



企业所得税会影响企业的投资决策,进而影响资源在行业间的配置效率。各国企业所得税法定税率的不同及对部分企业所得的税收优惠和税收减免待遇的差异,使本国企业所得税对于投资的吸引力一直是各国政府和政策研究关注的热点。为竞争投资,在过去的30年间,各国的企业所得税都经历了一轮“低税率、宽税基”的改革(Devereux等,2002)。1985—2018年,全球平均法定企业所得税率从49%下降到24%,而美国政府在2018年将联邦层面的企业所得税率从35%下降到21%,更是激发了其他国家对投资从本国流出的担忧。
在衡量一国企业所得税的竞争力时,研究采用有效税率指标进行分析,平均有效税率测算了一个投资项目的平均税收负担,而边际有效税率则计算了一个要求最低资本收益率的边际投资项目的税收负担水平。通过对一国有效税率及其变动趋势的观察,不仅能够分析该国所得税政策的变动,也能够更好地判断税收对企业投资行为的影响。
因此,本文从边际有效税率的视角出发,从总量和行业层面上分析各国间企业所得税的税负差异。边际有效税率作为衡量税收对于企业投资激励的影响,是基于经济利润的概念提出来的一个前瞻性指标。以一个经济利润为零的行业投资项目为例,该指标假设投资者获得的经过风险调整的税后收益率在各个行业都是相同的,从而便于比较不同行业间这一边际投资(经济利润为零)项目在各个行业面临的所得税负的差别。各行业边际有效税率的差异主要由资产的折旧处理、存货的计价方法、资金的融资方式以及生产经营所需资产配置等因素来决定。行业间边际有效税率的差异会影响新进企业的投资决策,从而引起行业间资本配置差异,对资源配置效率产生影响。边际有效税率为有效对比我国和其他国家的同类行业的所得税成本提供了一个可度量的指标,部分修正了各国存在税会差异而导致的平均税率不可直接比较的缺点。
在进行国别间的税负比较时,一种方式是进行宏观税负的比较,其无须考虑不同国家内因为税款征收主体的差别而产生的差异。在对我国宏观税负及其在国际间地位的比较中,各种观点差别的根源问题主要在于计量口径不同。由于我国并没有将所有的政府收入都纳入财政预算,直接使用税收占国内生产总值的比重去测算宏观税负会降低国际可比性。国内使用较多的是同时使用大口径(政府收入占国内生产总值的比重)、中口径(财政收入占国内生产总值的比重)、小口径(税收收入占国内生产总值的比重)三个指标去测算税负。学者们观点的差异在于大口径里的政府收入(以下用分子表示)应该如何计算。陈颂东(2018)将社会保障款从根据国民经济核算体系计算而来的政府收入中扣除来作为分子,计算出大口径宏观税负并与经济合作与发展组织(OECD)国家相对比,最后认为我国宏观税负水平并不高。吕冰洋(2017)认为计算政府收入时需要加入对财政支出等其他非税成本的考虑,通过加总非税收入、社会保险费收入、国有资本经营收入、政府基金收入得出政府收入,从而得出我国宏观税负水平并不算高的结论,而问题的根源在于税制结构的不合理。陈彦斌(2017)在计算大口径税收负担时在财政部公布的广义政府收入的基础上加入了国有土地出让收入,同样得出与主要的发达国家和发展中国家相比,我国宏观税负并不高的结论。
由于大口径分子的不同定义,有的学者得出相反的结论。李青(2017)在遵循国际可比性原则的基础上,重新对口径进行定义分层,计算大口径时,分子为税收收入、政府专项收入、涉企行政事业收入、涉企行政事业性收费、政府性基金、企业负担的社会保险费之和,最后测算出的结果是我国的大口径企业税费负担远高于其他国家。同样,李炜光(2017)先用世界银行公布的总税率指标去确定我国企业整体税负在世界的位置,再细致到分析上市公司与非上市公司,也得出我国税负较高的结论。
此外,学术界还有两种测量宏观税负的方法,一种方法是从动态角度来观测我国宏观税负的变动情况,庞凤喜(2013)通过构建税负痛感指数进行横纵向比较,发现从横向来看我国税负痛感指数处于发展中国家的中等水平;从纵向来看我国近几年税负痛感指数呈现出下降趋势。另一种方法是从所得税负担出发,采用资本成本来测量。席卫群(2005)借鉴Jorgenson的资本使用成本模型分别对2000—2003年不同类型(3种类型)、不同行业(5个行业)的企业宏观企业税负进行测量,发现外资企业税后收益大于国有、集体企业,各行业所承担的税负也存在着差异。
另一种方式是比较国家间特定税种的税负差别,在企业层面即为比较各国间的企业所得税负担。但是这类分析很少使用各国企业所得税的法定税率进行直接比较,因为法定税率更多地用于跨国公司设计法律或会计策略,从而实现将所得从高税率地区向低税率地区转移的目的。从事上述利润转移行为的跨国公司并无在低税率地区进行投资的打算,也不会考虑这些地区是否存在税收优惠等其他影响企业税负的因素。研究着重采用其他指标来对各国间企业所得税的税收负担进行比较。
一类研究认为可以从会计指标对所得税负担进行分析,建议使用平均有效税率进行分析。平均有效税率是指企业实际缴纳的企业所得税额与应税所得额的比率,其可以通过企业财务报表中的相关数据进行测算,该指标反映了一国企业所得税制中存在的税率级次、税收优惠、附加税费等因素对企业税收的影响。Siegfried(1974)就指出企业所得税的平均有效税率考虑了税收减免等优惠,可以较为真实地反映出企业会计利润中所承担的税负。在此之后,许多学者通过扩展和修正有效平均税率指标来研究企业的所得税税负问题。但这一指标更多地反映了企业以往的经营情况,作为后顾型指标,其实际反映的是已经发生的企业所得税的税负结果。
而另一类研究则聚焦于未来,基于预期的未来现金流来衡量企业的所得税负担。其主要基于经济理论中均衡的概念判断税制变化对于企业税收负担的影响。这一思路是基于Jorgenson(1963)的新古典主义投资理论发展出来的,其通过考察税收对于资本的使用者成本的影响,来分析引入所得税前后所产生的收益差别,从而确定税收负担。King和Fullerton(1984)则进一步扩展了这一分析框架,通过引入不同的融资方式以及个人所得税提出了边际有效税率的概念,并用该指标去测量美国、英国、瑞典、德国四个国家非金融企业的资本收入的边际有效总税率。
Boadway(1984)面对非完全指数化的税收体系,分别考虑了个人所得税、企业所得税以及通货膨胀率等因素对于企业税负的影响,研究了加拿大四种不同类型的资本成本和边际有效税率,考察其对资本成本的影响差异,以及对应的税负水平。美国国会预算办公室(CBO)(2017)则剔除个人所得税,集中探究各行业在企业所得税层面的边际有效税率。Devereux(1998)将这一概念扩展到多项目的情形下,对该指标进行了进一步的细分,牛津大学商业税收中心等(2016)采用此结构框架较为系统地测算了欧盟各国1998—2016年投资与机器、设备、无形资产的边际有效税率。而Becker和Fuest(2004)将税法的复杂性引入测算,试图将边际有效税率和平均有效税率相结合,以综合当前所得税的两个税负分析框架。
而对我国企业有效税率的衡量实际上多为测算平均税率。王窻(1999)采用平均实际税率法(平均所得税费用/平均税前利润总额)分行业(7个行业)和地区对1993—1997年我国上市公司所得税税负进行量化分析,得出当时行业税负差距并不大的结论,微小差距是由于国家政策性倾斜所致,但是地区间所得税税率有较大差异,这是由于地方行政主管部门制定的特定优惠政策所产生的结果。王延明(2003)在此基础上加入了第二个平均有效税率指标(应纳税所得额/税前利润总额),使用这两个指标对1994—2001年我国上市公司规模、地区、行业进行测算,发现企业所得税税负差异不仅存在于不同地区之间,行业之间也存在着较大税负差异。
存在差异的不仅只有行业及地区,刘峰(2014)用各项税费产生的现金流量占营业收入的比重对2003—2006年A股上市公司进行企业税负测算,发现我国上市公司税负显著低于非上市公司、央企税负低于地方企业,并且对于国企而言,随着地方政府层级越低,其税负越高,主要源于地方政府被利益所驱所展开的“税收竞争”导致对企业的税费返还和企业增值税税负差异。
关于影响有效税率的具体因素,袁建国(2015)用税会调整后的所得税费用占税前利润的比重去测算有效税率,测算出2001—2013年国有控股公司平均有效税率为22.6%,非国有控股公司平均有效税率为20.3%,检验出产权性质、税收负担、税收征管等因素都对有效税率具有影响。
也有研究考察了《中华人民共和国企业所得税法》(以下简称《企业所得税法》)的改革是否起到了减负作用,潘孝珍(2013)通过统计分析与计量分析测算我国2004—2011年上市公司微观税负,发现新企业所得税实施之后上市公司企业所得税税负显著降低,且行业间差异较大,但总体税负水平并没有下降,甚至显示出有所提高。庞凤喜(2014)在潘孝珍的研究基础之上进一步对微观税负按行业、区域进行研究,发现2004—2012年以2008年为转折点,各项税费呈现出先上升后下降的趋势。通过核密度分析发现不同企业税费负担水平差异较大且各项税费比重分布较为分散。而基于边际有效税率的研究则相对较少。
我国当前25%的企业所得税法定税率较2016年二十国集团(G20)国家法定税率的加权平均值要低6个百分点,在19个G20国家中相对较轻。美国税改实施后,其企业所得税法定税率下调14个百分点到21%,以2016年的全球可比国内生产总值(GDP)计算的G20国家企业所得税的加权平均税率会下降到26.8%,仅略高于我国企业所得税法定税率。
从历史经验来看,1986年里根政府将美国联邦层面的企业所得税法定最高税率从48%减为34%,开启了一轮全球减税的浪潮,引发其他国家迅速跟进。新西兰在1987年立即将企业所得税率从48%减到33%,澳大利亚、法国、德国等国均在3年内开启减税进程。此后的30年间,各国都经历了减税率、宽税基的所得税政策调整,G20国家总共进行了41次税率调减(见表1)(同时减收折旧扣除和税收减免项以扩大税基)。以G20国家的当年度可比GDP为权重,G20国家企业所得税法定税率的加权平均值从1986年的48.03%下降到了2016年的31.02%。
表1 G20国家企业所得税法定税率情况(1986—2016年)
续表
注1.G20国家由本表中19国和欧盟组成,本文主要对这19国进行比较分析。
2.部分国家在中央政府层面和地方政府层面均征收企业所得税,因此,本表中的税率为该国的中央政府和地方政府企业所得税最高法定税率之和。
数据来源:OECD税收数据库,牛津大学商业税收研究中心,部分国家政府网站,n.a.表示该年数据不可得。
因此,在美国税改后,一旦日本、法国等国跟进减税,进而开启新一轮的全球减税潮,在我国企业所得税的不跟进调整的情况下,将导致我国企业所得税的法定税率高于G20国家的平均值。
作为资本税前收益率和税后收益率之间的一个税收楔子,边际有效税率衡量了一个经济利润为零的投资项目(即边际投资项目)中税收占资本成本(不包括折旧)的比重。税收会减少项目的收入,而加速折旧、税额抵免等优惠政策会减少项目的成本,税收对边际投资项目收入和支出的组合效应,即为边际有效税率。
边际有效税率与平均有效税率存在显著的区别。从定义上看,平均有效税率是指企业实际缴纳的企业所得税额与应税所得额的比率,其可以通过企业财务报表中的相关数据进行测算。该指标反映了一国企业所得税制中存在的税率级次,税收优惠、附加税费等因素对企业税收的影响。当企业在研判是否值得进行长期或大规模投资时,会考虑这一行业的平均税率水平。而边际有效税率作为一个前瞻性指标,其基于预期的未来现金流来衡量企业是否应该进行投资。
从特征上看,首先,两者关于有效的界定不同,边际有效税率中的有效是指在测算时需要考虑包括法定税率、税收抵免、亏损结转、库存计算方法以及资本弱化规则等在内的全部税收规定。而平均有效税率中的有效是指实际发生的税收成本,以及投资项目的非税特征,其更接近于实际税率(实际税负)的概念。其次,两者测算的假设前提不同,边际有效税率基于经济利润为零的项目进行测算。平均有效税率衡量了所测算项目的税负水平,并不考虑这类项目是否盈利。最后,两者的测算结果并不具有一致性,一个行业的平均有效税率可能高于也可能低于基于边际投资项目计算的边际有效税率。
采用边际有效税率进行分析,不仅有助于在一个统一的理论框架下判定一国所得税的税收负担,同时也便于进行国际比较,此外,边际有效税率实际上提供了一国所得税对于投资激励效应的衡量。给定其他条件不变,所投资项目的边际有效税率越高,企业对该项目进行投资的激励就越低,该指标能够反映出企业所得税对不同行业资源配置的影响。
在计算边际有效税率时,基于Hall和Jorgenson(1967)提出资本使用成本方法,用税收成本占剔除经济折旧后的边际成本的比重来衡量。资本使用成本是指企业进行额外一单位可获利投资的最小实际税前收益,即在扣除经济折旧(经济折旧指资产价值随着资产使用年限下降的比例,与税法规定的折旧相比,存在年限差异等差别)、税款后,仍能让投资者实现其所要求的实际税后收益(投资机会成本)的收益水平。当企业使用留存收益进行投资时,资本使用成本( c )的公式为:
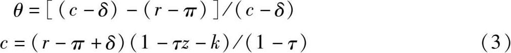
式中, r 为企业进行投资所要求的名义收益率,π为预期通货膨胀率,( r -π)即为税后实际收益率,δ为经济折旧率,τ表示企业所得税法定税率, z 表示按照税法规定提取的累计折旧的净现值。企业当期存在应税所得时,τ z 即为累计折旧贴现值的节税额。 k 表示投资税额抵免,即符合条件的固定资产的特定比例的投资成本在企业当期应纳税额中的抵免金额。
资本使用成本公式的经济学直觉在于,当没有税收时,企业的成本(即收入)至少应包括投资者所要求的实际收益以及需要覆盖的经济折旧( r -π+δ)。如果企业的收入需要纳税,那么其所要求的税前收益应该更高[( r -π+δ)/(1-τ)],以保证税后收益和无税收前一致,税率越高,则资本成本就越高。这一资本成本的增加部分的被资产折旧现值和投资的税额抵免所抵消,其对投资有效成本的影响为(1-τ z - k )。
由资本使用成本公式,可以得到扣除折旧后的税前实际社会收益率为( c -δ),即确保潜在投资的税后净现值为0的收益率水平。如果对投资项目的实际所得按照边际有效税率θ征税,则可以根据该投资的税后实际收益率推算出其税前实际收益率水平为( r -π)/(1-θ),因为 c -δ=( r -π)/(1-θ),资本使用成本可以表示为:
由式(2),可以得到边际有效税率表达式:
式(3)表示边际有效税率为税前实际社会收益率与投资者税后实际收益率之差占税前实际社会收益率的比值。
当一国的企业所得税制是采用经济利润来确认应纳税所得额时,边际有效税率等于法定税率。在经济利润设定下,税收折旧等于经济折旧[ z =δ/( r -π+δ)],资产没有税额抵免( k =0),由式(3)可知资本使用成本为 c =( r -π)/(1-τ)+δ,代入式(3),可知θ=τ。
当资产购置成本能够在当期费用化,且不存在税额抵免优惠时,边际有效税率为0。当期费用化意味着 z =1, k =0,由式(3)可知资本使用成本为( r -π+δ),代入式(3),得到θ=0。
采用加速折旧政策会导致边际有效税率低于法定税率,从而产生投资激励。当采取加速折旧政策时,税收折旧比经济折旧具有更高的现值。
(1-τ z - k )/(1-τ)反映了企业所得税对投资的影响。如果允许投资的资产在当期全部费用化( z =1),并且不存在税额抵免的税收优惠( k =0),那么该比值为1,这表示不同类型资产的投资收益率是相同的,企业所得税对资产的影响具有税收中性。
当企业所得税制偏离资产中性时,其会导致不同类型资产的资本使用成本存在差别,从而扭曲未来的投资选择。扭曲产生的原因包括不同类型的资产所面对的经济折旧和税收折旧存在差异;资产折旧无法根据通货膨胀率变化进行指数化调整,导致通货膨胀环境下折旧实际价值的减少;对不动产无法使用税收抵免;等等。
因此,税收激励对于特定资产边际投资的影响依赖不仅取决于税收政策,还受到行业资本结构( r ),宏观经济环境(通货膨胀率)以及资产自身特征(经济折旧率的差异)等因素的影响。这就要求在实际计算边际有效税率时,需要考虑非税因素的影响。这些非税因素与税制要素相结合时,会导致额外的配置效率扭曲。
在上述非税因素中,最主要的是通货膨胀率,其会通过三种渠道影响成本扣除,进而对边际有效税率产生影响。第一种渠道是通过借款利息支出的税前扣除。在给定实际利率不变的情况下,通货膨胀率越高,名义利率越高,借款利息的税前扣除就越多,降低了借款企业的税后实际融资成本和边际有效税率;第二种渠道是通过资产折旧的现值变化。通货膨胀率越高,未来税收减免的名义贴现率就越高,未来税收折旧的现值越低,增加了折旧资产的边际有效税率;第三种渠道是通过存货价值变化。通货膨胀率也会影响不同计算方法下的存货价值,我国企业所得税允许采用先进先出法和移动平均法确认存货的价值,采用先进先出法时,通货膨胀会产生额外的应税所得,因为存货以历史价格记账,但是用更高的当期价格确认收入,增加了边际有效税率。
在上述三个渠道中,通货膨胀率对边际有效税率计算的影响各异,其对某一特定行业边际有效税率的影响则取决于该行业的融资方式、资产构成和存货占比。当税制允许各项成本按照通货膨胀率进行指数化调整时,通货膨胀对于边际有效税率的影响会减弱。
第二个重要的非税因素是债权融资的比重。因为利息支出可以在税前扣除,债券融资在《企业所得税法》中具有税盾的功能,企业债权融资的比重越高,对应的边际有效税率就越低。
第三个重要的非税因素是资产的经济折旧,边际有效税率受到资产的经济折旧和税法折旧之间差异的影响。给定某一设备的经济折旧率,更高的税收折旧率会通过税收递延产生更高的收益,从而降低资本有效边际税率。
第四个重要的非税因素是资本结构,资本投资主要包括建筑物、设备、存货和土地。给定法定税率不变,不同类型资产可能因为税收和非税因素的作用而产生不同的有效税率。因为不同行业对这四类资产的配置比例是不同的,高税负资产占比大的行业会有更高的边际有效税率。
所得税和费用化均有助于促进税收中性,当不同类型的资产具有相同的有效税率时,所有投资均有相同的社会收益率,则对不同类型资产的投资配置是有效的。所得税扭曲了消费时点的选择,费用化则消除了这一扭曲。所得税下,税前社会收益率 c -π和企业获得的税后收益率 r -π之间的存在一个楔子 u ( r -π)/(1- u ),使得储蓄者的收益低于投资者的社会收益,减少当期储蓄,而费用化下这一税收楔子不再存在,因此不会扭曲储蓄决策。
有效的资本配置要求额外一单位的资本投资在扣除折旧后所产生的收益都相等,即都等于实际社会收益率(Jorgenson、Yun,1996)。
在企业所得税中,借款利息支出可以税前扣除,进行债务融资的企业面对的名义收益率 r d 为:
式中, i 为债务融资所要求的名义利率。债务融资下投资的边际有效税率为[( c -δ)-((1-τ) i -π)]/( c -δ)。
当一国完全根据经济利润来确认企业所得税的应纳税所得额时,利息扣除仅仅将这笔利息从借款企业向贷款方转移,不会扭曲借款企业的储蓄和投资决策。但当税基偏离经济所得时,比如,对可据实扣除利息的本金和利率进行限制时,无法税前扣除的利息支出将由借款企业来承担,所负担的税负大小实际上取决于随机偏离经济所得的程度。
企业的名义收益率按照税收套利公式计算,暂不考虑风险因素。当企业采用债权融资时,贴现率为税后利率,τ为企业所得税的法定税率。当企业采用股权融资时,股东的收益率至少应该达到股东将资金用于贷款的税后收益水平,即被投资企业对股权投资的税后收益率
为:
从而得到存在债券和股权混合融资下的企业的加权平均贴现率为:
基于边际有效税率的公式,可以得出以下两个结论,一是利息扣除减少了依赖债务融资的投资项目的边际有效税率,因此企业所得税税制鼓励企业利用债务而不是股权融资。二是研发投入较大的项目较主要以设备和建筑等固定资产投入为主的项目更具税收优势,因为研发投资有加计扣除的税收优惠,增加了其可扣除的金额,因此以研发投入为主项目的边际有效税率更低。
当然,基于边际有效税率的分析也存在一些不足。首先,边际有效税率的测算是基于假设的边际投资项目,对这类项目的分析有助于理解边际有效税率会如何改变项目的投资决策。但是税收仍然会影响收益水平更高的项目的投资决策,这需要其他的所得税指标来进行判定。其次,边际有效税率无法用于分析企业在投资过程中面对的除税收以外的其他因素的影响,比如,企业在进行这类项目的投资决策时,可能还面临信贷约束、公司治理问题等。最后,边际有效税率集中考察税制对于所投资项目的财务报酬的影响,并不能对实际投资结果进行全面的测算。研究也证实了资本使用成本与投资水平之间存在联系,弹性为0.5~1,这意味着更高的边际有效税率会减少投资。但是这一结果也会受到其他因素的影响。
基于上文的分析,本节对我国各行业的边际有效税率进行测算。首先根据资本使用成本公式计算每类资产的边际有效税率,假设购进的资产不会进行再销售,经济体中的每个行业面对相同的通货膨胀率水平和名义利率水平,以更好地区分税收变化的影响与宏观经济变动的影响,通胀膨胀率取2007—2016年的居民消费价格指数的平均值,设定为2.93%,名义利率为8%。对于每个企业的投资项目,其适用的法定税率τ取决于企业的规模,本文的行业数据是基于规模以上企业获取的,因此统一采用25%的企业所得税法定税率。每个行业内不同资产的法定税率和贴现率是相同的。
在我国的固定资产统计中,固定资产投资按构成被划分为建筑、安装工程,设备、工器具购置和其他费用,不同资产的经济折旧率(δ)与《企业所得税法》中对资产计提折旧的规定(
z
)有所差异。本文将上述资产分为三类(建筑物、机器设备和其他),并区分了每类资产的经济折旧率和税法规定的税收折旧率。如果税收折旧和经济折旧相等,则可以认为税收折旧对于企业投资决策的影响是中性的。而加速折旧则通过增加税收折旧的现值而产生递延纳税的结果
。根据OECD的标准,本文将建筑物、机器设备和其他类资产的经济折旧分别设定为3.1%、17.5%和15.35%。根据《企业所得税法》规定的折旧年限和直线法,将上述三类资产税法折旧率分别设定为5%(对应建筑物的折旧年限不低于20年),14.29%(设定机器设备的平均折旧年限为7年),其他类资产为10%
,
。受数据约束,本文采用加总的建筑安装和加总的设备器具来计算资产的有效税率,其实际上低估了税制对资本配置效率的损失效应
。
除了企业所得税,在测算资本使用成本时还包括了房产税。本文对于建筑安装类固定资产,在计算其资本成本时还包含了从价计征的房产税率1.2%。存货不需要折旧,本文假设企业选择移动平均法来计算价值
。
按照我国固定资产投资资金来源划分,我国企业的固定资产投资有自身留存收益和外源融资两个渠道,其中,外源融资的部分又分为直接融资(股权融资)和间接融资(债权融资)。考虑到我国资本市场的特点,企业外源融资主要以债权融资为主。因此,本文计算了上市公司各年三类融资方式的比例,将企业经营活动现金流净额视为留存收益融资的部分,将筹资活动现金流净额视为外源融资部分,在外源融资中,按照银行长期借款变化额(本期长期借款余额减去上期长期借款金额)和股权融资变化额(本期股本和资本公积之和减去上期股本和资本公积之和)的比例来划分债权融资和股权融资的比例,再根据两类现金流净额来确认债务融资占总资产的比例。
表2给出了不同类型固定资产和不同融资模式下,边际投资项目所面对的边际有效税率水平。
表2 投资项目的边际有效税率
注:本表中的平均为四类资产的算术平均。
不同类型资产的税率差异较大,建筑物面对最长的折旧期和最少的税收加速折旧优惠政策,其相比于其他资产有更高的边际有效税率。机器设备投资的边际有效税率较低。而存货在销售前无法扣除,其税率相对较高。与股权融资相比,债权融资下的各类资产都具有更低的边际有效税率,依靠债权融资的投资项目的平均边际有效税率为-6.9%。这意味着如果投资项目完全依靠债权融资,其还会获得一笔额外的税收补贴。
图1给出基于上市公司的债资比,计算的我国2008年以来的企业所得税边际有效税率的变化情况,其中,三类固定资产的资本存量比重由各年全社会固定资产投资的构成比例来确定。可以证实,在此期间我国企业所得税的边际有效税率呈现逐步提高的态势,从2008年的14.9%逐渐增加到2016年的17.38%,均值为16.2%。这一平均值与牛津大学商业税收研究中心所测算的边际有效税率16.23%基本一致。各年间逐步提高的原因是全社会固定资产投资中建筑安装工程额占比在逐步上升,从2008年的60.73%增加到了2016年的69.77%,而建筑设备在所得税上的税收优惠相对较少,从而逐步拉高了整体的边际有效税率水平。
图1 企业所得税边际有效税率变动(2008—2016年)
注:平均边际有效税率为资产和存货的边际有效税率的加权平均值,权重为资产形成总额中固定资产和存货的占比。边际有效税率(资产)是将机器设备、建筑物和其他三类资产边际有效税率根据历年全社会固定资产投资中的比例加权计算得到。机器设备、建筑物和其他三类资产的边际有效税率则通过对三类资产在债权融资和股权融资(留存收益融资)下所推导的不同边际有效税率按照历年我国企业的债权融资和股权融资占总资产的比重进行加权计算得到。历年我国企业的债券融资和股权融资占比则根据上市公司财务数据计算得到。
基于上市公司2008年以来的债资比数据,本文计算了每个行业的边际有效税率变化,表3给出2008—2016年我国分行业分资产边际有效税率均值。从边际有效税率来判断,当前税负较高的行业为石油和天然气开采业、烟草制品业、石油加工、炼焦、交通运输业、卫生、文体
。
表3 我国分行业边际有效税率表(2008—2016年)
续表
续表
注:资产边际有效税率为2008—2016年各行业建筑安装、机器设备和其他类资产平均边际有效税率的加权平均值,权重为2008—2016年各行业三类资产固定资产投资的比重。三类资产的平均边际有效税率为债权融资和股权融资边际有效税率的加权平均值,权重为各行业中上市公司的债券融资和股权融资的比重。各行业的平均边际有效税率为资产和存货边际有效税率的加权平均值,权重为固定资产和存货在资产形成总额中的比重,在本表中假设各行业的比重相同。
图2给出了G20国家在2007年和2016年企业所得税边际有效税率的情况,由图2可知,我国自2008年实施新《企业所得税法》以来,有效边际税率从2007年的19.17%下降到了2016年的16.23%,在全部G20国家中的排名从第10低位上升到第8低位。与此相对应的是,近10年来大多数G20国家的有效边际税率均有不同程度的下降,G20国家平均有效边际税率从2007年的18.62%下降到了2016年的15.87%。
图2 G20国家边际有效税率变化(2007年和2016年)
数据来源:为保证边际有效税率的可比性,在本图中统一选用牛津大学商业税收研究中心的各国边际有效税率数据。
一般而言,一国的有效边际税率要低于法定税率,并且法定税率低的国家,其有效边际税率一般也低。例外的是阿根廷和巴西,两国的法定税率在G20国家中不是最高的,但是其有效边际税率要高于美国。在G20国家中,意大利是唯一一个有效边际税率为负的国家,意大利规定,自2012年起,股权融资可以比照债权融资的利息支出进行税前扣除,使得其有效边际税率由正转负,这意味着每新增一单位投资,企业就能够获得一笔政府的净补贴收入。除意大利外,德国和土耳其也允许股权融资可以按照可比的利息规模进行部分税前扣除。
从资产折旧的税前扣除来看,虽然我国对设备的折旧年限要短于不动产,但是与其他G20国家相比,我国对于设备折旧的税前扣除规定在G20国家中处于较严格水平。给定企业面临的其他条件都相同,仅在资产折旧的企业所得税处理上存在差异,2016年我国企业设备投资的有效边际税率在G20国家中排第11低位(第8高位),而不动产投资的有效边际税率排第7低位。
从融资方式的税前扣除分析,G20国家都允许利息在企业所得税税前扣除。各国债务融资的有效边际税率均要低于股权融资的有效边际税率,法定税率越高,两者的差距就越大,因为高税率增加了利息扣除的价值。给定我国现行税制,在其他条件相同的情况下,我国企业利用债务融资的有效边际税率在所有G20国家中处于中间水平,略高于我国企业所得税的总体有效边际税率在全部国家中的排序。
基于边际有效税率指标,我国现行的企业所得税税制在G20国家中均处于相对有利的地位。但是与法定税率相比,后两个指标在各国间的差异明显更小,受税制变化的影响会相应更大。本文认为可以考虑分阶段从资产折旧、税收优惠、税率设定等方面对我国企业所得税制度进行完善。
首先,在短期内,可考虑放宽固定资产折旧的规定,特别是缩短《企业所得税法》规定的固定资产折旧年限。在现行G20国家的企业所得税制中,仅阿根廷、巴西、中国、德国和墨西哥规定了10年的固定资产折旧年限,而加拿大、法国、美国和南非等国均将固定资产折旧年限设定在3年以内。在企业所得税税率不发生调整的情况下,可以考虑进一步扩大缩短固定资产折旧年限(或者扩大双倍余额递减法)等加速折旧方法所适用的固定资产的范围,降低我国企业面临的固定资产投资的有效边际税率,增加现有企业进一步扩大投资的意愿。
其次,在中期内,整合税收优惠。加快将某些具有可推广性的,目前仅适用于部分地区或部分行业的税收优惠一般化的步伐,降低我国境内企业面临的平均税率,以更好地吸引新的投资。
最后,在中长期内,考虑适当下调企业所得税税率。从中长期来看,企业所得税税率变动具有税收中性,减税并不必然导致税收收入下降,Dajezk(2017)总结了过去30年35个国家94次企业所得税减税的实施效果,证实减税后三年内各国企业所得税占国内生产总值的比重平均仅下降0.05%。我国2008年的企业所得税改革后,内资企业所得税占GDP的比重也在2011年超过2007年改革前的水平,达到2.9%。因此,税率的调减未必会对我国企业所得税的税收收入产生很大的冲击,也不会影响我国“提高直接税比重”这一税制改革目标的实现。
[1]陈颂东.我国与不同类型国家企业总税率比较与启示[J].西部论坛,2018,28(2):35-41.
[2]陈彦斌,陈惟.中国宏观税负的测算及启示[J].财经问题研究,2017(9):3-10.
[3]刘骏,刘峰.财政集权、政府控制与企业税负——来自中国的证据[J].会计研究,2014(1):21-27+94.
[4]吕冰洋.我国宏观税负不高,为何企业感觉负担重[J].人民论坛,2017(7):82-83.
[5]李炜光,臧建文.中国企业税负高低之谜:寻找合理的企业税负衡量标准[J].南方经济,2017(2):1-23.
[6]庞凤喜,潘孝珍.我国企业税费负担状况分析及改革建议[J].会计之友,2014(20):107-115.
[7]庞凤喜,潘孝珍.论税负痛感指数的构建及其运用[J].中南财经政法大学学报,2013(2):71-75.
[8]潘孝珍.新企业所得税法与企业税费负担——基于上市公司的微观视角[J].财贸研究,2013,24(5):113-119.
[9]吴珊,李青.当前我国企业宏观税负水平与结构研究——企业宏观税负的国际比较及政策启示[J].价格理论与实践,2017(1):31-35.
[10]王延明.上市公司所得税负担与规模、地区及行业关系[J].证券市场导报,2003(3):56-60.
[11]王窻.中国上市公司所得税税收负担问题研究[J].经济研究,1999(5):51-56.
[12]席卫群.我国企业资本承担所得税实际税负的测算[J].财经研究,2005(5):83-91.
[13]袁建国,后青松,范文林,等.上市公司所得税有效税率影响因素的实证分析[J].税务研究,2015(7):114-117.
[14]Becker J,Fuest C.A backward looking measure of the effective marginal tax burden on investment[R].CESifo Working Paper,2004.
[15] Boadway R,Bruce N,Mintz J.Taxation,inflation,and the effective marginal tax rate on capital in Canada[J].Canadian journal of Economics,1984:62-79.
[16] CBO.International Comparisons of Corporate Income Tax Rates[R].2017.
[17]Jorgenson D W.Capital theory and investment behavior[J].The American Economic Review,1963,53(2):247-259.
[18]King M A,Fullerton D.The taxation of income from capital:A comparative study of the united states,the united kingdom,sweden,and germany[M].University of Chicago Press,1984:7-30.
[19]Siegfried J J.Effective average US corporation income tax rates[J].National Tax Journal,1974:245-259.
(作者单位:中南财经政法大学)