



利用电压钳制方法将不同离子所载流的电流分量分开之后,尚可测定膜对有关离子的通透性或有关膜离子通道开放的数目。理论上,对应于每一钳制电位值,离子电流的时程与离子通透性或离子通道开放数目成正比,但还依赖于电压,如在反向电位时,即使通透性很高,但并没有电流。因此,需通过实验,在通透性恒定时测定离子流与膜电位的关系。在使大多数Na + 或K + 通道处于开放状态的情况下,Hodgkin和Huxley观察到两者的瞬时电流-电压关系均呈线性,提示在正常的离子条件下,开放了的Na + 或K + 通道中的电流遵循电阻电流的欧姆定律,Na + 、K + 的电导分别为
g Na = I Na /( E - E Na ) (式1-9-3)
g K = I K /( E - E K ) (式1-9-4)
电压钳制在某一阶段水平期间, g Na 和 g K 的变化可分别由上述二式中的电流变化导出。同电流一样, g Na 和 g K 也依赖于电压和时间。静息时, g Na 和 g K 均很低。在某一去极化水平期间, g Na 经过很短的延迟后,即迅速上升并达到峰值然后降到可以忽略的水平,即 g Na 先被激活后又失活。在高电导时,膜电位回到静息水平, g Na 必须极其迅速地按指数下降。 g K 上升速度为 g Na 上升速度的十分之一。在10ms的去极化期间达到一个稳定水平,而不出现失活。若电位回到静息水平, g K 也沿指数下降,但速度较慢。不同水平去极化时 g Na 和 g K 变化表明,去极化电位愈大, g Na 和 g K 的变化愈大,愈快;去极化很大时, g Na 的峰值和 g K 的稳定值均达最大值而与电压无关。 g Na 的峰值随去极化增加而增大的结果与上面所说的钠学说的再生性活动符合。 g Na 与 g K 出现最大值或饱和的事实提示,膜上的Na + 、K + 通道数目是有限的,因而即使所有通道全部开放,电导也不会进一步增加。
Hodgkin和Huxley认为,在各种情况下,可取的 g Na 和 g K 值均有一个上限,可以表达为最大电导 g Na 和 g K 与一个放大系数的积。放大系数的值变动于0~1之间,对时间有依赖性。若个别通道的开放按全或无的方式,该系数即是该特定通道开放的概率,即是一个开放通道的电导乘以通道总数。电导的变化只随电压变化,与Na + 、K + 浓度,电流方向及大小均无关。实验证明,电压跃迁过程中, g Na 和 g K 随时间的变化并未出现突然阶跃,而是逐渐地变化,因此该系数必定是时间的连续函数。
g K 对时间依赖关系较易描述。去极化时 g K 遵循S形时程,复极化时呈指数式下降。假定有4个完全相同的粒子,每个粒子处于能使通道开放的正确位置的概率为 n ,则4个粒子均处于正确位置的概率为 n 4 ;再假定每个粒子开关之间的转换按一级反应的动力学规律,当电压变化时, n 以指数形式弛豫到一个新值。随着 n 按指数上升, n 4 也沿S形曲线上升,很像去极化开始后 g K 的上升;随着 n 按指数下降, n 4 也指数下降,与复极化开始后 g K 的下降相似。因此, I K 可表述为
I K = n 4 g K ( E - E K ) (式1-9-5)
g Na 的瞬时动力学也适用类似的方程,但形式更为复杂。Hodgkin和Huxley认为快激活与慢失活是相互独立的两个过程,分别用 m 、 h 两种不同的粒子描述。占据正确位置概率m的三个同样粒子支配激活,其联合概率为 m 3 ,其动力学性质与K + 通道的 n 4 性质相似;去极化时延迟一会儿才开始上升,复极化时沿指数曲线下降;另一个处于开放通道正确位置,概率为 h 的单个粒子或支配失活,或控制失活作用的缺如。与 g Na 的变化过程相似, I Na 因而可表述为
I Na = m 3 hg Na ( E - E Na ) (式1-9-6)
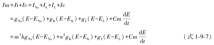
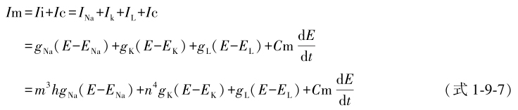
如此,通过膜的电流方程为
式中 I L 、 E L 、 g L 分别指漏电通道(leak channel)的电流、电位和电导。
根据 g Na 与 g K 值及其与时间经过特征的时间常数和速度常数,Hodgkin和Huxley整理出一系列的常微分方程。应用这些方程,可以计算出不同膜电位不同瞬间 m 、 h 、 n 等因子的值,从而对动作电位的形状、大小、持续期间和传导速度,以及动作电位过程中膜阻抗变化,离子运动状况,阈下现象和不应期等有关兴奋性特征,作出精确计算或预测,并与实验结果相符合。
在Na + 通道的外口有与TTX和STX结合的部位。这两种分子作为诊断工具,广泛地用于计数Na + 通道数目,并可作为通道化学分离的标记物。枪乌贼每平方微米膜面积只有200~500个药物结合位点。300nmol TTX作用于Na + 通道后,各个电压钳制水平上的内向早电流,即 I Na 真成分均消失不见,剩下的只是随时间而变的电流 I K 。 I K 的时程与Na + 置换所得的电流时程一致。6mmol的四乙胺(TEA)可阻断外向晚电流 I K ,剩下的随时间而变的是 I Na 。