



在各种普通股估值方法中,最被大家认可和接受的方法就是预测公司未来一段时间内的盈利与股息支付额,然后再使用适当的贴现率对其进行资本化,从而求出普通股的估值结果。从形式上看,整个估值过程很清楚,然而在实际使用时,分析师要用到各种各样的分析技术以及假设条件,甚至还包括适度的猜测。分析师首先要确定准备分析的时间周期到底有多长,然后预测该周期内公司的盈利与股息支付额,最后再根据自己的判断或偏好选择合适的贴现率。这里,我们会发现一个比较有趣的现象,由于时间周期的确定并没有什么特殊的原则性规定,因此一旦遇到牛市,投资者和分析师都会将时间周期设定得比较长,对未来充满希望;不过在其他时候,他们并不愿意花心思去“仔细分辨来自远方的鼓声”。因此,这进一步提高了成长型股票估值内在的不稳定性。这种情况出现的次数多了,就会让人形成这样的合理判断:公司的动态变化幅度越大,其股价的变化就越带有投机性与剧烈波动的特征。 1
当谈论如何预测公司的未来盈利时,很少有分析师愿意像寻找新大陆的哥伦布一样,勇敢地面对这片未知的领域。他们都倾向于从已知的变量入手,例如当期或过去的盈利数据,通过这些变量了解公司盈利的模式,然后形成对未来盈利的预测。这样做的结果便是,在证券分析领域,理论上已经被抛弃的历史变量,在实践中又被人重新捡了回来。如果证券分析师勤奋努力地搜集到了企业过去的所有详细数据,然后又对这些数据进行了仔细的分析,最后却被事实证明,它与公司股票价值的真正决定因素——公司未来的盈利和股息,没有任何关系,估计这将是我们这个行业最令人心酸的笑话。
毫无疑问,这样的情形确实发生过,也许还并不少见。不过,在大多数情况下,企业过去的业绩与未来业绩之间的关系还是很重要的,这足以证明分析师预先充分掌握统计数据的做法是非常有道理的。事实上,证券分析师每日工作的主要内容之一便是通过研究企业的历史业绩,对企业的未来经营业绩进行合理的预测。但同时,越是优秀的分析师,他对公开发布的数据关注得越少;相反,他会投入更多的精力研究目标公司的管理情况、公司政策以及公司未来发展的各种可能性。
不管是在学校学习还是在家学习,学习证券分析的学生都倾向于大量搜集整理企业的历史经营数据,而不是对企业的未来形成自己独立的判断。我们可以教会他如何分析企业的历史数据,但他们缺乏合适的工具预测未来。通常情况下,他们要做的是找到一种有说服力的方法,用这种方法分析公司的盈利数据(包括平均值、发展趋势或增长率、稳定性等数据),并对企业当前的资产负债表进行检查,然后在这些工作的基础上,预测企业未来的盈利金额与股息支付额,接下来再根据预测值计算公司的股票估值。
只要对这个理想化的分析流程做进一步的探究,我们马上就会发现,不需要分开计算公司的未来盈利与股息支付额,同样可以估算出公司的股票价值。下面我会以最简单的方式向大家演示:
· 过去的盈利乘以X就等于未来的盈利。
· 未来的盈利乘以Y就等于企业股票的现值。
上面这种分析方法可以简化为:
· 过去的盈利乘以XY的乘积就等于企业股票的现值。
我的学生们最喜欢学习、最愿意计算的变量正是XY因子,或者可以称其为历史盈利的乘数。当我告诉他们,该乘数的众多计算方法全都不值得信赖时,他们会露出难以置信的表情,或者是继续追问:“那么证券分析到底有什么用呢?”他们以为,只要对历史数据的所有相关变量赋予正确的权重,就能至少算出一个普通股的合理估值,而这个估值既考虑了企业未来的盈利情况,也可以帮助我们判断当前企业股票的市场价格是被高估了,还是被低估了。
在这篇文章里,我要介绍两种普通股的估值方法,这两种方法在一次普通股估值研讨会上得到了进一步的完善。我相信,第一种估值方法能向大家很好地说明如何推导并使用估值公式。我们要做的就是计算1957年道琼斯工业平均指数30只成分股的相对价值,基准值分别被设定为400和500(400代表道琼斯工业平均指数的“中心值”,我们基于历史数据关系推导出了一系列公式,然后再用这些公式独立算出了这个“中心值”;500代表的是过去12个月内股票市场的平均价格水平)。
正如你将要看到的那样,在估计每一个组成要素的值时都要考虑企业的盈利性、成长性、稳定性与股息分配这4大“品质因子”。然后将这些因子的估计值当作乘数,与企业1947—1956年间的平均盈利值相乘。此外,作为一个完全独立的变量,净资产价值也被赋予了20%的权重。
从本质上看,第二种方法与前面讲到的第一种方法刚好完全相反。第一种方法尝试独立地评估股票价值,然后再与股票的市场价格相比较。而在分析1957—1966年间的案例时,第二种方法从一开始就要用到股票的市场价格,然后再根据市场价格计算市场的企业未来增长率。随后,我们可以很容易地计算出企业未来的盈利值,以及股票当前的市场价格所隐含的、适用于未来盈利值的乘数。
我们先详细演示一下上述两种估值方法的推导以及计算过程,然后再给出针对每种方法的详细评价。不过,我觉得有必要先把结论的主要观点简单陈述一下,那就是:
· 我们自己发明的适用于个股的“公式估值法”,也许还要包括其他基本形式相同的估值方法,几乎都没有太大用处。那种断言A股票的价值只有其市场价格的一半或者B股票的价值是其市场价格的两倍的说法都是非常愚蠢的。
· 从其自身来看,由于是对历史记录的综合反映,因此这些估值方法还是有一定的建设性意义和作用的。如果我们假设未来只是过去表现的一种延续,那么甚至可以说,使用这些方法得到的估值结果就能代表股票的未来价值。
· 如果公式算出的“估值”结果与实际市场价格之间存在着巨大差距,那么分析师有必要运用专业的知识与辨别力来解释其中的原因。接下来我们将要讨论两者之差事实上到底有多大,以及人们对它的看法。
同样,这种方法从股票的市场价格出发,推导出隐含的“增长因子”以及隐含的市盈率倍数,因此有助于分析师将注意力只集中于市场对每只股票的未来预期。而个股未来的表现有可能近似于历史表现,也有可能与历史表现截然不同。此时,分析师要再次使用专业知识与辨别力来判断应该接受还是拒绝市场的假设条件。
这是一种只建立在历史数据基础上的公式估值法,将道琼斯工业平均指数的所有成分股看作一个整体。
第一种估值法的假设前提主要包含以下几点:
· 通过与指数全部成分股的平均基准价值相比(把这些成分股看作一个整体),我们可以计算出道琼斯工业平均指数每一只成分股的估值。具体做法是直接比较统计数据。
· 需要重点考察的数据包括:
盈利能力——根据投资资本的收益率来衡量盈利能力(为了方便计算,我们只考虑1956年的情况)。
每股盈利的增长率——有两种测量方式:1947—1956年的盈利情况与1947年的盈利情况相对比,而1956年的盈利情况会与1947—1956年的盈利情况相对比(在比较时,用1954—1956年的平均盈利值来代替1956年当年的盈利值会更有说服力,这样做对最终得到的估值结果几乎没什么影响)。
稳定性——用1937—1938年、1947—1956年期间公司盈利数值的最大波动幅度来衡量(我们需要计算的是在波动幅度最大的周期内,企业盈利额的变化百分比)。
股息的支付情况——用1956年支付的股息与盈利额的比值作为衡量标准。对于少数几只成分股,其1956年的盈利额低于1947—1956年的平均盈利额,于是我们便用平均盈利额代替了1956年的盈利额,从而得到一个更贴近当前股息支付额的数字。
上述这些估值标准能够说明公司的盈利(包括股息政策)到底好不好,因此会对适用于公司盈利的市盈率倍数造成影响。每个分项下的数字除以道琼斯工业平均指数所有成分股(把它们看作一个整体)对应指标的值,就可以看出这家公司的相对业绩情况好不好。4个品质因子均被赋予相同的权重,然后再汇总起来求出最终的“品质指数”,以反映该公司相对于整体(指的是道琼斯工业平均指数的所有成分股)的质量水平。
投资资本的收益率可能是评价一家企业的品质以及成功与否的最合理指标。它能告诉我们投资于该企业的每一元钱带来的收益是多少。在研究1953年相对“正常”的市场时,我发现,在对股利支付率做出较大的调整,同时对净资产价值做出适度调整之后,公司的盈利比率与市盈率之间存在着让人惊讶的高度相关性。
我们没有必要向股票市场的投资者强调成长因素的重要性。他们可能会问,为什么我们不让这个指标成为企业品质以及市盈率倍数的主要决定因素。毫无疑问,事实上对未来的增长预期已经对当前的股票市盈率造成了重要影响,第二种估值法已经充分考虑到了这一事实,它认为企业的成长预期已经反映在其市场价格中了。不过,市场的市盈率倍数与企业的历史增长率之间并不具有密切的相关性。
拉尔夫·宾(Ralph A. Bing)提供的一些有趣的数据清楚地证明了这一点。 2 1956年8月,陶氏化学公司(Dow Chemical)的市盈率为47.3倍(相对于1955年的盈利值),而每股盈利的增长率为31%(1955年与1948年相比)。伯利恒钢铁公司(Bethlehem Steel)同时期的每股盈利增长率为93%,但市盈率仅为9.1倍。这样看来,两家公司这两个指标之间的比例达到14:1。拉尔夫·宾制作的表格还提供了其他比率指标的值,均能说明企业的历史增长率与当前的市盈率之间存在着严重偏离的关系。
此时,稳定性因素的重要性便显露出来了。1948—1955年间,市盈率较高的公司,其增长率并不太高;不过,在过去的20年时间里,它们中的大多数盈利的稳定性指标要好于市场的平均水平。
上面谈到的这些事实促使我们在使用简单的数学工具计算每家公司的品质指数时,历史增长率、历史稳定性指标以及当前的盈利指标都拥有相同的权重。股息支付率并不是严格地衡量企业盈利能力的指标,一般情况下,投资者可能会以为它是个重要的盈利测量指标。在大多数情况下,这个指标的重要性是不可否认的,因此股息支付率指标也应与前面提到的三个指标拥有相同的权重与地位,这样做既方便又合理。
最后,与华尔街的习惯做法不一样,在最终的股票估值公式中,我们赋予每股净资产这个因子20%的权重。一般情况下,资产价值并不对当前的股票价格产生什么实质性的影响,这一点是确定的。不过从长期来看,它对未来的股票价格还是有一定影响力的,因此在对单个公司股票进行估值时,我们有必要把这个因素考虑进来。众所周知,很多场合都需要对普通股进行法定估价,比如税务处理、并购诉讼等,此时资产价值总是要起到一定的作用,有时甚至是非常重要的作用。之所以在估值时要考虑资产的价值,最根本的理由是即使它对当前的股票价格没什么影响,将来也有可能会对股价起到一定的影响作用,比如竞争态势有所改变、企业的管理或政策发生了变化、并购或销售情况不尽如人意等,此时资产价值对股价的影响作用便会显现出来。
上面的分析就是为了向大家解释为什么在计算公司的品质指数时要考虑这4个因素,以及为什么最终把公司的资产价值作为第5个因素加进来,并赋予每个因子20%的相等权重。当然,也许这个解释并不让人感到非常满意。
现在,我们可以具体分析一下道琼斯工业平均指数成分股群体中的第一家公司——联合化学染料公司(Allied Chemical & Dye,后文简称ACD公司),用这家公司的数据向大家展示如何使用第一种估值方法。表6-1中的数据可被用于计算ACD公司的相对“价值”,参照物是道琼斯工业平均指数的400、500估值的基准值。
表6-1 ACD公司相对“价值”计算
如表6-2所示,我们使用第一种估值方法算出了道琼斯工业平均指数30只成分股的价值。在这张表格中,我们使用了各种各样的品质因子,例如平均盈利额与资产价值,并以此为基础求出了最终的估值结果。
表6-2 第一种估值方法
注:a.用1947—1956年的平均盈利额除以1956年的账面价值,再加上调整值。
大约有一半公司的估值结果与最后一列1957年8月5日的股票市场价格相差比较大,而这一天道琼斯工业平均指数对应的基准值大约为500。有7家公司的股票市场价格比用公式估算出来的价值至少高出20%甚至更多;同样也有7家公司的股票市场价格比用公式估算出来的价值至少低20%甚至更多。极端的例子就是西屋电气公司(Westinghouse)与美国联合航空公司(United Aircraft),前者的股票市场价格比估值高出100%,而后者的股票市场价格比估值低50%。自然,如此大的差异说明从技术层面上来看,我们的估值方法并不完善,如果这个估值法所使用的因子以及因子的权重有更好的选择,那么我们应当能获得更合理的估值结果,比如与市场价格更加趋同的估值结果。
我们做了很多测试,想看一看是否能在技术层面上做些调整,让估值结果变得更合理一些。详细说明测试的内容与过程会让这篇文章变得冗长无聊,因此简单地说,这些尝试都是徒劳无功的。如果我们去掉资产价值这个因子,一部分股票的估值结果会有极其轻微的变化——与公式估值结果相比,这一类股票的实际市场价格高出估值结果的幅度是最大的。另一方面,如果将历史增长率这个因子的权重提高,那么一些明显被低估的股票,其估值结果就会有显著地提高,因为表6-2告诉我们,被低估股票的盈利增长速度要高于其他股票,例如美国联合航空公司、国际镍业公司(International Nickel)和固特异公司(Goodyear)。
从表6-2来看非常明显的一点是,股票市场对某个个股的价值评估与其过去的历史业绩没什么关系,它看重的是个股未来的预期业绩,而未来的预期业绩与过去的历史业绩可能会相差较大。当然,市场本身完全有理由对公司的未来价值做出独立的判断,因此任何不接受市场判断的行为都是非常愚蠢的。不过,我们也经常发现,股票市场做出的独立判断并不是绝对可靠或一贯正确的;有时,市场的判断改变起来也特别快。事实上,从总体来看,与未来的实际结果相对照,市场的判断也不会比我们使用历史数据与公式算出来的估值结果更值得信赖,尽管我们的估值方法本身存在很多明显的缺陷。
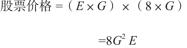
现在我们来介绍一下第二种估值方法。这种方法对企业未来的增长情况或未来的盈利情况给予了更多的关注,因为显然市场价格本身就会对企业的未来增长以及未来盈利状况做出预测。首先,我们选取道琼斯工业平均指数的某个成分股公司作为研究的对象,认为其股票价格反映了企业未来一段时期内的预期收益,然后用未来预期收益乘以一个乘数,这个乘数取决于企业的未来增长率。于是,未来增长率超过平均水平的个股,其市场价格将会显现出“双重效应”,或者称之为“平方效应”:第一重作用体现在公司未来盈利的预测值会变得更高;第二重作用体现为随着盈利预期值的增加,适用于未来盈利的乘数也将变大。
我们用1957—1966年的预期盈利比1947—1956年的真实盈利来计算公司的盈利增长率。根据我们使用的基本公式(可能有点武断),当市场预期增长率为0时,当前的股票市场价格正好相当于1947—1956年真实盈利的8倍,同时也相当于1957—1966年预期盈利的8倍。如果市场预期增长率为 G ( G 等于1957—1966年的预期盈利值与1947—1956年的真实盈利值的比值),那么能反映未来10年时间里盈利增长情况的股票价格就等于未来的预期盈利乘以8与 G 的乘积。
根据上述假设,我们可以推导出如下所示的估值公式:
式中, E 代表1947—1956年间的每股盈利。
为了算出 G 的值,我们只能用当前的股票价格除以8,再除以1947—1956年间的每股盈利 E ,然后再求平方根。
当我们将道琼斯工业平均指数的所有成分股当成一个整体来考虑时,根据1957年8月5日的市场价格,当天所有成分股的总体价格为500美元,则能求出G等于1.5——这说明市场估计,1957—1966年的预期盈利要在1947—1956年的真实盈利基础上增长50%。这意味着与前10年的平均每股盈利27.50美元以及1956年的平均每股36.00美元相比,未来10年内的平均每股盈利为41.00美元。对分析师来说,由于基准值等于500,因此这个估值结果还是比较合理可信的。事实上,分析师是先从估值结果入手,向后倒推计算,求出预期增长率为0的个股适用的基本乘数等于8。道琼斯工业平均指数成分股的价值基准值为500,这意味着乘数等于8×1.5,也就是12,因此也能求出未来10年的预期每股盈利为41.00美元。(顺便说一下,基于上述假设条件,当道琼斯工业平均指数成分股的价值基准值约为400美元时,意味着下一个10年相对于前一个10年的预期增长率为35%,即1957—1966年的预期平均每股盈利为37.10美元,当前适用于未来预期盈利的乘数值为10.8。)
我们使用第二种估值方法对道琼斯工业平均指数的30只成分股进行了计算,结果见表6-3(美国电话电报公司[AT&T]的数据可以忽略,因为公用事业公司的估值应当使用不同的估值公式)。其中最有意思的部分就在于市场价格内含的预期盈利增长率与过去10年实际盈利增长率之间的差异。其中10家公司(包括AT&T公司)的股价暗示着其1957—1966年与1956年相比的预期盈利增长率,至少相当于道琼斯工业平均指数成分股公司平均盈利增长率的两倍。然而事实上,这10家公司中只有两家公司,即杜邦公司与通用电气公司,10年间的实际盈利增长率显著高于道琼斯工业平均指数成分股公司的平均盈利增长率。此外,余下8家公司的实际盈利增长率甚至不足平均预期增长率的一半,其中还有5家公司的实际盈利相比于1956年的盈利水平反而有所下降。而在这8家公司中,不少于5家公司过去10年间的盈利增长率远远高于道指的平均增长率。
表6-3 第二种估值方法
注:a. 1956年12月的股票价格/1957—1966年的预期盈利值。
b.相比于其他工业企业,基本公式不太适合AT&T公司。
将表6-2与表6-3放在一起来研究可以让我们看得更清楚,从而最终得出结论。前面提到的未来预期盈利增长率非常高的10家公司中,有7家公司在表6-2中也表现出市场价格明显高于使用公式得到的估值。此外,在预期盈利增长率低于平均水平的8家公司中,同样有6家公司的股票价格明显低于使用公式求出的估值。
我们可以推导出这样的结论,之所以估值公式的计算结果与市场价格存在差异,其主要原因在于增长因子不同,并不是估值公式低估了增长因子的重要性,而是因为市场关于未来盈利的增长情况经常是变化的,而我们很难根据公司的历史业绩来预测未来的盈利增长会发生怎样的变化。为什么市场未来的发展趋势往往与过去不同,其原因是非常明显的。例如,投资者不相信美国联合航空公司能够继续复制1947—1956年的辉煌业绩,因为他们觉得一家以美国国防部作为主要客户的公司业绩很容易发生波动。而对西屋电气公司,他们则持有完全相反的观点,认为这家公司这几年相对平庸的表现只是暂时的,电器制造行业的未来还是有保障的,像西屋电气公司这样的行业领导者前景非常光明。
这些情况我们都容易理解,但是这些表格揭示的其他差异则不容易被理解或接受。理解与接受,这两个动词之间还是有一些差别的。市场对公司未来发展情况的总体预测也许是正确的,但是从另外一个角度来看,市场基于未来预测而为股票设定的价格可能又显得非常不合理。
因此,很多分析师都会遇到这个问题。仅仅发现市场是如何做的和想的,他们可能并不会感到兴奋,向投资者解释市场为什么会这样,并让投资者感到满意才是关键。他们更倾向于做出独立的判断——不被市场价格的每日波动所左右,而是随时准备与市场一较高下。正因为如此,一种或多种估值流程——估值的基本形式与前面我们讲解的方式相同,也许能起到一定的作用。它们完美细致地分析了公司的历史经营业绩,证券分析师可以从这一点出发,在投资估值领域自行探索并发现。