购买
下载掌阅APP,畅读海量书库
立即打开
畅读海量书库
扫码下载掌阅APP

1.5 注射成型CAE基础理论

注射成型CAE分析就是在科学计算的基础上,融合计算机技术、塑料流变学和弹性力学,将试模过程全部用计算机进行模拟,求出熔体充模过程中的速度分布、压力分布、温度分布、剪应力、制件的熔接痕、气穴及成型机器的锁模力等结果,这些结果可以等高线、彩色渲染图、曲线图及文本报告等形式直观地展现出来。其目的是利用计算机的高速度,在短时间内对各种设计方案进行比较和评测,为优化塑件结构、模具设计和成型工艺等多方面提供科学的依据,以生产出高质量产品。

要实现注射成型充模过程的数值模拟,一般需要具备以下几个条件。

(1)建立一个比较完整合理的充模过程的数学物理模型。

(2)选用有效的数值计算方法。

(3)计算机硬件及相关软件的支持。

1.5.1 充填模型

注射成型的充填过程,实际上是一个可压缩、黏弹性流体的非稳态、非等温流动的一个相当复杂的过程。人们对它的认识也经历了由简单到深入而逐渐全面的过程。20世纪70年代初,由Richardson第一次描述了该过程的数学模型,它将注射成型充模过程视为不可压缩的牛顿流体的等温流动过程;后来在Kamal等的研究中提出了非牛顿流体充模流动的模型;进一步的研究由Ballman等研究者将充模过程视为非等温非稳态的过程;后来由Wang等提出了一个描述可压缩性黏弹性流体在非稳态非等温条件下的一般Hele-Shaw型充模流动、保压及冷却过程统一的数学模型。这些研究结果对于塑料注射成型充模流动数值模拟的实现具有非常重大的意义。

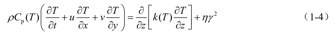
其实,注射成型充模过程的数学物理模型归结为一系列偏微分方程(如三大传递理论和黏度模型方程等)的边值问题,下面是简化后的数学物理模型。

运动方程为

连续性方程为

能量方程为

式中, u v ——分别为熔体沿X、Y方向上的速度分量;

——分别为熔体沿X、Y方向在Z轴(厚度)上的平均流速;

η ——熔体黏度;

P ——熔体所受的压力;

ρ ——熔体的密度;

C p ——比热容;

b ——型腔半厚;

k ——导热系数。

1.5.2 熔体黏性模型

在塑料成型充模的模拟过程中,熔体的黏性流变特性也是必需的,因此,建立一个合理的黏度模型,也是实现熔体充模模拟的重要一环。我们常用的主要有三个加工模型。

(1)幂律模型。

(2)Cross-Arrhenius模型。

(3)Carrean模型。

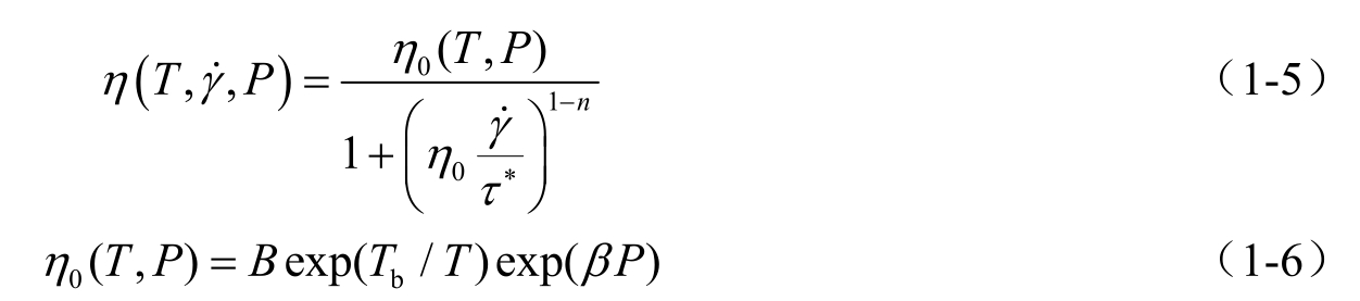
其中,Cross-Arrhenius模型同时考虑了温度、压力及剪切速率等因素对黏度的影响,可以很好地描述熔体在高或接近零剪切速率下的流变形为。所以,比较适合于描述塑料注射充模中的流变特性,在熔体充模模拟及流动分析软件中也常常选用该模型。其公式如下。

式中, η 0 ——零剪切时的熔体黏度;

T P ——分别是熔体温度、剪切速率和压力;

τ * ——复数剪切应力,表示聚合物的黏弹剪切应力行为;

n ——熔体非牛顿指数;

T b ——零剪切黏度 η 0 时的温度;

B ——表示零剪切黏度 η 0 的水平,是由聚合物的分子量等参数决定的常数量;

β ——表征零剪切黏度 η 0 对压力的敏感度。

1.5.3 数值解法及模拟的实现

对于上述方程组的求解,解析法往往是无能为力的,只有数值解法才是行之有效的,而这种数值方法通常有:一类是区域型数值解法,如有限元法(可适用于各类复杂的边界问题,但其计算比较复杂)、有限差分法(它几乎能对所有的偏微分方程求解,但是对复杂区域或边界条件的适用性比较差);另一类为边界型数值法,如边界元法(它只对边界进行离散,因而可大大节约时间,提高计算的效率)。

最早将有限差分法用在注射成型充模模拟中的是Toor、Ballman及Cooper等,而Kamal等对其作了更深入的研究。到了20世纪70年代后,有限元法也被引入充模流动的模拟中来,并在此基础上发展了两种简化的数值模拟技巧:耦合流动路径法(coupled-flow-path)及流动分析网络法(flow-analysis-network)。进入80年代,Wang等提出了控制容积法(control-volume scheme),该法在充模流动模拟中,厚度及时间步长上采用有限差分法,而在平面坐标中采用有限元法来进行离散,在确定熔体前沿位置时,用控制体积来代替矩形单元,这样可以更加接近于实际的流动状况。所以,它被广泛用于熔体充模过程的模拟及一些流动分析软件中。 wlU4ANdFFli9uJcQiRLBGEAqgLPgvgy517/XMt4zKYise8DATtKkVIHkblXabDwC

点击中间区域
呼出菜单
上一章
目录
下一章
×