线”按钮
(如图3-16所示)。
2.操作步骤
命令行提示与操作如下。
3.选项说明
(1)利用选项中有“指定点”“水平”“垂直”“角度”“二等分”和“偏移”6种方式绘制构造线,分别如图3-17(a)~(f)所示。
(2)构造线模拟手工作图中的辅助作图线。用特殊的线型显示,在图形输出时可不作输出。应用构造线作为辅助线绘制机械图中的三视图是构造线的最主要用途,构造线的应用保证了三视图之间“主、俯视图长对正,主、左视图高平齐,俯、左视图宽相等”的对应关系。图3-18所示为应用构造线作为辅助线绘制机械图中三视图的示例。图中细线为构造线,粗线为三视图轮廓线。
图3-17 构造线
动手练一练——绘制表面粗糙度符号
利用“直线”绘制如图3-19所示的表面粗糙度符号。
图3-18 构造线辅助绘制三视图
图3-19 表面粗糙度符号
思路点拨
源文件:源文件\第3章\表面粗糙度符号.dwg
为了做到准确无误,要求通过坐标值的输入指定直线的相关点,从而使读者灵活掌握直线的绘制方法。