



定义:设总体X的分布函数F(x,θ)含有未知参数θ,对于给定值α(0<α<1),若由样本(
确定的两个统计量
和
使
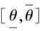
称区间
为参数θ的置信区间,一个下限,一个上限,可置信水平 1-α,含义就是此区间包含真值的概率为 1-α,置信系数为α。
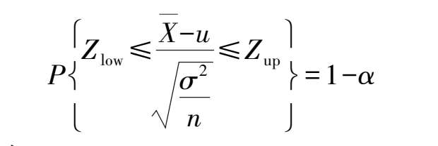
【例2.1】 母体正态分布N(μ,σ 2 ),求均值的置信水平区间 1-α,α= 0.05。
解
:对于
这个无偏的最小方差估计子,将其规范化为:
那么
区间[ Z low , Z up ]有很多,比如
两种都满足,这里[ Z low , Z up ]就是前面的上 α 分位,可以查表。但是还是第一种对称的区间长度小,精确度高,所以用第一种。
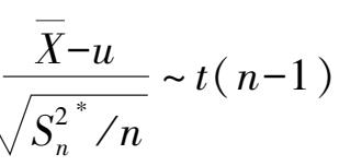
当方差未知,则用估计量代替方差,
,那么去查
t
分布表。
当方差未知,方差的置信区间
,查卡方分布表,由于分布不对称,那么区间为
。
对于两种母体的分布形式,在数理统计书籍中有相关统计量及其查阅方法。还有就是单侧置信区间的
和
两种,不外乎也是查表。