



根据神经纤维的结构与功能,从组织学与生理学的角度进行分类。
神经纤维在组织学上的特点,主要是髓鞘的有无,神经膜与轴突的关系以及直径的大小。
根据前两个特点可分两型:①有髓鞘纤维。有髓鞘,每一条神经纤维具有自己的神经膜。②无髓鞘纤维。无髓鞘,若干条神经纤维由一个神经膜包裹。
如将各种躯体神经干的截面,用染髓磷脂的锇酸处理后,可以发现,最粗的染色纤维直径约为22μm,最细的则约为1μm,在这两个极端之间有一个连续的直径谱。直径谱各处的纤维数目不同,可以形成不同的高峰。有些神经干中,直径谱的某些频带可以完全没有代表,即其频谱成不连续状态。
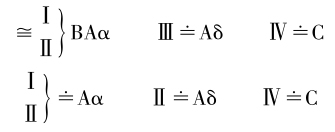
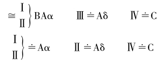
Lloyd根据外直径的大小,将神经纤维分成四类,分别用罗马数字表示。①Ⅰ类:直径12~20μm以上,只见于肌神经;②Ⅱ类:直径6(5)~12μm,肌神经中不常见,皮神经中有高峰;③Ⅲ类:直径1(2)~6(5)μm,肌神经与皮神经中均有;④Ⅳ类:直径一般1μm以下或0.5~1.0μm。
其中Ⅰ、Ⅱ、Ⅲ类均系有髓鞘纤维,而Ⅳ类则系无髓鞘的。
粗细不等的神经纤维有着不同的传导速度。用电生理的记录方法,可以见到,一条复杂的神经干的复合动作电位,常常表现出一系列的高峰。主要根据传导速度和动作电位的特点,Gasser将神经纤维分成三类。
A类:
有髓鞘的躯体的传入与传出纤维,传导速度6~120m/s,直径1~20μm以上。A类纤维包括一个极其宽广的速度谱,可依传导速度的快慢,依次分出用希腊字母α、β、γ、δ乃至ε等表示的4~5个亚型。
B类:
传导速度为3~15m/s,直径相当于或小于3μm,有髓鞘,在组织学上不能与A类相区别,其传导速度也在A类纤维的范围之内,但它们是传出的、自主神经的节前轴突,可在自主神经中找到。
C类:
传导速度为0.6~2.0m/s,直径一般小于1μm,C类与A、B类纤维不同,它们在光学显微镜下,见不到髓鞘,即它们是无髓鞘的纤维。C类纤维又分出s.C与dr.C两个亚型。s.C是节后的交感轴突;dr.C是外周传入轴突。
主要根据A类纤维的研究,发现纤维直径与传导速度之间成正比。Hursh将各种神经干的传导速度与其中的有髓鞘纤维直径作图,得到一条倾斜度为每微米外直径6m/s传导速度的直线,即直径∶速度=1∶6。
Gasser与Grundfest发现髓鞘内轴突的直径与传导速度的关系更接近于直线,其关系相当于1∶8.7。
另根据研究,dr.C类纤维的直径速度比相当于1∶1.73。
纤维直径与传导速度的数量关系非常有用,可依此相当准确地由一个变量的数值推知另一个变量,两种类型可以互相换算。关系一般可概括如下:
另据认为,猫神经中原来标着β与γ的高峰看来主要或完全是伪迹,因而在罗马数字中没有相当的表示,罗马字母与希腊字母两种表示法的近似相等关系则为:
一般所说的“粗”与“细”纤维,大致以6μm或36m/s为界。于是粗纤维包括
Ⅰ、Ⅱ或Aα、Aβ、Aγ,细纤维包括
Ⅱ、Ⅳ或Aδ、C。
典型的外周神经,如坐骨神经,含有几十万条神经纤维,其成分包括传入及传出的A类纤维;传入的dr.C纤维以及支配平滑肌和腺体的s.C纤维,亦即Ⅰ~Ⅳ类纤维均有。如分别观察外周神经的传入或传出纤维,则可见到不同的直径或速度谱分布。
切断前根使神经干中的传出纤维溃变,去运动纤维的深层神经或肌神经的传入纤维谱,一般有三个高峰:第一个峰在1~5μm,第二个峰在6~12μm,第三个峰在12~20μm。其中前两个峰较低,纤维数量较少,第三个峰较高,纤维数量较多。
由此可见,肌神经的有髓鞘的传入纤维,包括Ⅰ、Ⅱ、Ⅲ或全部A类纤维,而以Ⅰ类或A α 类纤维为最多。
单纯的皮神经的谱,没有肌神经传入纤维谱的第三个峰,而只有两个峰,与肌神经的前两个峰相似,但峰幅较高,说明其数量较肌神经多。亦即皮神经没有Ⅰ类或Aα类纤维,但有较多的Ⅱ、Ⅲ类或Aβ、Aγ、Aδ类纤维。
在切断神经,使自主神经传出纤维溃变后,观察到内脏大神经,颈迷走神经和盆神经等的传入纤维,一般均在3~4μm
Aδ或Ⅲ类处有显著高峰。但在内脏大神经中还在8~11μm处出现第二个高峰,说明内脏大神经还有Aβ、Aγ或Ⅱ类纤维。
去传入纤维的躯体神经和前根的纤维谱分布均系双峰形:2~8μm和12~20μm。两者常显著分离,其间常被一个8~12μm的底部隔开。有的神经传出纤维的双峰在3~6μm和9~13μm。可能距离肌肉越近,其谱越有左移(减小)的趋势。可见躯体传出纤维主要是Ⅰ或Aα和Aγ或Ⅱ类纤维。
内脏神经的传出纤维谱则较单纯,分别由自主神经的β类和s.C类纤维组成。
以上所述的谱,只是有髓鞘的神经纤维的频谱。此外,外周神经中还存在大量的无髓鞘的神经纤维,它们的数量常比有髓鞘的纤维多得多。
根据电子显微镜的观察,支配皮肤的传入纤维中,A类与C类的比例为1∶4~1∶5;肌神经传入纤维的A∶C则≈1∶2。
在膈的上部刺激迷走神经所引起的复合动作电位只有C波,去运动的膈上迷走神经的切片则没有或只有少数的有髓鞘的传入纤维,因而可以说,从腹部内脏来的迷走神经传入纤维几乎全是无鞘的C类纤维。
此外,去传入的传出纤维的神经干中(而不是前根),除A类外也还有着相当数目的无鞘神经纤维。它们是自主神经节后轴突s.C,经过神经干到达深部结构的平滑肌和腺体单位。